之前一直给大家推荐的是关于 Flink 的介绍和知识点,可以在历史文章搜索了解。总的来说,现在还挺缺这种真正实战的项目分享出来,尤其是把源代码分享出来的,近期我在 GitHub 观察到一个不错的 Flink 项目,然后也和作者交流了下,于是在这里做一个分享。所以,那些平时问我有没有 Flink 项目的可以看过来了。地址在 :https://github.com/CheckChe0803/flink-recommandSystem-demo 下面介绍下这个项目。
1. 系统架构 v2.0
1.1 系统架构图

1.2模块说明
a.在日志数据模块(flink-2-hbase)中,又主要分为6个Flink任务:
用户-产品浏览历史 -> 实现基于协同过滤的推荐逻辑
通过Flink去记录用户浏览过这个类目下的哪些产品,为后面的基于Item的协同过滤做准备
实时的记录用户的评分到Hbase中,为后续离线处理做准备.数据存储在Hbase的p_history表
用户-兴趣 -> 实现基于上下文的推荐逻辑
根据用户对同一个产品的操作计算兴趣度,计算规则通过操作间隔时间(如购物 - 浏览 < 100s)则判定为一次兴趣事件
通过Flink的ValueState实现,如果用户的操作Action=3(收藏),则清除这个产品的state,如果超过100s没有出现Action=3的事件,也会清除这个state数据存储在Hbase的u_interest表
用户画像计算 -> 实现基于标签的推荐逻辑
v1.0按照三个维度去计算用户画像,分别是用户的颜色兴趣,用户的产地兴趣,和用户的风格兴趣.根据日志不断的修改用户画像的数据,记录在Hbase中.
数据存储在Hbase的user表
产品画像记录 -> 实现基于标签的推荐逻辑
用两个维度记录产品画像,一个是喜爱该产品的年龄段,另一个是性别
数据存储在Hbase的prod表
事实热度榜 -> 实现基于热度的推荐逻辑
通过Flink时间窗口机制,统计当前时间的实时热度,并将数据缓存在Redis中.
通过Flink的窗口机制计算实时热度,使用ListState保存一次热度榜
数据存储在redis中,按照时间戳存储list
日志导入
从Kafka接收的数据直接导入进Hbase事实表,保存完整的日志log,日志中包含了用户Id,用户操作的产品id,操作时间,行为(如购买,点击,推荐等).
数据按时间窗口统计数据大屏需要的数据,返回前段展示
数据存储在Hbase的con表
b. web模块
前台用户界面
该页面返回给用户推荐的产品list
后台监控页面
该页面返回给管理员指标监控
2.推荐引擎逻辑说明
2.1 基于热度的推荐逻辑
现阶段推荐逻辑图

根据用户特征,重新排序热度榜,之后根据两种推荐算法计算得到的产品相关度评分,为每个热度榜中的产品推荐几个关联的产品
2.2 基于产品画像的产品相似度计算方法
基于产品画像的推荐逻辑依赖于产品画像和热度榜两个维度,产品画像有三个特征,包含color/country/style三个角度,通过计算用户对该类目产品的评分来过滤热度榜上的产品

在已经有产品画像的基础上,计算item与item之间的关联系,通过余弦相似度来计算两两之间的评分,最后在已有物品选中的情况下推荐关联性更高的产品.
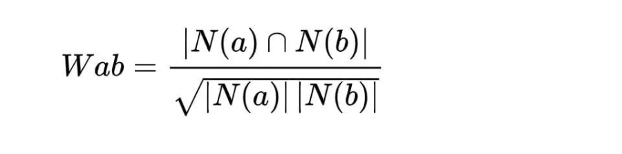
2.3 基于协同过滤的产品相似度计算方法
根据产品用户表(Hbase) 去计算公式得到相似度评分:

