推荐系统实战4——EasyRec 搭建DSSM召回模型实现CTR点击平台
学习前言
一般的推荐系统至少需要两步来完成,基本流程为召回=>排序,当然大型的推荐系统远远不止于此。召回是其中的第一步,目的是最大程度的筛选出user可能感兴趣的item。

EasyRec仓库地址
官方库地址:
https://github.com/alibaba/EasyRec
带注释的Config地址:
https://github.com/bubbliiiing/EasyRec-Config
DSSM实现思路
一、DSSM整体结构解析

DSSM的论文地址为:
Learning Deep Structured Semantic Models for Web Search using Clickthrough Data
DSSM全称为Deep Structured Semantic Model,是微软发表的一篇论文,其核心思想是将user和item映射到到共同维度的语义空间中,通过最大化user和item语义向量之间的余弦相似度,达到检索的目的。
在推荐场景基于DSSM的双塔结构,根据user的特点与item的特点计算余弦相似度,进行个性化召回。
结构如上图所示,这是论文中的图,最左侧的输入为user特征,右侧所有的输入均为item特征,二者均经过了全连接与激活函数进行了非线性映射到共同维度,在获得高层次语义信息后,利用二者的语义信息计算余弦相似度,选择较高相似度的作为召回结果。
二、网络结构解析
1、Embedding层的构建

对于推荐系统而言,输入常常是字符串形式,因为不是矩阵,字符串本身无法被网络直接处理,EasyRec是基于tensorflow构建的,在tensorflow中,可以使用tf.string_to_hash_bucket_fast将输入进来的字符串转化成一个固定的数字。具体转换方式如下所示:
import tensorflow as tf
if tf.__version__ >= '2.0':
tf = tf.compat.v1
sparse_id_values = tf.string_to_hash_bucket_fast("hello", 10)
# 此时的输出为:
sparse_id_values = 6
对任意一个字符串,我们都可以将其转化成固定的数字,这个数字处于0到hash_bucket_size之间,之后之后在代码中会建立一个可查询的embedding表,他的shape为:
(hash_bucket_size, embedding_dim)
这是一个hash_bucket_size行,embedding_dim列的矩阵,当我们通过一个字符串获得一个固定的数字后,我们会通过这个固定的数字sparse_id_values,获得其中第sparse_id_values行。
比如上述的例子中,我们假设hash_bucket_size等于10,embedding_dim等于32。如果输入的字符串为hello,我们获得的sparse_id_values=6。我们此时就会获取embedding表的第6行,作为这个数据的embedding。
在EasyRec的Config中,我们只需要在feature_config指定对应的标签名、embedding_dim、hash_bucket_size就读取数据,将数据转化成特定长度的Embedding了。
如下所示:
#------------------------------------------------------#
# 用于作为特征的数据,不包括label
#------------------------------------------------------#
feature_config: {
features: {
input_names: "hour"
feature_type: IdFeature
embedding_dim: 16
hash_bucket_size: 50
}
}
2、网络层的构建

在完成Embedding层的构建后,我们会将获取到的所有特征的Embedding结果通过concat堆叠到一起。因此,无论是user还是item最终都会变成一个指定长度的向量。
在本博文中,我们称它们为embedding后的特征,它们的shape为[batch_size, embedding_size]。作为一个二维矩阵,第一维度为batch_size即批次大小,第二维度为embedding_size即该个体的特征长度。
在DSSM中,无论是user还是item,它们的网络层构建并不复杂,都只是普通的DNN(全连接神经网络)。本博文使用EasyRec自带的电商演示数据集为例子进行解析,每个个体存在若干的特征,每个特征embedding后的长度为16,user存在10个特征,item存在7个特征,假设batch_size为4096。因此user在embedding后的特征堆叠为[4096, 160]。item在embedding后的特征堆叠为[4096, 112]。
在经过四次Dense-Bn-ReLU的特征映射后,两个网络最终输出为[4096, 32]。
在EasyRec的Config中,我们只需要在model_config部分指定对应的模型名称、每个模型所需的特征以及每个模型的构建方式,就可以对user和item各自进行构建了。如下所示,model_class表示的是模型类别,feature_groups表示的是每个模型所需的特征,dssm是模型下的模型参数。具体构建方式如下所示:
#------------------------------------------------------#
# 模型参数设置
#------------------------------------------------------#
model_config:{
#------------------------------------------------------#
# 模型种类
#------------------------------------------------------#
model_class: "DSSM"
#------------------------------------------------------#
# group_name 指定组名
# feature_names 该组的特征
# wide_deep 模型的记忆能力和泛化能力
#------------------------------------------------------#
feature_groups: {
group_name: 'user'
feature_names: 'user_id'
feature_names: 'cms_segid'
feature_names: 'cms_group_id'
feature_names: 'age_level'
feature_names: 'pvalue_level'
