1. 问题背景
(1)在半监督医学图像分割任务中,标签数据和无标签数据之间存在经验失配问题。
(2)如果采用分隔的方式或者采用不一致的方式处理有标签数据和无标签数据,那么来自有标签数据的知识有可能被丢弃。
图1.半监督学习设置下的失配问题图示
假设:训练集是从 (a) 中的潜在分布中提取的。
(b)少量标记数据的经验分布
(c)大量未标记数据的经验分布
问题:很难用很少的标记数据来构建整个数据集的精确分布。
(d) 通过使用我们的 BCP,标记和未标记特征的经验分布是一致的。
(e)但是其他方法,例如 SSNet 或交叉未标记数据复制粘贴无法解决经验分布不匹配问题,或者说解决的不好。
图2. LA 数据集上不同模型的未标记和标记训练数据的 Dice分数。
- 在BCP的方法中观察到性能差距要小得多。
- BCP 的标记数据的 Dice 低于其他方法,这意味着 BCP 可以在一定程度上缓解过拟合问题。
2. 本文方法
在一个简单的Mean Teacher 架构中,双向“复制-粘贴”有标签的数据和无标签的数据。该方法可以使无标签的数据从两个方向(内向和外向)学习有标签数据的全面的通用语义(common semantics)。通过这种一致学习过程可以减少两种数据的经验分布差异。
双向“复制-粘贴”操作:具体来说,分别将有标签图像(前景)中的随机裁剪复制粘贴到无标签图像(背景)上,将无标签图像(前景)复制粘贴到有标签图像(背景)上。
2.1. 模型图

三个阶段:
①使用有标签预训练一个模型
②将预训练模型权重配备到教师网络生成无标签图像的伪标签
③使用学生网络参数的EMA方法来更新教师网络参数
(两种混合图像被输入到学生网络中,并由伪标签和真实标签的混合监督信号进行监督。)
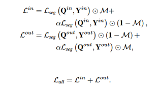
2.2. 损失函数

L s e g L_{seg} Lseg是Dice损失和交叉熵损失的线性组合; ⊙ ⊙ ⊙表示逐元素相乘。
其中,
表示掩码策略:

(a)图像的局部前景不连贯,缺乏学习完整前景表示的能力。
(c)前景与背景交互的机会较少
结果对比:

2. 模型的训练流程图

3. 实验




953

被折叠的 条评论
为什么被折叠?