3. 前台推荐页面
当前推荐结果分为3列,分别是热度榜推荐,协同过滤推荐和产品画像推荐
4. 后台数据大屏
在后台上显示推荐系统的实时数据,数据来自其他Flink计算模块的结果.目前包含热度榜和1小时日志接入量两个指标.
真实数据位置在resource/database.sql
5. 部署说明
以下的部署均使用Docker,对于搭建一套复杂的系统,使用docker来部署各种服务中间件再合适不过了。这里有一套简单的Docker入门系列
需要的服务有:Mysql、Redis、Hbase和Kafka
Mysql
1docker pull mysql:5.7
2
3docker run --name local-mysql -p 3308:3306 -e MYSQL_ROOT_PASSWORD=123456 -d mysql:5.7
简单介绍一下命令,先拉取镜像,然后指定参数启动容器
--name local-mysql容器名为local-mysql-p 3308:3306宿主机与容器的端口映射为3308:3306 即你访问宿主机的3308就是访问容器的3306端口,需要理解下-e MYSQL_ROOT_PASSWORD=123456容器内的变量名MYSQL_ROOT_PASSWORD对应的值为123456 即mysql的root密码为123456-d后台启动
Redis
1$ docker run --name local-redis -p 6379:6379 -d redis
Hbase
1docker pull harisekhon/hbase
2
3docker run -d -h base-server \
4 -p 2181:2181 \
5 -p 8080:8080 \
6 -p 8085:8085 \
7 -p 9090:9090 \
8 -p 9000:9000 \
9 -p 9095:9095 \
10 -p 16000:16000 \
11 -p 16010:16010 \
12 -p 16201:16201 \
13 -p 16301:16301 \
14 -p 16020:16020\
15 --name hbase \
16 harisekhon/hbase
Hbase用到的端口,可以参考一下详细教程
启动成功之后我们可以访问http://localhost:16010/master-status登录Web界面
:point_right: 快速实现SpringBoot集成Hbase
Kafka
考虑到更好的区别这些端口,我这里启动了一个虚拟机,在虚拟机中在用dokcer安装Kafka,过程如下
1## pull images
2docker pull wurstmeister/zookeeper
3docker pull wurstmeister/kafka
4docker pull sheepkiller/kafka-manager
5
6docker run -d --name zookeeper --publish 2181:2181 \
7 --volume /etc/localtime:/etc/localtime \
8 --restart=always \
9 wurstmeister/zookeeper
10
11
12## run kafka
13docker run --name kafka \
14 -p 9092:9092 \
15 --link zookeeper:zookeeper \
16 -e KAFKA_ADVERTISED_HOST_NAME=192.168.1.8 \
17 -e KAFKA_ZOOKEEPER_CONNECT=zookeeper:2181 \
18 -d wurstmeister/kafka
19
20## run kafka manager
21docker run -d \
22 --link zookeeper:zookeeper \
23 -p 9000:9000 \
24 -e ZK_HOSTS="zookeeper:2181" \
25 hlebalbau/kafka-manager:stable \
26 -Dpidfile.path=/dev/null
如果想设置webui 的权限,可以这样设置
1KAFKA_MANAGER_AUTH_ENABLED: "true"
2KAFKA_MANAGER_USERNAME: username
3KAFKA_MANAGER_PASSWORD: password
容器启动成功之后就可以在页面访问localhost:9000查看Kafkfa的管理界面。
:point_right: 快速实现SpringBoot集成Kafka
启动服务
以下的操作是在IDEA下完成
1、将上述部署的几个服务的ip和端口号分别配置在flink-2-hbase和web服务中;
2、在flink-2-hbase中的根目录执行mvn clean install,目的是将其打包并放置在本地仓库中;
3、分别启动task目录下的task(直接在idea中右键启动就行了);
4、把SchedulerJob启动起来,定时的去计算协同过滤和用户画像所需要的分数;
5、在idea中打开web项目,等待其自动引入flink-2-hbase生成的jar包之后,再启动服务就ok了;
注意:所有的服务启动后,因为没有任何的点击记录,所以就是随机从数据库取得产品,这里需要你在推荐页面随便点击,等有了一定的历史数据之后,就能实现实时推荐的效果了
6. 下一步工作
添加flink任务监控
完善数据大屏,显示更详细的指标
统计召回率/准确率等业务指标
推荐阅读:

1552

被折叠的 条评论
为什么被折叠?