feature_names: 'shopping_level'
feature_names: 'occupation'
feature_names: 'new_user_class_level'
feature_names: 'tag_category_list'
feature_names: 'tag_brand_list'
wide_deep:DEEP
}
feature_groups: {
group_name: "item"
feature_names: 'adgroup_id'
feature_names: 'cate_id'
feature_names: 'campaign_id'
feature_names: 'customer'
feature_names: 'brand'
feature_names: 'price'
feature_names: 'pid'
wide_deep:DEEP
}
#------------------------------------------------------#
# user_tower user塔
# item_tower item塔
# dnn 代表全连接网络的神经元个数
# l2_regularization l2正则化情况
#------------------------------------------------------#
dssm {
user_tower {
id: "user_id"
dnn {
hidden_units: [256, 128, 64, 32]
# dropout_ratio : [0.1, 0.1, 0.1, 0.1]
}
}
item_tower {
id: "adgroup_id"
dnn {
hidden_units: [256, 128, 64, 32]
}
}
l2_regularization: 1e-6
}
embedding_regularization: 5e-5
}
在EasyRec的源码中,DNN部分的构建代码为,在代码中,只是对hidden_units进行循环,循环时构建Dense、BN、Relu层:
# -*- encoding:utf-8 -*-
# Copyright (c) Alibaba, Inc. and its affiliates.
import logging
import tensorflow as tf
from easy_rec.python.utils.load_class import load_by_path
if tf.__version__ >= '2.0':
tf = tf.compat.v1
class DNN:
def __init__(self, dnn_config, l2_reg, name='dnn', is_training=False):
"""Initializes a `DNN` Layer.
Args:
dnn_config: instance of easy_rec.python.protos.dnn_pb2.DNN
l2_reg: l2 regularizer
name: scope of the DNN, so that the parameters could be separated from other dnns
is_training: train phase or not, impact batchnorm and dropout
"""
self._config = dnn_config
self._l2_reg = l2_reg
self._name = name
self._is_training = is_training
logging.info('dnn activation function = %s' % self._config.activation)
self.activation = load_by_path(self._config.activation)
@property
def hidden_units(self):
return self._config.hidden_units
@property
def dropout_ratio(self):
return self._config.dropout_ratio
def __call__(self, deep_fea, hidden_layer_feature_output=False):
hidden_units_len = len(self.hidden_units)
if hidden_units_len == 1 and self.hidden_units[0] == 0:
return deep_fea
hidden_feature_dict = {}
for i, unit in enumerate(self.hidden_units):
deep_fea = tf.layers.dense(
inputs=deep_fea,
units=unit,
kernel_regularizer=self._l2_reg,
activation=None,
name='%s/dnn_%d' % (self._name, i))
if self._config.use_bn:
deep_fea = tf.layers.batch_normalization(
deep_fea,
training=self._is_training,
trainable=True,
name='%s/dnn_%d/bn' % (self._name, i))
deep_fea = self.activation(
deep_fea, name='%s/dnn_%d/act' % (self._name, i))
if len(self.dropout_ratio) > 0 and self._is_training:
assert self.dropout_ratio[
i] < 1, 'invalid dropout_ratio: %.3f' % self.dropout_ratio[i]
deep_fea = tf.nn.dropout(
deep_fea,
keep_prob=1 - self.dropout_ratio[i],
name='%s/%d/dropout' % (self._name, i))
if hidden_layer_feature_output:
hidden_feature_dict['hidden_layer' + str(i)] = deep_fea
if (i + 1 == hidden_units_len):
hidden_feature_dict['hidden_layer_end'] = deep_fea
return hidden_feature_dict
else:
return deep_fea
