1.绪论
数据结构的概念:即数据的 逻辑结构、存储结构和运算
数据的基本单位是数据元素,一个数据元素由若干数据项组成,比如Student是一个数据元素,年龄、性别、学号等都是数据项
(1)逻辑结构
数据的逻辑结构可以分为 线性结构和 非线性结构
线性结构:数组、串、链表、栈、队列
非线性结构:树、集合、图
(2)存储结构
- 顺序存储 可以随机存取,但是容易产生碎片,地址必须相邻
- 链式存储 内存利用率高,但是指针也会占用空间,速度也较慢
- 索引存储 建立一张索引表,比如cache中的快表,检索速度快,不过索引表也会占用空间,增减也不方便
- 散列存储 (哈希存储)通过元素的关键字直接计算出存储地址,增删改查都很快,但是对hash函数的要求很高
重点在于散列存储,这个可以通过创建散列表等措施实现,后面会讲到计算散列表的WPL和WSL
(3)易错点
- 可以用抽象数据类型定义一个完整的数据结构
- 数据的逻辑结构独立于存储结构
- 链式存储中,各个结点的存储单元地址可以不连续,但是结点内的存储单元地址一定是连续的
- 同一个算法,实现语言的级别越高,执行效率越低
(4)逻辑结构和存储结构的分别
之前认为区别在于逻辑结构一般都有多种存储方式实现,不过现在觉得还是直接背住更好
逻辑结构:线性表、栈、队列、数组、串、树、二叉树、森林、图
存储结构:顺序表、哈希表、链表、邻接矩阵、邻接表、十字链表、B树、B+树、红黑树
2.线性表
定义:相同数据类型、相同存储空间、有限序列;除了最后一个元素之外,每个元素有且只有一个后继
(1)顺序表
一组连续的存储单元依次存储数据表中的元素,逻辑和物理地址都相邻,特点是随机存取、存储密度高、但是删除和插入时需要移动大量元素
动态存储和静态存储
动态分配只是在程序执行过程中通过语句分配空间,仍然是顺序存储,只是分配的空间大小可以在运行时自由定义
插入和删除
顺序表的插入需要将之后的元素后移,删除则需要把之后的元素前移
注意: 顺序表的空间用满的时候基本无解,只能 创建一个新的大数组,将原来的元素都复制到新数组
比如,当n个空间已满时,如果再想申请增加m个空间,系统只能申请一个n+m的连续空间,然后将原来的n个元素复制进来,之前我还以为复制元素时能边复制边删除原空间,但是这样其实很不合理,因为如果没有n+m连续空间,那么可能在复制到一半的时候空间不够用,那么元素之间的顺序性就会被打破
(2)链表
插入和删除不需要移动元素,容量自由增加,但是不能随机存储
链表的存储密度小于1,没有顺序表存储密度高
链表、双向链表、单循环链表、双循环链表、静态链表
这里其他几个概念都比较熟悉,所以重点看一下这个静态链表,它是借助数组实现的,把数组下标当做指针来用,然后直接勾连形成链表
(3)易错点
增加一个头结点的目的:方便计算的实现

如果要在长度为m的链表之后插入,首先要遍历到m的末尾,此阶段所用的时间是O(m);插入操作只是 m末尾->next=n,只消耗O(1);所以总体消耗的时间复杂度其实还是O(m)

17:本题的关键点在于带头结点,如果是带头结点的话,链表最少也有一个节点。然后就是循环链表,对于一个循环链表来说,为空时它只有头结点,它的前驱和后继都指向自己,所以17选D。具体如图所示
18:本题容易错选C。单循环链表虽然带了循环两个字,但是还是只能查询后继,不能反向查询前驱结点,也就是只能查后面的,不能查前面的,在末尾插入还是要从头结点遍历到结尾,删除尾节点也是要遍历到尾节点的上一个节点;带尾指针后,可以方便在尾部插入节点,但是删除的时候还是得从头结点遍历(就算是尾指针但这也是单向链表,还是不能查前面的)
所以综合考量下来还是选A,双向链表可以前后自由查询,有头结点就可以直接到达尾节点了

