Client-Edge-Cloud Hierarchical Federated Learning
客户端–云分层联邦学习
背景
1.云或边缘只有一个中心参数服务器,
2.深度学习在强大的计算平台训练,终端设备生成和分发转移到中央服务器时,违反隐私问题。
创新点
1.允许多个边缘服务器执行部分模型聚合,
2.引入中间边缘服务器,减少模型训练时间和终端设备的能量消耗
3.基于边缘的联邦学习,参数服务器位于邻近边缘(基站),但是服务器访问的客户端数量有限,训练性能损失。
4.与云边端相比,分层的联邦学习减少与云的通信,使客户端边缘更新,显著减少运行时间和本地迭代的数量。
5.联邦平均算法扩展到层次设置还可以收敛吗?
内容
1.HierFAVG


2.传统两层联邦学习
一个中心参数服务器和n个客户端,梯度下降的K步进行通信和聚合。

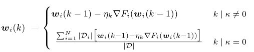
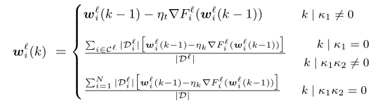
3.客户端-云分层联邦学习(双循环)

客户端每
k
1
k_1
k1步更新后,每个边缘服务器聚合模型,每
k
2
k_2
k2边缘模型聚合,云服务器聚合所有的边缘模型,


理论证明
1.K:本地迭代次数分为B个云区间,每个区间长度为
k
1
k
2
k_1k_2
k1k2,或者分为
B
k
2
Bk_2
Bk2个端区间,长度为
k
1
k_1
k1
2.局部聚合和云聚合,【p】表示边缘区间
(
p
−
1
)
k
1
(p-1)k_1
(p−1)k1到
p
k
1
pk_1
pk1,{q}表示云边端从
(
q
−
1
)
k
1
k
2
(q-1)k_1k_2
(q−1)k1k2到
q
k
1
k
2
qk_1k_2
qk1k2

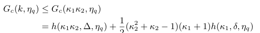
定理
- 假设光滑、连续、凸,存在权重有上界M,

2.梯度收敛
边缘端与客户端,云端与边缘端,散度越大,约非独立同分布

2.凸损失函数
3.非凸损失函数
当客户端数据是非独立同分布的,权重偏差包含两个部分,边缘云发散,第二部分是有客户端边缘发散,只有一个指数
k
1
k_1
k1,权重偏差越小,收敛速度越快。

结论
1.当与云通信频率
k
1
k
2
k_1k_2
k1k2固定,与边缘通信越频繁,训练过程越快。
2.当iid时,与边缘服务器通信频率固定,降低与云服务器的通信频率不会减慢训练过程。可以减少与云的高成本通信。
Federated Meta-Learning with Fast Convergence and Efficient Communication
背景
1基于初始化的元学习算法MAML,快速适应和对新任务的良好泛化
2.元学习将一个参数化的算法通过元训练过程从大量任务中学习,在每个任务中快速训练一个人特定的模型。
3.任务由支持集和查询集组成,支持机上训练,查询集测试,测试集结果更新算法
4.模型不可知的元学习MAML算法可通过k-way任务进行元学习,
创新
1.元学习+联邦学习
2.算法在服务器上维护,分发给客户端训练
3. FedMeta,灵活共享参数化算法,并应用到每个客户端有高度个性化的推荐业务,准确性更高
最近工作
- 为每个用户增加更多的计算量
- 在局部目标函数加入正则项
- 考虑多任务学习,提出元对偶优化方法,不适用于非凸深度学习模型。
- 将每个客户端视为一个任务
内容

联邦元学习除了服务器和客户机之间传输的是一个算法,不是全局模型,共享算法比共享模型更灵活
元学习目标:对算法A进行元训练,快速训练模型,算法A在支持集
D
S
T
D^T_S
DST训练模型F, 输出
θ
T
\theta_T
θT(内部更新),最后更新最小的测试损失(外部更新),

损失函数为:


883

被折叠的 条评论
为什么被折叠?