因此无论是user还是item,每个个体最终都会变成一个指定长度的向量,长度在本博文中为32。user和item在映射后的shape均为[4096, 32]。在本博文中,我们将映射后的结果称为user和item的语义向量。
在l2标准化后,就可以计算user和item各自的余弦相似度了。
if self._loss_type == LossType.CLASSIFICATION:
if self._model_config.simi_func == Similarity.COSINE:
user_tower_emb = self.norm(user_tower_emb)
item_tower_emb = self.norm(item_tower_emb)
3、余弦相似度计算

在网络层的构建中,我们获得了user和item的语义向量,它们的shape均为[4096, 32]。我们此时需要计算语义向量之间的相似度。
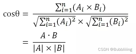
常用的相似度方式为余弦相似度:
因为在网络层的构建中,我们已经进行了l2标准化,也就是已经完成了公式中除去A与B的模的部分,因此我们只要将user和item的语义向量点乘然后在特征维度上求和即可获得user和item的语义向量的余弦相似度。
具体运算代码为:
user_item_sim = tf.reduce_sum(tf.multiply(user_emb, item_emb), axis=1, keep_dims=True)
此时返回的是一个[4096, 1]的矩阵,代表4096个user和item对的相似情况。在EasyRec中,还会对获取到的相似度进行下一轮缩放,其中sim_w和sim_b是可以训练的参数。
y_pred = user_item_sim * tf.abs(sim_w) + sim_b
self._prediction_dict['probs'] = tf.nn.sigmoid(y_pred)
最终在对y_pred取sigmoid后,将其再次映射到0-1之间。
此时,如果sigmoid越接近于1,代表该user和该item相似性很高,应当进行推荐;如果sigmoid越接近于0,代表该user和该item相似性很地,不应当进行推荐。
三、训练部分解析
网络的训练部分并不复杂,在网络计算好余弦相似度后,我们对最终取sigmoid的结果通过事先设定好的标签进行交叉熵的计算。
由于CTR点击任务只需要找到哪些item是感兴趣的目标,本质上是一个二分类任务,系统认为user感兴趣,输出就为1,系统认为user不感兴趣,输出就为0。此处我们只需要使用普通的二分类交叉熵即可。

在代码中的实现方式为:
tf.losses.sigmoid_cross_entropy(label, logits=pred, weights=loss_weight, **kwargs)
训练自己的DSSM模型
在训练自己的DSSM模型之前,需要首先配置好EasyRec环境。
本博文以EasyRec自带的电商示例数据集进行解析。数据集位于EasyRec根目录下,分别位于下面两个位置。
“data/test/tb_data/taobao_train_data”
“data/test/tb_data/taobao_test_data”
电商示例数据集包含若干特征,保存在文本文件中,尽管后缀不是csv,但实际上是csv格式,具体如下所示:
clk:点击记录
buy:是否购买
以下为商品特征:
pid:商品pid码
adgroup_id:商品广告单元id
cate_id:商品种类id
campaign_id:商品公司id
customer:商品顾客
brand:商品品牌
price:商品价格
以下为用户特征:
user_id:用户id
cms_segid:微群ID
cms_group_id:一个特征
final gender code:性别
age level:年龄层次
pvalue level:消费档次
shopping level:购物深度
occupation:是否工作
new_user_class_level:城市等级
tag_category_list:点击的种类列表
tag_brand_list:点击的品牌列表
一、数据集的准备
本文使用文本格式进行训练,训练前需要自己制作好数据集,如果没有自己的数据集,可以通过示例的电商数据集进行尝试。
准备好的数据集一般存放在data/test文件夹中。在示例数据集里:
data/test/tb_data/taobao_train_data代表的是训练集,模型基于该文件进行梯度下降。
data/test/tb_data/taobao_test_data代表的是验证集(测试集),这里不单独划分一个测试集,验证集和测试集共用。
csv中直接存放特征的值即可,特征之间以’,'隔开,不需要存放特征名,如图所示,每一列的数据代表什么特征我们自己需要清楚。

二、Config配置文件的设置
Config配置文件中需要设置多方面的内容,采用prototxt格式,配置顺序为:
数据集的地址、模型保存的地址、训练相关参数设置、评估情况、数据集内容情况、数据集特征情况、模型情况。
具体的构建方式如下:
#------------------------------------------------------#
# 训练用的数据文件地址
#------------------------------------------------------#
train_input_path: "data/test/tb_data/taobao_train_data"
#------------------------------------------------------#
# 评估用的数据文件地址
#------------------------------------------------------#
eval_input_path: "data/test/tb_data/taobao_test_data"
#------------------------------------------------------#
# 训练好的权值保存的路径
#------------------------------------------------------#
model_dir: "experiments/dssm_taobao_ckpt"
#------------------------------------------------------#
# 训练相关的参数
#------------------------------------------------------#
train_config {
log_step_count_steps: 100
#------------------------------------------------------#
# optimizer_config 优化器参数
#------------------------------------------------------#