19:和上一题比较类似,因为要删除最后一个元素,所以排除单链表,因为单链表即使有尾指针,也不能逆向查询;B和C中,只有尾结点的非循环双向链表在删除第一个元素的时候需要反向遍历到头结点的位置,而有头结点的双向循环链表可以自由到达头结点和尾结点,故选C
20:本题可能错选A和B,双链表不是双向循环链表,不带头结点的单循环链表既没有头结点,也没有尾指针,时间花费很多;而只有尾指针的单循环链表可以直接在尾部插入元素,也可以直接删除第一个元素,不过不能删除最后一个元素
3.栈
数据结构的栈和计组中的栈方向正好相反,数据结构的栈开口向上,计组的栈开口朝下
在计算机的主存中,有一块独立区域就是栈,主存的其他部分在传入地址后就可以随意访问,栈部分不能随意访问,拥有权限之后才能访问
如图所示,数据结构栈的方向是正向的,如下图所示。
(1)栈的特殊性质
最关键的一点:n个不同元素进栈,出栈元素不同排列的个数为:
1
n
+
1
C
2
n
n
\frac{1}{n+1}C_{2n}^{n}
n+11C2nn
(2)顺序栈
即用数组实现栈,采用顺序存储,利用一组连续的地址单元存放自栈底到栈顶的数据元素
#define MaxSize 50
typedef struct{
Elemtype data[MaxSize];
int top;
} SqStack;
判断栈空: s.top==-1
判断栈满: s.top=MaxSize-1
共享栈
为了更有效的利用存储空间,出现了共享栈,两个顺序栈共享一个一维数组空间,两个栈的栈底分别是共享区的两端
共享栈为空:top0=1时0号栈为空,top1=MaxSize时1号栈为空
共享栈已满:两个栈顶指针相邻,top1-top0=1
注意:共享栈的原则是栈底为数组的两端,两个栈的栈顶相互调节,栈满不是其中一个栈决定的,而是由两个栈共同决定
4.队列
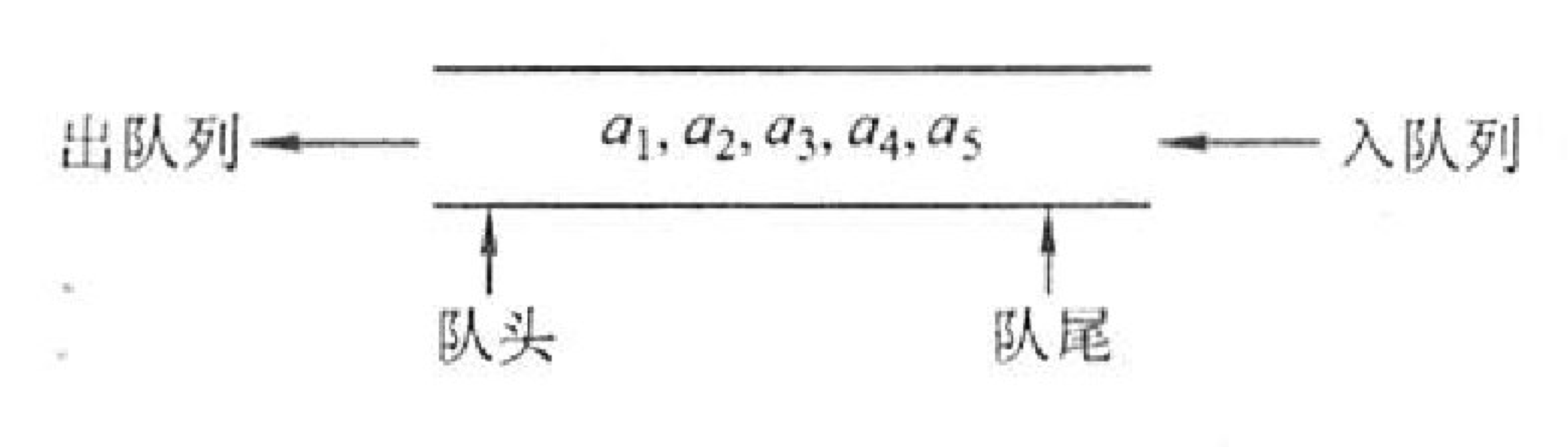
队列的特点是先进先出,从尾进从头出,
(1)顺序存储的队列
4.1.1 顺序队列
typedef struct{
ElemType data[50];
int front,rear;
}SqQueue;
初始状态:Q.front=Q.rear=0
进队:Q.data[Q.rear]=x; Q.rear++;
出队:getObj=Q.data[Q.front]; Q.front++;
入队只有屁股动,出队只有脑袋动;每进一位屁股就往后撅,每出一位头就往后缩
顺序存储队列的缺点:
每次删除之后,front都会前进一次,这就导致删除之后的空间虽然为空,但是不能循环利用
也就是说,每删除一次,队列可用空间就少一个,会造成"假溢出"
4.1.2 循环队列
依然使用的是顺序存储的方式,基于%实现循环
需要牺牲一个单元用来判断队列空还是满,因为如果不牺牲一个单元那么空和满时都有front=rear
相比于顺序队列,循环队列出队之后也不会浪费空间,而且操作也并不复杂,只是需要牺牲一个单元用来作为empty和full状态的判断标志

