模型的保存与加载
训练好的数据集如何保存
API:


逻辑回归–分类算法(回归转分类)–只适用解决二分类问题
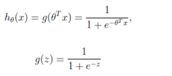
输入:线性回归公式
特点:
不仅能分类,还能得出概率值

核心部分:
sigmoid函数—将值映射为0-1之间的值(概率)


如何定义损失函数:

(信息熵也是log(概率值))
①预测概率值为1时:

②预测概率值为0时:

所有损失值加在一起就是总损失函数,通过总损失衡量整体结果

优化:梯度下降更新线性回归输入的权重(对数似然损失存在多个局部最小值,目前无法解决),均方误差只有一个最小值

解决方法:(虽然没有全局最低点,但是效果都还是不错的)
1.多次随机初始化,多次比较最小值的结果
2.调整学习率(自适应学习率Adam)
API:


案例:

特点:
①只能解决二分类问题
②适合需要得到分类概率得场景,简单,速度快
③不好处理多分类问题
方法推演:softmax—多分类问题

K-mean(聚类)原理及案例–非监督学习算法
K—把数据划分成多少个类别(不知道类别个数的话就是超参数,知道类别数就是已知参数)

步骤:
①随机在数据中抽取k个样本,当作k个类别的中心点
②计算剩余的点分别到这K个中心点的距离(每一个样本都有k个距离),从中选出距离最近的点,作为自己的标记
③分别计算这K个族群的平均值,把K个平均值与之前的K个中心点比较,如果相同:结束聚类;如果不相同:把这三个平均值当中新的中心点,重复第二步
API:


(聚类一般用在分类之前)
聚类的评估标准:轮廓系数

外部距离最大化、内部距离最小化



[-1,1]—超过0,就说明聚类效果较好
API:



特点:
迭代式算法,直观易懂
缺点:
容易收敛到局部最优解(多次聚类)
需要预先设定簇的数量(k-means++解决)


被折叠的 条评论
为什么被折叠?