optimizer_config: {
#------------------------------------------------------#
# adam_optimizer Adam优化器
# learning_rate 学习率下降方式
# exponential_decay_learning_rate 指数下降
# initial_learning_rate 初始学习率
# decay_steps 学习率衰减步长
# decay_factor 衰减倍数
# min_learning_rate 最低学习率
#------------------------------------------------------#
adam_optimizer: {
learning_rate: {
exponential_decay_learning_rate {
initial_learning_rate : 0.001
decay_steps : 1000
decay_factor : 0.5
min_learning_rate : 0.00001
}
}
}
use_moving_average: false
}
#------------------------------------------------------#
# sync_replicas
# save_checkpoints_steps 保存周期
# log_step_count_steps log记录周期
# num_steps 总训练步长
#------------------------------------------------------#
sync_replicas : true
save_checkpoints_steps : 100
log_step_count_steps : 100
num_steps : 2500
}
#------------------------------------------------------#
# 评估参数
# 推荐系统一般使用AUC进行评估
#------------------------------------------------------#
eval_config {
metrics_set: {
auc {}
}
}
#------------------------------------------------------#
# 数据集的各类数据情况
#------------------------------------------------------#
data_config {
#------------------------------------------------------#
# separator 代表分隔符,默认为","
#------------------------------------------------------#
separator: ","
#------------------------------------------------------#
# 需要注意的时,此处的数据顺序需要和csv中一样。
# input_name 代表该列数据的名称
# input_type 代表该列数据的数据类别,默认是STRING。
# default_val 代表默认值,可以不设置
#------------------------------------------------------#
input_fields {
input_name:'clk'
input_type: INT32
}
input_fields {
input_name:'buy'
input_type: INT32
}
input_fields {
input_name: 'pid'
input_type: STRING
}
input_fields {
input_name: 'adgroup_id'
input_type: STRING
}
input_fields {
input_name: 'cate_id'
input_type: STRING
}
input_fields {
input_name: 'campaign_id'
input_type: STRING
}
input_fields {
input_name: 'customer'
input_type: STRING
}
input_fields {
input_name: 'brand'
input_type: STRING
}
input_fields {
input_name: 'user_id'
input_type: STRING
}
input_fields {
input_name: 'cms_segid'
input_type: STRING
}
input_fields {
input_name: 'cms_group_id'
input_type: STRING
}
input_fields {
input_name: 'final_gender_code'
input_type: STRING
}
input_fields {
input_name: 'age_level'
input_type: STRING
}
input_fields {
input_name: 'pvalue_level'
input_type: STRING
}
input_fields {
input_name: 'shopping_level'
input_type: STRING
}
input_fields {
input_name: 'occupation'
input_type: STRING
}
input_fields {
input_name: 'new_user_class_level'
input_type: STRING
}
input_fields {
input_name: 'tag_category_list'
input_type: STRING
}
input_fields {
input_name: 'tag_brand_list'
input_type: STRING
}
input_fields {
input_name: 'price'
input_type: INT32
}
#------------------------------------------------------#
# 列名必须在data_config中出现过,代表为标签
#------------------------------------------------------#
label_fields: 'clk'
#------------------------------------------------------#