(2)链式存储的队列
4.2.1 链式顺序队列
typedef struct LinkNode{
ElemType data;
struct LinkNode *next;
}LinkNode;
typedef struct{
LinkNode *front ,*rear;
}LinkQueue;
依然遵循 增加时屁股动,删除时脑袋动 的原则
为了更加便于操作,链式队列一般都是带头结点的单链表
新建链表
void InitQueue(LinkQueue &Q){
Q.front=Q.year=new LinkNode;
Q.front->next=NULL;
}
入队
void EnQueue(LinkNode& Q,ElemType x){
LinkNode *newNode=new LinkNode;
newNode->data=x;
newNode->next=NULL;
// 连接新节点,更新尾指针
Q.rear->next=newNode;
Q.rear=newNode;
}
出队
bool DeQueue(LinkNode& Q,ElemType &x){
// 判断空队
if(Q.front==Q.rear)return false;
x=Q.front->next->data;
// 注意Q.front是头结点,头结点里没数据,真正的第一个节点是Q.front->next
Q.front->next=Q.front->next->next;
// 如果只有一个节点
if(Q.rear==Q.front->next) Q.rear=Q.front:
free(p):
return true:
}
4.2.2 链式双端队列
指两端都可以入队和出队的队列,根据受限位置不同,可以分为 输入受限和输出受限的双端队列
判断输出受限序列是否正确::将序列按照入队顺序画上箭头,有交点即有错误,没有交点即为正确
箭头图可以是没有交点的递进图,也可以是一个逐渐内缩的漩涡图
判断输入受限序列是否正确::入队顺序排在x之前,出队序列排在x之后的元素,只有首尾元素可以与x相邻
例题解析
9.本题容易错选A,但是链表队列不需要循环,数据需要循环是为了解决上溢的问题,链表不会发生上溢的情况,所以不需要循环链表;因为队列需要从队尾插入,从队首删除,如果没有队尾指针,那么每次插入都要遍历整个链表拿到队尾指针,时间耗费过多,所以选B

- 单链表的头结点(不是头指针)即为队头,尾节点即为队尾,新元素从队尾插入,从队头删除,故选A;
- 删除操作即 Q.front->next=Q.front->next->next;但是当队列只有一个元素时,Q.rear=Q.front,头尾指针都需要更改,所以不能选A,选D;

19.如果要保证输出顺序为1-9,那么轨道中的序列必须是降序的,比如"65"、“87”…,如果轨道中的序列是升序,那么可以直接判定错误
所以,从"7,6,1,9,3,5,2,4,8"自后向前找出降序子序列即可,即沿←方向找升序
队尾是"8",可以找到"9,8";
然后是"4",可以找到"7,6,5,4";
然后是"2",可以找到"3,2";
最后是"1",至此,所有降序子序列查找完毕,所以n至少为4,选C
(3)栈和队列的应用
4.3.1 括号匹配
匹配原则:将所有括号按顺序都压入栈,如果栈顶元素和新元素匹配,则栈顶出栈,和新元素一起消解;如果不匹配,则将新元素压入栈

4.3.2 中序转后序
经典案例就是算术表达式的中序转后序,因为中序表达式依赖于优先级和括号,而后序表达式已经考虑了运算符的优先级还有括号
转换原则:中序序列按顺序依次压入栈,
- 如果新元素是数字,那么直接压入;
- 如果新元素为运算符,且栈顶为数字,那么数字出栈;
- 如果新元素是运算符,栈顶也是运算符,如果新符的优先级更低,那么一直出栈,直到栈顶符号的优先级比新符的优先级更低 (必须是优先级更低,优先级相等依然出栈);
- 如果碰到括号,左括号直接压入,遇到右括号则继续出栈,直到左括号出栈相互消解为止

