
- 梯度下降系列博客:1、梯度下降算法基础
- 梯度下降系列博客:2、梯度下降算法背后的数学直觉
- 梯度下降系列博客:3、批量梯度下降代码实战
- 梯度下降系列博客:4、小批量梯度下降算法代码实战
- 梯度下降系列博客:5、随机梯度下降算法代码实战
小批量梯度下降 (MBGD) 算法的工作原理
在批量梯度下降 (BGD) 算法中,我们考虑算法所有迭代的所有训练示例。然而,在随机梯度下降 (SGD) 算法中,我们只考虑一个随机训练示例。现在,在小批量梯度下降 (MBGD) 算法中,我们在每次迭代中考虑训练示例的随机子集。由于这不像 SGD 那样随机,我们更接近全局最小值。然而,MBGD 很容易陷入局部最小值。让我们举个例子来更好地理解这一点。
批量梯度下降(BGD):
每次迭代的训练示例数 = 100 万 = 1⁰⁶
迭代次数 = 1000 = 1⁰³
要训练的参数数 = 10000 = 1⁰⁴
总计算量 = 1⁰⁶*1⁰³*1⁰⁴=1⁰¹³随机梯度下降(SGD):
每次迭代的训练示例数 = 1
迭代次数 = 1000 = 1⁰³
要训练的参数数 = 10000 = 1⁰⁴
总计算量 = 1*1⁰³*1⁰⁴ = 1⁰⁷小批量梯度下降(MBGD):
每次迭代的训练样本数 = 100 = 1⁰²
→在这里,我们考虑 1⁰⁶ 中的 1⁰² 训练样本。
迭代次数 = 1000 = 1⁰³
要训练的参数数量 = 10000 = 1⁰⁴
总计算量 = 1⁰²*1⁰³*1⁰⁴=1⁰⁹与批量梯度下降(BGD)的比较:
BGD 中的
总计算量 = 1⁰¹³ MBGD 中的总计算量 = 1⁰⁹评估: MBGD 在本例中比 BGD 快 1⁰⁴ 倍。
与随机梯度下降(SGD)的比较:
SGD 中的
总计算量 = 1⁰⁷ MBGD 中的总计算量 = 1⁰⁹**评估:**在这个例子中,SGD 比 MBGD 快 1⁰² 倍。
BGD、SGD 和 MBGD 的比较:
BGD 中的
总计算量 = 1⁰¹³ SGD 中的
总计算量 = 1⁰⁷ MBGD 中的总计算量 = 1⁰⁹评估: SGD > MBGD > BGD
**注意:**请注意,我们的成本函数不一定会下降,因为我们在每次迭代中都对训练示例进行随机抽样。然而,随着我们执行越来越多的迭代,成本函数将逐渐减小。
现在,让我们看看 Mini-Batch 梯度下降 (MBGD) 算法在实践中是如何实现的。
1. 第 1 步:
首先,我们从 GitHub 存储库下载数据文件。
!wget https://raw.githubusercontent.com/Pratik-Shukla-22/Gradient-Descent/main/Advertising.csv
从 GitHub 获取数据文件
2. 第 2 步:
接下来,我们将导入一些必需的库来读取、操作和可视化数据。
#Import the required libraries:
import pandas as pd
import numpy as np
import matplotlib.pyplot as plt
导入所需的库
3. 第 3 步:
接下来,我们正在读取数据文件,然后打印它的前五行。
#Read the data file:
data = pd.read_csv("Advertising.csv")
data.head()
#Output:
index,Unnamed: 0,TV,radio,newspaper,sales
0,1,230.1,37.8,69.2,22.1
1,2,44.5,39.3,45.1,10.4
2,3,17.2,45.9,69.3,9.3
3,4,151.5,41.3,58.5,18.5
4,5,180.8,10.8,58.4,12.9
读取和打印数据
4. 第 4 步:
接下来,我们将数据集划分为特征和目标变量。
#Define the feature and target variables:
X = data[["TV","radio","newspaper"]]
Y = data["sales"]
获取特征和目标变量
尺寸:X = (200, 3) & Y = (200, )
5. 第 5 步:
为了在进一步的步骤中执行矩阵计算,我们需要重塑目标变量。
#Reshape the data in Y:
Y = np.asarray(Y)
Y = np.reshape(Y,(Y.shape[0],1))
重塑 Y 中的数据
尺寸:X = (200, 3) & Y = (200, 1)
6. 第 6 步:
接下来,我们正在规范化数据集。
#Normalize the data:
X = (X - X.mean())/X.std()
Y = Y - Y.mean()/Y.std()
规范化数据
尺寸:X = (200, 3) & Y = (200, 1)
7. 第 7 步:
接下来,我们获取bias和weights矩阵的初始值。我们将在执行前向传播时在第一次迭代中使用这些值。
#Function to get intial weights and bias:
def initialize_weights(n_features):
bias = np.random.random(1)
weights = np.random.random(n_features)
#Reshape the bias and weights:
bias = np.reshape(bias,(1,1))
weights = np.reshape(weights, (1,X.shape[1]))
return bias,weights
获取随机值来初始化我们的参数
维度:偏差 = (1, 1) & 权重 = (1, 3)
8. 第 8 步:
接下来,我们正在执行前向传播步骤。此步骤基于以下公式。