# batch_size 批次大小
# prefetch_size 提高数据加载的速度,防止数据瓶颈
# num_epochs 训练时取num_steps和num_epochs中的小值
# 看哪个先达到就结束
#------------------------------------------------------#
batch_size: 4096
num_epochs: 10000
prefetch_size: 32
#---------------------------------------------------------------------------#
# CSVInput 表示数据格式是CSV,注意要配合separator使用
# OdpsInputV2 如果在MaxCompute上运行EasyRec, 则使用OdpsInputV2
# OdpsInputV3 如果在本地或者EMR上访问MaxCompute Table, 则使用OdpsInputV3
#---------------------------------------------------------------------------#
input_type: CSVInput
}
#------------------------------------------------------#
# 用于作为特征的数据,不包括label
#------------------------------------------------------#
feature_config: {
#---------------------------------------------------------------------------#
# 具体设置可参考https://easyrec.readthedocs.io/en/latest/feature/feature.html
# input_names 代表该列数据的名称
# feature_type 特征类别
# embedding_dim 该列数据在经过Embedding处理后的特征长度
# hash_bucket_size 将变量hash之后去模
#---------------------------------------------------------------------------#
features: {
input_names: 'pid'
feature_type: IdFeature
embedding_dim: 16
hash_bucket_size: 10
}
features: {
input_names: 'adgroup_id'
feature_type: IdFeature
embedding_dim: 16
hash_bucket_size: 100000
}
features: {
input_names: 'cate_id'
feature_type: IdFeature
embedding_dim: 16
hash_bucket_size: 10000
}
features: {
input_names: 'campaign_id'
feature_type: IdFeature
embedding_dim: 16
hash_bucket_size: 100000
}
features: {
input_names: 'customer'
feature_type: IdFeature
embedding_dim: 16
hash_bucket_size: 100000
}
features: {
input_names: 'brand'
feature_type: IdFeature
embedding_dim: 16
hash_bucket_size: 100000
}
features: {
input_names: 'user_id'
feature_type: IdFeature
embedding_dim: 16
hash_bucket_size: 100000
}
features: {
input_names: 'cms_segid'
feature_type: IdFeature
embedding_dim: 16
hash_bucket_size: 100
}
features: {
input_names: 'cms_group_id'
feature_type: IdFeature
embedding_dim: 16
hash_bucket_size: 100
}
features: {
input_names: 'final_gender_code'
feature_type: IdFeature
embedding_dim: 16
hash_bucket_size: 10
}
features: {
input_names: 'age_level'
feature_type: IdFeature
embedding_dim: 16
hash_bucket_size: 10
}
features: {
input_names: 'pvalue_level'
feature_type: IdFeature
embedding_dim: 16
hash_bucket_size: 10
}
features: {
input_names: 'shopping_level'
feature_type: IdFeature
embedding_dim: 16
hash_bucket_size: 10
}
features: {
input_names: 'occupation'
feature_type: IdFeature
embedding_dim: 16
hash_bucket_size: 10
}
features: {
input_names: 'new_user_class_level'
feature_type: IdFeature
embedding_dim: 16
hash_bucket_size: 10
}
features: {
input_names: 'tag_category_list'
feature_type: TagFeature
separator: '|'
hash_bucket_size: 100000
embedding_dim: 16
}
features: {
input_names: 'tag_brand_list'
feature_type: TagFeature
separator: '|'
hash_bucket_size: 100000
embedding_dim: 16
}
features: {
input_names: 'price'
feature_type: IdFeature
embedding_dim: 16
num_buckets: 50
}
}
#------------------------------------------------------#