还有通过后序序列计算结果
计算原则:使用后序计算步骤较为简单,遇到数字直接压入,遇到符号则遵循“出二进一”原则(取出两个数,用当前符号进行运算,再把运算结果压入)

4.3.3 递归
递归使用代码实现很简单,但是递归状态下,已经算出的值无法保存,这就导致已经算过的函数还需要进行多次运算,导致时间复杂度升高
在实际的程序运行中,也可以很明显的感觉出,如果只是一次for循环的话,速度很快;但是如果用递归实现for循环,速度会变慢
所以,在运算中,我们可以用栈代替递归,能够提升运算效率
4.3.4 树和图的层次遍历以及消息队列
层次遍历使用队列实现,速度比递归更快一些,只需要在某结点出队的时候,将其所有的子节点入队即可;
消息队列就更经典了,相当于一块缓冲区,也是用队列实现的
5.串、KMP算法
计算机上非数值处理的对象基本都是字符串,我们生活中的搜索引擎、Word、系统等都是以字符串数据为处理对象
(1)串的定义
串是由 零个或 多个字符组成的 有限序列,长度和字符都相等才能说串相等
串和线性表的区别:串内的数据对象只能是字符集,线性表内的数据对象可以是数字也可以是字符集
(2)串的存储结构
5.2.1 使用定长数组实现
typedef struct{
char ch[50];// 一个位置存储一个字符
int length;// 串的实际长度
}SString;
5.2.2 堆分配(动态分配)实现
本质还是数组实现,其实只是将数组从预分配改成在程序执行时分配而已
typedef struct{
char ch[50];// 一个位置存储一个字符
int length;// 串的实际长度
}HString;
5.2.3 链表表示
基于链表实现,不过结点大小不固定,每一个结点可以存1个字符,也可以存多个字符。
注意:结点大小大于1的链表,最后一个结点占不满时用"#"代替补空缺
(3)模式匹配算法
所谓模式匹配,其实就是在长字符串中查询某个子串的位置,比如"abcde"中查询"ab"的位置,可以看出索引是0
5.3.1 暴力匹配算法 O(nm)
从前往后遍历字符串,如果第一位相同则继续遍历之后的字符,用i、j两个指针记录遍历的字符数,如果发现不匹配那么执行 i=i-j+2(这里串的索引默认从1开始,下面的KMP也默认起始索引是1)
实际上就是按顺序遍历,如果不匹配就从遍历位的下一位继续从头开始遍历
5.3.2 KMP算法(重点)O(m+n)
刚才的暴力匹配算法的问题在于匹配之后的移位数,暴力匹配算法默认匹配失败时往前进1位,1位1位地进实在太慢了,所以KMP算法重点解决的就是移位数,KMP引入了 匹配值的概念,KMP算法以next为移动位数
匹配值即最长相等前后缀长度
| 字符串 | 前缀 | 后缀 | 匹配值 |
|---|---|---|---|
| a | ∅ | ∅ | 0 |
| ab | a | b | 0 |
| aba | a,ab | ba,a | 1 |
| abab | a,ab,aba | bab,ab,b | 2 |
| ababa | a,ab,aba,abab | baba,aba,ba,a | 3 |
知道这个概念即可,KMP的重点就是计算next[]和nextval[]数组的值
<1>求字符串的next[]
- 先求匹配值数组;
- 匹配值数组右移一位,第一位用-1代替;
- 数组的所有元素都+1
比如,计算字符串"ababaa"的next数组值,最麻烦的就是第一步计算匹配值,需要一位一位仔细看
| 匹配值数组[] | {0,0,1,2,3,1} |
|---|---|
| 数组右移一位[] | {-1,0,0,1,2,3} |
| 数组的所有元素都+1,得到next[] | {0,1,1,2,3,4} |
<2>字符串的next[]该怎么用呢?
其实基本步骤和暴力匹配差不多,不同之处仅仅在于如果字符不匹配时的移动位数
// 暴力匹配算法,只移动一位
int index(String S,String T){
int i=j=0;
while(i<=S.length && j<=T.length){
// 如果从某处开始相同,那么顺序查看
if(S.ch[i]==T.ch[j]){
++i; ++j;
}
else{
i=i-j+2; j=1; // 如果不匹配默认只移动一位
}
}
}
// KMP算法,能实现快速移动,O(m+n)
int index_KMP(String S,String T,int next[]){
int i=j=0;
while(i<=S.length && j<=T.length){
// 如果从某处开始相同,那么顺序查看
if(j==0||S.ch[i]==T.ch[j]){
++i; ++j;
}
else{
j=next[j]; // 和暴力匹配不一样,如果不一致,那么直接从next[j]的位置继续查看
}
}
}
比如预查询串为"abaabaabcabaabc",要查询的子串为"abaabc",那么具体的匹配过程如下:
1.首先求出"abaabc"的next[],依然分三步:
- 匹配值数组为{0,0,1,1,2,0};
- 数组所有元素右移一位,{-1,0,0,1,1,2};
- 所有元素+1,得到=={0,1,1,2,2,3}==
2.从前往后依次遍历字符串,如图所示,累计比较了10次(j=6时失败的那次也算上)

