1、定义:平衡二叉树(balance binary tree)又称AVL树(Adelson-Velskii and Landis)。一棵平衡二叉树或者是空树,或者是具有下列性质的二叉排序树:
(1)左子树与右子树的高度之差的绝对值等于1;
(2)左子树与右子树也是平衡二叉树。
为了方便起见,给每个结点附加一个数字,给出该结点左子树与右子树的高度差,这个数字称为结点的平衡因子(BF)。
平衡因子 = 结点左子树的高度 - 结点右子树的高度
根据平衡二叉树的定义,平衡二叉树上所有结点的平衡因子只能是-1、0、1。
对于一棵有n个结点的AVL树,其高度是保持在数量级,ASL也保持在
量级。

2、失衡二叉树的分析与调整
当我们在平衡二叉树上插入一个结点,有可能导致失衡,即出现平衡因子绝对值大于1的结点,如-2、2。

如果一棵AVL树插入一个新结点后造成失衡,则必须重新调整树的结构,使之恢复平衡。
3、平衡调整的四种类型

A:失衡点,不止一个失衡结点时,为最小失衡子树的根结点
B:A结点的孩子,C结点的双亲
C:插入新结点的子树
调整原则:(1)降低高度;(2)保持二叉排序树性质
(1)LL型调整

B结点带左子树一起上升,A结点称为B的右孩子,原来B的右子树称为A的左子树。
(2)RR型调整

B结点带右子树一起上升,A结点称为B的左孩子,原来B结点的左子树称为A的右子树。
(3)LR型调整
C结点穿过A、B结点上升;B结点成为C的左孩子;A结点成为C的右孩子;原来C结点的左孩子成为B结点的右子树,原来C结点的右孩子成为A的左子树。
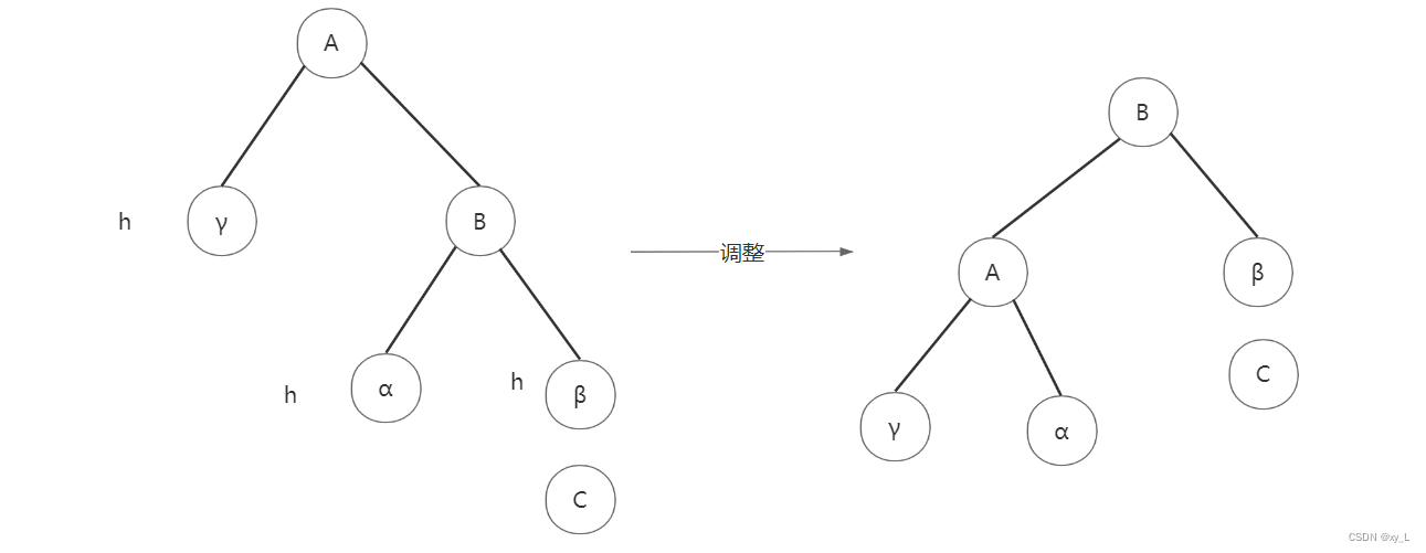
(4)RL型调整

536

被折叠的 条评论
为什么被折叠?