# 模型参数设置
#------------------------------------------------------#
model_config:{
#------------------------------------------------------#
# 模型种类
#------------------------------------------------------#
model_class: "DSSM"
#------------------------------------------------------#
# group_name 指定组名
# feature_names 该组的特征
# wide_deep 模型的记忆能力和泛化能力
#------------------------------------------------------#
feature_groups: {
group_name: 'user'
feature_names: 'user_id'
feature_names: 'cms_segid'
feature_names: 'cms_group_id'
feature_names: 'age_level'
feature_names: 'pvalue_level'
feature_names: 'shopping_level'
feature_names: 'occupation'
feature_names: 'new_user_class_level'
feature_names: 'tag_category_list'
feature_names: 'tag_brand_list'
wide_deep:DEEP
}
feature_groups: {
group_name: "item"
feature_names: 'adgroup_id'
feature_names: 'cate_id'
feature_names: 'campaign_id'
feature_names: 'customer'
feature_names: 'brand'
feature_names: 'price'
feature_names: 'pid'
wide_deep:DEEP
}
#------------------------------------------------------#
# user_tower user塔
# item_tower item塔
# dnn 代表全连接网络的神经元个数
# l2_regularization l2正则化情况
#------------------------------------------------------#
dssm {
user_tower {
id: "user_id"
dnn {
hidden_units: [256, 128, 64, 32]
# dropout_ratio : [0.1, 0.1, 0.1, 0.1]
}
}
item_tower {
id: "adgroup_id"
dnn {
hidden_units: [256, 128, 64, 32]
}
}
l2_regularization: 1e-6
}
embedding_regularization: 5e-5
}
export_config {
}
三、开始网络训练
设置好训练所需的config后,就可以开始模型的训练了,单卡用户可以使用如下指令进行训练:
CUDA_VISIBLE_DEVICES=0 python -m easy_rec.python.train_eval --pipeline_config_path samples/model_config/dssm_on_taobao.config
CPU用户可以使用如下指令进行训练:
python -m easy_rec.python.train_eval --pipeline_config_path samples/model_config/dssm_on_taobao.config
四、训练结果的评估
在完成模型的训练后,我们可以使用如下指令进行评估:
CUDA_VISIBLE_DEVICES=0 python -m easy_rec.python.eval --pipeline_config_path samples/model_config/dssm_on_taobao.config
CPU用户可以使用如下指令进行评估:
python -m easy_rec.python.eval --pipeline_config_path samples/model_config/dssm_on_taobao.config
五、训练结果的预测
1、训练模型的导出
无论是否使用GPU,都可以使用以下代码将模型导出为PB模式。下列指令的导出路径为dssm_on_taobao_export。
CUDA_VISIBLE_DEVICES='' python -m easy_rec.python.export --pipeline_config_path samples/model_config/dssm_on_taobao.config --export_dir experiments/dssm/export/final
2、导出模型的预测
在完成模型的导出后,就可以利用导出的模型进行预测了,离线预测方式如下:
CUDA_VISIBLE_DEVICES=0 python -m easy_rec.python.predict --input_path 'data/test/tb_data/taobao_test_data' --output_path 'data/test/taobao_test_data_pred_result' --saved_model_dir experiments/dssm/export/final --reserved_cols 'ALL_COLUMNS' --output_cols 'ALL_COLUMNS'
在这里中涉及到大量的参数,常用的参数如下。
- input_path: 输入文件路径;
- output_path: 输出文件路径,不需要提前创建,会自动创建;
- save_modeld_dir: 导出的模型目录;
- reserved_cols: 输入文件需要拷贝到输出文件的列,默认为’ALL_COLUMNS’,则所有的列都被copy到输出文件中。如果不想输入文件拷贝任何信息到输出文件,可以设置其为’';
- output_cols: 输出文件自身需要保留预测结果中的列,默认’ALL_COLUMNS’,则所有的列都被copy到输出文件中,可以使用下方的设置方式output_cols=“probs double”,代表输出probs,数据类型为double;
- input_sep: 输入文件的分隔符,默认",";
- output_sep: 输出文件的分隔符,默认"|"。
566

被折叠的 条评论
为什么被折叠?