这里能够明显看出KMP算法的优越性,KMP算法第一次遍历到不同之后,能够保持i不动,j直接从3开始继续遍历,剩下了大量时间,如果使用的是暴力匹配算法,那么结果如下图所示

6.树与二叉树
6.1 树
树中结点的最大度数就是树的 度
设树的结点度数之和为 Sum,结点数为 n,那么在一棵树中,有 n=Sum+1
具有n的结点的m叉树的最小高度为 logm ( n(m+1) +1 ) (上取整)
路径长度是树根到每个结点的路径长度总和,不是最大值,所以选A;

度数之和为:4×20+3×10+1×2+10×1=122, 又因为度数之和为结点数-1,所以总结点数为123
那么叶节点的个数为:123-20-10-1-10=82个
6.2 二叉树
(1)几种重要二叉树
完全二叉树:编号为1~n的结点,结点按层次遍历递增排列
二叉排序树AVL:左子树的所有关键字小于根节点,右子树的所有关键字大于根节点,二叉排序树的中序序列是有序的
平衡二叉树:任一结点的左子树和右子树深度之差不超过1
(2)重要性质
- 2度结点=叶子结点数+1 即 n2=n0+1
- 结点总数=度数之和+1
推理:设度数为0,1,2的结点数为 n0,n1,n2,那么有 2×n2+1×n1+0×n0=n0+n1+n2+1
即n2=n0+1
(3)存储结构
数组存储(层次遍历)
链式存储
含有n个节点的二叉链表中,有n+1个空指针域
6.3 二叉树遍历以及线索二叉树
递归算法很简单,这里不多赘述,重点说一下非递归的二叉树遍历算法
前序+中序、后序+中序、层次+中序都可以确定唯一的二叉树,前序+后序无法确定
6.3.1 非递归算法遍历二叉树
简单来说就是 非空即入栈,遇空则出栈
后序非递归有点复杂,原则是先找最左,然后不停找右
// 中序非递归遍历二叉树
void zhongXu(BiTree T){
InitStack(S);
BiTree p=T;
while (p||IsEmpty(S))
{
if (p)
{
Push(S,p);
p=p->lchild;
}
else{
Pop(S,p);
visit(p);
p=p->rchild;
}
}
}
// 前序非递归遍历二叉树
void qianXu(BiTree T){
InitStack(S);
BiTree p=T;
while (p||IsEmpty(S))
{
if (p)
{
visit(p);
Push(S,p);
p=p->lchild;
}
else{
Pop(S,p);
p=p->rchild;
}
}
}
6.3.2 层次遍历
使用队列,在元素出队的时候将元素的所有子节点压入队列中,重复这段步骤,即可得到层次遍历序列
void levelOrder(BiTree T){
InitQueue(Q);
BiTree p;
EnQueue(Q,T);
while(!IsEmpty(Q)){
DeQueue(Q,p);
visit(p);
//元素出队的时候,将元素的子节点压入队列中
if(p->lchild!=NULL) EnQueue(Q,p->lchild);
if(p->rchild!=NULL) EnQueue(Q,p->rchild);
}
}
6.3.3 线索二叉树
其实可以将线索二叉树理解为一个双向链表,其实只需要写出前序/中序/后序序列,然后将空指针相互连接即可
线索二叉树的左指针代表序列的前驱,右指针代表序列的后继
6.4 树和森林
6.4.1 双亲表示法(使用顺序存储)
6.4.2 孩子表示法和孩子兄弟表示法
6.4.3 树、森林转为二叉树
树转二叉树:左为子,右为兄
森林转二叉树:先将每一棵树转成二叉树==,然后用一根线把这些树的树根连接起来==
7.图论
图可以没有边,但不能没有点!!,线性表,树都可以为空,但图不可以为空
7.1 基本概念
(1)连通图,连通分量(无向图)