#Predict the value of target variable based on the random weights:
def predict(bias, weights, X):
predicted_value = bias+np.dot(X,weights.T)
return predicted_value
预测目标变量的值
维度:预测值 = (1, 1)+(200, 3)*(3,1) = (1, 1)+(200, 1) = (200, 1)
9. 第 9 步:
接下来,我们将计算与我们的预测相关的成本。此步骤基于以下公式。

#Calculate the cost:
def calculate_cost(Y, Y_pred):
error = Y_pred - Y
cost = np.sum((error)**2)/len(error)
return cost
获取与预测相关的成本
维度:成本 = 标量值
10. 第 10 步:
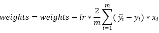
接下来,我们使用梯度下降算法更新权重和偏差的参数值。此步骤基于以下公式。请注意,我们不对权重值求和的原因是我们的权重矩阵不是1*1矩阵。


#Update the parameter values:
def update_parameters(X,Y,Y_pred,bias,weights,lr):
#Calculating the gradients:
db = (np.sum(Y_pred-Y)*2)/len(Y)
dw = (np.dot((Y_pred-Y).T,X)*2)/len(Y)
#Updating the parameters:
bias = bias - lr*db
weights = weights - lr*dw
#Return the updated parameters:
return bias, weights
使用梯度下降算法更新参数
维度:db = sum(200, 1) = (1 , 1)
维度:dw = (1, 200) * (200, 3) = (1, 3)
维度:偏差 = (1, 1) & 权重 = (1, 3)
11. 第 11 步:
接下来,我们将使用刚刚定义的所有函数来运行梯度下降算法。此外,我们正在创建一个名为的空列表cost_list来存储所有迭代的成本值。我们将使用此列表在后续步骤中绘制图表。
#The main function to run the gradient descent algorithm:
def run_mini_batch_gradient_descent(X,Y,lr,iter):
#Create an empty list to store cost values:
cost_list = []
#Get the initial values of weights and bias:
bias, weights = initialize_weights(X.shape[1])
for i in range(iter):
#Shuffle indices:
shuffled_indices = np.random.permutation(len(Y))
#Get a random index:
i = np.random.randint(0,len(X)-20)
#Get a random sample of 20 examples:
X_sample = X.iloc[shuffled_indices[i:i+20]]
Y_sample = Y[shuffled_indices[i:i+20]]
#Predict the value of the target variable:
Y_pred = predict(bias, weights, X_sample)
#Calculate the cost associated with prediction:
cost = calculate_cost(Y_sample, Y_pred)
#Append the cost to the list:
cost_list.append(cost)
#Update the parameters using gradient descent:
bias, weights = update_parameters(X_sample,Y_sample,Y_pred,bias,weights,lr)
#Return the cost list:
return bias, weights,cost_list
小批量梯度下降算法
12. 第 12 步:
接下来,我们实际上是在调用函数来获取最终结果。请注意,我们运行的是200 iterations. 此外,我们在这里指定了learning rate of 0.01.
#Run the gradient descent algorithm:
bias, weights,cost = run_mini_batch_gradient_descent(X,Y,lr=0.01,iter=200)
运行小批量梯度下降算法 200 次迭代
13. 第 13 步:
接下来,我们在final weights完成所有迭代后打印值。
#Print the final values of weights:
print("Weights=",weights)
#Output:
Weights= [[3.81174521 2.74254003 0.03512562]]
在 200 次迭代后打印权重的最终值
14. 第 14 步:
接下来,我们在final bias完成所有迭代后打印值。
#Print the final value of bias:
print("Bias=",bias)
#Output:
Bias= [[11.15321194]]
在 200 次迭代后打印偏差的最终值
15. 第 15 步:
接下来,我们正在绘制 的图形iterations vs. cost。
#Plot the graph of iter. vs cost:
plt.title("Iterations vs. Cost")
plt.xlabel("Iterations")
plt.ylabel("MSE cost")
plt.plot(cost)
plt.plot(cost,label="Mini Batch Gradient Descent")
plt.legend()
plt.show()


16. 第 16 步:
接下来,我们绘制两个具有不同学习率的图,以查看学习率在优化中的影响。在下图中,我们可以看到学习率较高(0.01)的图比学习率较慢的图收敛得更快(0.001)。其背后的原因是学习率较低的图采用较小的步长。
#Run the gradient descent algorithm:
bias1, weights1, cost1 = run_mini_batch_gradient_descent(X,Y,lr=0.01,iter=1000)
bias2, weights2, cost2 = run_mini_batch_gradient_descent(X,Y,lr=0.001,iter=1000)
#Plot the graphs:
plt.title("Iterations vs. Cost")
plt.xlabel("Iterations")
plt.ylabel("MSE cost")
plt.plot(cost1,label="LR=0.01")
plt.plot(cost2,label="LR=0.001")
plt.legend()
plt.show()
绘制不同学习率的批量梯度下降算法图

