本文转载至微信公众号–光电资讯,只用于个人记忆学习
群时延
定义:窄带光脉冲在光学器件中的时间延迟。
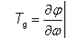
光学元件(例如,介质反射镜或者光纤)的群时延(Tg)的定义为光谱相位对角频率的微分:

其单位与时间相同,并且与频率(参阅群延时色散,色散)、偏振态(偏振模式色散)和光模式(模间色散)有关。
具有简单时间和空间形状的窄带光脉冲在线性传播时,群时延就是指脉冲峰值穿过光学元件后的时间延迟。而对于宽带光脉冲来说,尤其是在传播过程中受到非线性效应的影响情况下,情况非常复杂。如果对群时延的描述不恰当则会得出错误的结果。
在普通的固体介质中,例如激光晶体或者光纤,群时延与长度和相速度比值相差比较多。例如,一米的熔融二氧化硅体材料对1550nm的光产生的群时延为4.879 ns,而由相速度得到的结果为4.817 ns。而更短波长时,例如400 nm时,差值更大:群时延为5.049 ns。光纤中的群时延还受纤芯中掺杂的物质和波导色散效应的影响。
光学谐振腔中往返一周的群时延决定了共振腔模式之间的间隔,即自由光谱范围。
可以采用很多方法测量光学元件的群时延。最直接的方法是测量超短脉冲到达的时间。还存在更加强大的干涉方法,例如,采用白光干涉仪,测量的精度在几个飞秒。
介质中光波的群速度等于单位长度群时延的倒数。
群速度
定义:弱的窄带光脉冲包络在介质中的传播速度
符号:vg
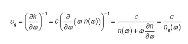
光在介质中的群速度被定义为波数相对于角频率的导数的倒数:

其中n(ω)为折射率,而ng为群速度折射率。波数k指的是单位长度的相位变化。
群速度指的是个脉冲的包络在介质中的传播速度,假设这个脉冲是一个长脉宽窄带宽的脉冲,因此高阶色散和非线性效应都可以忽略。
图1给出了多个频率分量如何构成一个脉冲,以及这个脉冲是怎么传播的,从而来解释几个速度之间的差别。灰色的线代表了不同的频率分量的波前。由于色度色散影响,会导致较高频率分量具有稍微较低的相速度。当各频率波前一致时(相干相加)出现脉冲的最大值,该最大值将以群速度(在本例中是80%的介质相速度)中传播。

图 1:光脉冲在色散介质中的传播过程。不同频率分量波前以不同的相速度传播,而脉冲则以群速度传播,该群速度小于任何一个频率的相速度。
在以上的例子中,群速度小于相速度。但是由于群速度是恒定的,因此没有出现没有时域脉冲展宽。即在整个脉冲的频谱范围内不存在群速度色散。
由于色散,在介质中的群速度大多都不同于其相速度(通常小于相速度),而且群速度也是频率相关的。此效应被称为群速度色散。群速度和相位速度之间的差异也导致了脉冲的载波包络偏移。
类似于折射率,群速度折射率(见上述公式)被定义为真空中的群速度与介质中的群苏的比值。
在某些情况下,群速度可以高于真空中的光速。然而由于因果关系的存在,超光速的群速度也不能实现超光速的信息传输。另一个研究热点则是慢光。
波导中的群速度
对于在波导如光纤中传播的光,群速度可以通过将波数k更换为β(传播常数的虚部)(或利用有效折射率来替代折射率n)后利用以上方程计算得出。波导中群速度与均匀介质中的群速度差是由波导色散的导致的。
非线性传播时的群速度
在一些文献中,对于一个宽带的复杂形状的脉冲或者一个孤子脉冲也会有一个所谓的群速度,即便在这种情况下非线性已经有非常重要的影响了。然而,这种使用是存在一些问题的,并会导致一些误导。需要注意的是一些涉及群速度(如上所述)的关系在非线性区域不再有效。
群速度折射率
群速度折射率(group index)
定义:真空中光速与介质中群速度的比值。
符号:ng
与折射率的定义类似,群速度折射率(或群速度系数)被定义为真空中光速与介质中群速度的比值:

群速度折射率常用于计算超短脉冲在介质中传播时的时延,也用于计算含有色散介质的谐振腔的自由光谱范围。
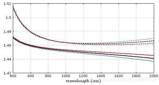
对于晶体或者玻璃,在可见光或近红外光谱范围内的群速度折射率通常要大于普通的折射率(与相速度相关)。

图 1:0℃(蓝色),100℃(黑)和200℃(红色)下的石英的折射率曲线(实线)和群速度折射率曲线(虚线)。
群时延色散
缩写:GDD
定义:群时延随频率变化,或者群时延对角频率的微分
光学元件的群时延色散(有时也被称为二阶色散)是指群时延对角频率的微分,或者光谱相位的二阶微分:

通常采用的单位为fs2或ps2。正值(负值)代表正常(反常)色散(Chromatic dispersion)。例如,1 mm厚的二氧化硅片的群时延色散在800 nm时为+35 fs2(正常色散)而在1500 nm时为-26 fs2(反常色散)。图1给出了另一个例子。

图1:反射器上放置5微米厚的二氧化硅层的Gires-Tournois干涉仪中的群时延色散随波长的变化。
群时延色散(GDD)通常是指一些光学元件或者一定长度的介质(如光纤)。单位长度的GDD(单位为s2/m)就是群速度色散(GVD)。
363

被折叠的 条评论
为什么被折叠?



