我在暗中找实习
码龄6年
关注
提问 私信
  • 博客:10,638
    社区:1
    10,639
    总访问量
  • 24
    原创
  • 93,358
    排名
  • 127
    粉丝
  • 0
    铁粉
  • 学习成就
IP属地以运营商信息为准,境内显示到省(区、市),境外显示到国家(地区)
IP 属地:广东省
  • 加入CSDN时间: 2019-05-16
博客简介:

weixin_45075173的博客

查看详细资料
  • 原力等级
    成就
    当前等级
    3
    当前总分
    262
    当月
    0
个人成就
  • 获得130次点赞
  • 内容获得13次评论
  • 获得138次收藏
创作历程
  • 23篇
    2024年
  • 1篇
    2022年
成就勋章
TA的专栏
  • leetcode刷题
    2篇
兴趣领域 设置
  • 人工智能
    pytorch
创作活动更多

HarmonyOS开发者社区有奖征文来啦!

用文字记录下您与HarmonyOS的故事。参与活动,还有机会赢奖,快来加入我们吧!

0人参与 去创作
  • 最近
  • 文章
  • 代码仓
  • 资源
  • 问答
  • 帖子
  • 视频
  • 课程
  • 关注/订阅/互动
  • 收藏
搜TA的内容
搜索 取消

笔试题:有n个餐厅和m个外卖员,每个餐厅在某个时间点会产生一个外卖订单,这些订单都有产生时间,所需送达时间和优先级。外卖员在空闲的时候会选择最优的订单来配送,直到所有订单都被送达。

Override// 优先级高的优先// 所需送达时间短的优先// 产生时间早的优先} else {// 餐厅编号小的优先});
原创
发布博客 2024.08.13 ·
1060 阅读 ·
18 点赞 ·
0 评论 ·
11 收藏

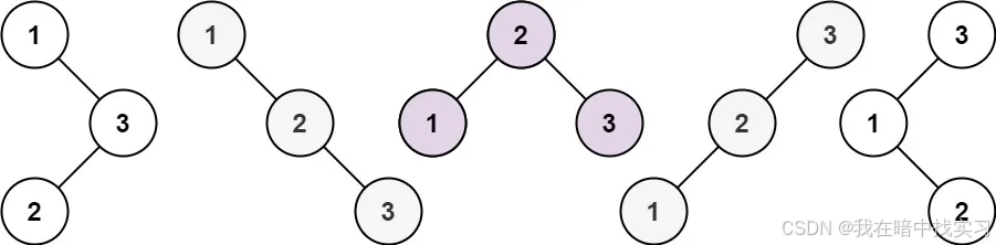
Leetcode96. 不同的二叉搜索树

给你一个整数 n ,求恰由 n 个节点组成且节点值从 1 到 n 互不相同的 二叉搜索树 有多少种?返回满足题意的二叉搜索树的种数。
原创
发布博客 2024.07.19 ·
451 阅读 ·
3 点赞 ·
0 评论 ·
6 收藏

代码随想录刷题训练营|贪心算法|Leetcode45/55跳跃游戏

● 此时i=2=curReach,说明我们到了第一跳最远的边界,我们需要下一跳,step+1,更新当前的边界为下一跳最远的覆盖,curReach==4,刚好数组的边界就是4,说明我们下一条就可以跳到了,不用再继续了,break。● i=0的时候,是一个前置,下一步可以到的最远是nextReach=0+nums[0]=2,i=curReach,选择跳1次,更新curReach为下一步可以到的最远。● i=2的时候,说明我们选择了跳两步到位置2,位置2起跳的下一次最大覆盖是2+nums[2]=2+1=3<4。
原创
发布博客 2024.03.27 ·
339 阅读 ·
4 点赞 ·
0 评论 ·
8 收藏

代码随想录算法训练营DAY27|回溯part03

● [2,3,5]中取数,取了2之后,继续在[2,3,5]中取数,和之前不一样的是不需要从下一个数字取了。● 虽然没有限制组合的个数,但是由于对targetSum有要求,也是一种限制。● 难点:怎么识别同一层上的元素已经取过了?○ 将数组排序,如果是相同的元素一定相邻。● 对candidates数组进行排序。● 同一树枝上的相同元素可以重复取。● 同一层上的相同元素不可以重复取。
原创
发布博客 2024.03.19 ·
255 阅读 ·
4 点赞 ·
0 评论 ·
5 收藏