17. 第 17 步:
把它们放在一起。
#Fetch the data file from GitHub repository:
!wget https://raw.githubusercontent.com/Pratik-Shukla-22/Gradient-Descent/main/Advertising.csv
#Import the required libraries:
import pandas as pd
import numpy as np
import matplotlib.pyplot as plt
#Read the data file:
data = pd.read_csv("Advertising.csv")
data.head()
#Define the feature and target variables:
X = data[["TV","radio","newspaper"]]
Y = data["sales"]
#Reshape the data in Y:
Y = np.asarray(Y)
Y = np.reshape(Y,(Y.shape[0],1))
#Normalize the data:
X = (X - X.mean())/X.std()
Y = Y - Y.mean()/Y.std()
#Function to get intial weights and bias:
def initialize_weights(n_features):
bias = np.random.random(1)
weights = np.random.random(n_features)
#Reshape the bias and weights:
bias = np.reshape(bias,(1,1))
weights = np.reshape(weights, (1,X.shape[1]))
return bias,weights
#Predict the value of target variable based on the random weights:
def predict(bias, weights, X):
predicted_value = bias+np.dot(X,weights.T)
return predicted_value
#Calculate the cost:
def calculate_cost(Y, Y_pred):
error = Y_pred - Y
cost = np.sum((error)**2)/len(error)
return cost
#Update the parameter values:
def update_parameters(X,Y,Y_pred,bias,weights,lr):
#Calculating the gradients:
db = (np.sum(Y_pred-Y)*2)/len(Y)
dw = (np.dot((Y_pred-Y).T,X)*2)/len(Y)
#Updating the parameters:
bias = bias - lr*db
weights = weights - lr*dw
#Return the updated parameters:
return bias, weights
#The main function to run the gradient descent algorithm:
def run_mini_batch_gradient_descent(X,Y,lr,iter):
#Create an empty list to store cost values:
cost_list = []
#Get the initial values of weights and bias:
bias, weights = initialize_weights(X.shape[1])
for i in range(iter):
#Shuffle indices:
shuffled_indices = np.random.permutation(len(Y))
#Get a random index:
i = np.random.randint(0,len(X)-20)
#Get a random sample of 20 examples:
X_sample = X.iloc[shuffled_indices[i:i+20]]
Y_sample = Y[shuffled_indices[i:i+20]]
#Predict the value of the target variable:
Y_pred = predict(bias, weights, X_sample)
#Calculate the cost associated with prediction:
cost = calculate_cost(Y_sample, Y_pred)
#Append the cost to the list:
cost_list.append(cost)
#Update the parameters using gradient descent:
bias, weights = update_parameters(X_sample,Y_sample,Y_pred,bias,weights,lr)
#Return the cost list:
return bias, weights,cost_list
#Run the gradient descent algorithm:
bias, weights,cost = run_mini_batch_gradient_descent(X,Y,lr=0.01,iter=200)
#Print the final values of weights:
print("Weights=",weights)
#Print the final value of bias:
print("Bias=",bias)
#Plot the graph of iter. vs cost:
plt.title("Iterations vs. Cost")
plt.xlabel("Iterations")
plt.ylabel("MSE cost")
plt.plot(cost)
plt.plot(cost,label="Mini Batch Gradient Descent")
plt.legend()
plt.show()
#Run the gradient descent algorithm:
bias1, weights1, cost1 = run_mini_batch_gradient_descent(X,Y,lr=0.01,iter=1000)
bias2, weights2, cost2 = run_mini_batch_gradient_descent(X,Y,lr=0.001,iter=1000)
#Plot the graphs:
plt.title("Iterations vs. Cost")
plt.xlabel("Iterations")
plt.ylabel("MSE cost")
plt.plot(cost1,label="LR=0.01")
plt.plot(cost2,label="LR=0.001")
plt.legend()
plt.show()
计算:
现在,让我们统计一下在实现批量梯度下降算法时执行的计算次数。
**偏差:(**训练示例)x(迭代)x(参数)= 20 * 200 * 1 = 4000
**权重:(**训练示例)x(迭代)x(参数)= 20 * 200 * 3 = 12000
图比较:
尾注:
就这样,我们到了梯度下降系列的结尾!在本期文章中,我们深入研究了代码,以了解三种主要类型的梯度下降算法如何彼此相邻地执行,并通过这些方便的注释进行了总结:
1.批量梯度下降
精度→高
时间→更多2.随机梯度下降
精度→低
时间→少3. Mini-Batch梯度下降
精度→中等
时间→中等
源码:
以上所有代码请关注公众号: 猛男技术控,回复梯度下降 即可获取
995

被折叠的 条评论
为什么被折叠?