代码随想录刷题训练营DAY25|回溯part2

○ 当i=2,path加入2,变为[1, 2],sum=3。○ 当i=3,path加入3,变为[1, 3],此时sum满足条件=4,将[1, 3]添加到result中,然后移除3,sum-3再次回到1,path回到[1]。○ 当i=4,path加入4,变为[1, 4],sum=5不满足和为4的条件,然后移除4,path回到[1],sum-4=1。● 第一层递归:初始startIndex=1,选取1,path加入1,变为[1],sum为1.K相当于树的深度,9相当于树的宽度,和为4。○ for循环遍历字母。
原创
发布博客 2024.03.18 ·
431 阅读 ·
4 点赞 ·
0 评论 ·
4 收藏

代码随想录刷题训练营DAY24|回溯part1

○ 当i=2,path加入2,变为[1, 2],满足条件(path.size() == k),将[1, 2]添加到result中,然后移除2,path回到[1]。○ 当i=3,path加入3,变为[1, 3],同样满足条件,将[1, 3]添加到result中,然后移除3,path回到[1]。○ 当i=4,path加入4,变为[1, 4],同样满足条件,将[1, 4]添加到result中,然后移除4,path回到[1]。● 回到第一层递归:完成所有i=1时的递归,移除1,path变回[]。
原创
发布博客 2024.03.15 ·
684 阅读 ·
12 点赞 ·
1 评论 ·
10 收藏

53.最大子数组和

正常情况下,如果数组里全是正数,按着顺序一直累加,那肯定是越来越大的。但是数组里出现了负数,这个时候就要考虑一下,加上这个负数,和是更大了还是更小了?如果更小了干嘛还要加它!所以每次累加的时候和当前数本身对比,哪个更大前缀和就记录哪个。
原创
发布博客 2024.03.15 ·
120 阅读 ·
3 点赞 ·
1 评论 ·
0 收藏

代码随想录刷题训练营DAY22|二叉树part9

这个节点及其子节点都是原树中值在[low, high]范围内的节点,这部分树将被“接上”到更高层的适当位置。在这个特定的场景中,由于原节点的值小于low,newnode实际上是原节点右子树上第一个满足值在[low, high]范围内的节点的根节点。这个递归调用返回的TreeNode newnode代表裁剪后的右子树的根节点。思路:找到中间点,把数组一分为二,分别遍历。,并且作为新的树(或子树)根节点的节点。如果区间是[1,3]的话。2.以中间位置构造结点。
原创
发布博客 2024.03.14 ·
264 阅读 ·
3 点赞 ·
1 评论 ·
5 收藏

代码随想录刷题训练营DAY21|二叉树part8

假设p和q出现在左右子树,那么root一定是p和q的最近公共祖先。利用二叉搜索树的有序性。考虑单层的递归逻辑。
原创
发布博客 2024.03.13 ·
376 阅读 ·
10 点赞 ·
0 评论 ·
3 收藏

代码随想录刷题训练营DAY21|二叉树part7

思路:如果不考虑额外的空间开销就蛮简单的,用一个map在遍历的时候去记录每个数字出现的个数,取出最多的个数,然后放进结果数组里。中序遍历就是这条蓝线第二次经过结点的时候,很明显结点1在结点4前面,所以结点1就是结点4的pre。递归:选择中序遍历(左中右)。需要用一个pre节点记录一下cur节点的前一个节点。思路:二叉搜索树,二叉搜索树可是有序的。
原创
发布博客 2024.03.12 ·
273 阅读 ·
10 点赞 ·
1 评论 ·
4 收藏

代码随想录刷题训练营DAY20|二叉树part6

输出:[6,3,5,null,2,0,null,null,1]输入:nums = [3,2,1,6,0,5]
原创
发布博客 2024.03.11 ·
541 阅读 ·
5 点赞 ·
1 评论 ·
5 收藏

代码随想录算法训练营DAY18|二叉树part5

给定一个二叉树和一个目标和,找到所有从根节点到叶子节点路径总和等于给定目标和的路径。示例: 给定如下二叉树,以及目标和 sum = 22,说明: 叶子节点是指没有子节点的节点。
原创
发布博客 2024.03.11 ·
309 阅读 ·
7 点赞 ·
1 评论 ·
3 收藏

代码随想录算法训练营DAY17|二叉树part4

平衡二叉树概念:一个二叉树每个节点 的左右两个子树的高度差的绝对值不超过1。,这样才方便让父节点指向孩子节点,找到对应的路径。这道题目要求从根节点到叶子的路径,所以需要。
原创
发布博客 2024.03.10 ·
317 阅读 ·
3 点赞 ·
1 评论 ·
0 收藏

代码随想录刷题训练营DAY15|二叉树part3

二叉树节点的高度:指从该节点到叶子节点的最长简单路径边的条数或者节点数(取决于高度从0开始还是从1开始)二叉树节点的深度:指从根节点到该节点的最长简单路径边的条数或者节点数(取决于深度从0开始还是从1开始)本题可以使用前序(中左右),也可以使用后序遍历(左右中),使用前序求的就是深度,使用后序求的是高度。:从 根节点 到 最近叶子节点的 最短路径上的 结点数量。只不过,左右结点变成child结点list。同样的n叉树,也是一样的思路。递归法:计算左右结点的个数。
原创
发布博客 2024.03.07 ·
389 阅读 ·
4 点赞 ·
1 评论 ·
7 收藏

代码随想录刷题训练营DAY14|层序遍历|226.翻转二叉树|101.对称二叉树

根节点a开始访问,a先入队,此时队列非空,取出队头元素a,由于b,c与a邻接且未被访问过,于是依次访问b,c将b,c入队。所以在BFS的基础上,还需要加一层while,把当前队列里的元素一起输出。思路:比较根节点的左右子树–>比较左右子树的里侧,外侧是否相同。这里用图的广度优先搜索举例子。
原创
发布博客 2024.03.06 ·
350 阅读 ·
1 点赞 ·
1 评论 ·
4 收藏

代码随想录算法训练营DAY11|20.有效的括号|1047.删除字符串中所有相邻元素|150.逆波兰表达式

思路:遇到数字入栈,遇到符号,弹出两个数字,“/”和“-”的时候用第二个数字放前面处理。此时数组元素a与栈顶元素a一致,弹出栈里的a。最后把栈元素倒出来,反转一下。
原创
发布博客 2024.03.02 ·
480 阅读 ·
5 点赞 ·
0 评论 ·
10 收藏

代码随想录算法训练营DAY10|232.用栈实现队列|225. 用队列实现栈

在push数据的时候,只要数据放进输入栈就好,但在pop的时候,操作就复杂一些,输出栈如果为空,就把进栈数据全部导入进来(注意是全部导入),再从出栈弹出数据,如果输出栈不为空,则直接从出栈弹出数据就可以了。
原创
发布博客 2024.03.01 ·
170 阅读 ·
1 点赞 ·
0 评论 ·
0 收藏

码随想录算法训练营Day7|15.三数之和|454.四数相加II |383.赎金信|18.四数之和

把nums[left]和nums[right]的和看作一个整体b,当前的元素看作a。a+b>0,红色指针往左移动,让b减小。如果a+b
原创
发布博客 2024.02.27 ·
512 阅读 ·
5 点赞 ·
0 评论 ·
5 收藏

代码随想录算法训练营|DAY6|242.有效字母移位|349.两个数组的交集|202.快乐数|1.两数之和

我们只需要判断字母是不是一样,比如"rat"和“car”,我们可以把字母按照字符串排列,rat就变成"atr",car就变成"acr"。这道题的重点是判断有没有两个数组中有没有一样的数字,且输出是唯一的。因为set在添加元素的时候自动会帮我们做个去重,相同元素就不再重复添加了。然后重复这个过程直到这个数变为 1,也可能是 无限循环 但始终变不到 1。对于一个正整数,每一次将该数替换为它每个位置上的数字的平方和。如果这个过程 结果为 1,那么这个数就是快乐数。编写一个算法来判断一个数 n 是不是快乐数。
原创
发布博客 2024.02.26 ·
460 阅读 ·
5 点赞 ·
1 评论 ·
9 收藏

代码随想录算法训练营|DAY4|24.两两交换链表|19.删除倒数第n个结点|相交链表|环形链表

在这里插入图片描述](https://img-blog.csdnimg.cn/direct/e7ef04a07e054ff090adff773144bd83.png像上图,节点1和节点3的next域里面存储的地址相等,假设是100,也就是说它们会一同指向这个空间里地址为100的节点,也就是2(假设它的地址值是100)。(因为假如他们相交了,那相交之后的长度是一样的,也就是说A和B不相交的部分,A比B长2,A走完这两步,就可以和B同一起点开始走向他们相交的点)等到他们相遇的时候,就是环的入口。
原创
发布博客 2024.02.24 ·
793 阅读 ·
8 点赞 ·
0 评论 ·
19 收藏
加载更多