所谓连通图,即图中有环。一个n个顶点的非连通图最多只有n-1条边,一个n个顶点的连通图最少有n条边(n条边可以构成一个环形)
无向图中,极大连通子图即为连通分量 (保证所有顶点都能互相连接,而且边最多)
(2)强连通图,强连通分量(有向图)
如果在有向图中所有边正好构成一个环,那么这个环就是一个强连通图
极大连通子图和极小连通子图
极大连通子图即连通分量,边数最多的连通
极小连通子图即最小生成树,保持所有顶点连通且边数最少
7.2 图的表示
(1)邻接矩阵
空间复杂度为O(n2)
(2)邻接表
无向图的空间复杂度 O(V+2E) (因为无向图有对称边)
有向图的空间复杂度 O(V+E) (有向图不用考虑对称边)
邻接矩阵判断边是否存在更快,邻接表找邻边更快
(3)十字链表(有向图)
就是在邻接表的基础之上增加两块位置,邻接表中只有每个顶点以自己为起点的链表,十字链表则在其基础上增加一个以自己为终点的链表
邻接表的顶点结点形式:
| data | firstout |
|---|
十字链表的顶点结点形式:
| data | firstin(以data为终点的第一条弧) | firstout(以data为起点的第一条弧) |
|---|
邻接表的弧结点:
| adjvex | nextarc(指向下一个结点) |
|---|
十字链表的弧结点:
| tailvex(弧的起点) | headvex(弧的终点) | 指向终点相同的弧 | 指向起点相同的弧 |
|---|
可以看出,十字连接表只是在邻接表的基础上连接上 同入弧 的结点,使表中 既有相同起点的链表,也有 相同终点的链表
(4)邻接多重表(无向图)
刚才说了,邻接表中无向图的空间复杂度为O(V+2E),因为无向图中有对称边,会占用多余空间
邻接多重表的出现就是为了解决这个问题,在邻接表中,同一条边用两个结点表示,而在邻接多重表中,同一条边只用一个节点
使用邻接多重表,可以大大减少无向图的占用空间
邻接多重表的弧结点形式:
| 起点 | 指向起点相同的弧 | 终点 | 指向终点相同的弧 |
|---|
构建邻接多重表的大致步骤:
- 先把所有边以弧结点的形式写出来;
- 将弧结点中起点相同的边先连上;
- 将弧结点中终点相同的边连上
7.3 图的遍历
即BFS(广度优先搜索)和DFS(深度优先搜索)
(1)BFS
- 使用邻接矩阵的算法复杂度: O(V2)
- 使用邻接表的算法复杂度:O(V+E)
- 空间复杂度:O(V),相当于层次遍历,需要使用队列,队列占用空间,最坏情况下的空间复杂度就是O(V)
(2)DFS
- 使用邻接矩阵的算法复杂度: O(V2)
- 使用邻接表的算法复杂度:O(V+E)
- 空间复杂度:O(V),DFS通过递归实现,要用到递归工作栈,递归工作栈也占用时间,最坏情况下的空间复杂度就是O(V)
- 只有连通图的DFS才能产生生成树,否则产生的就是森林;
由于邻接矩阵对应的树是唯一的,所以邻接矩阵的广度和深度优先生成树都是唯一的;由于邻接表的表示方法不唯一,所以 邻接表的广度优先生成树和深度不唯一
(3)遍历的应用
可以用来判断图的连通性
如果一次无法遍历图的所有顶点,那么说明该图不是连通图,调用BFS或DFS的次数就是该图的连通分量数
7.4 多种算法以及关键路径
(1)最小生成树算法
Prim算法:要用到dist数组,根据点选择最短边
算法复杂度为 O(V2),每个结点都只遍历一次,不过遍历之后还要修改dist[]的值,所以为O(V2)
适合边稠密的图


kruskal算法:用边来选择点,如果形成回路则放弃,反之选用
适合边稀疏的图,算法复杂度为O(ElogE)

(2)最短路径算法
dijkstra算法(一对多)O(V2)
找出某一个点到其他所有点的最短路径,步骤其实和prim算法类似,也是要用到dist数组
每一次都从上次dist最小的点进行遍历,如果有比现在的dist更小的值则更新dist
比如下图,可以分为以下几轮:
- 第一轮:因为是从V1开始的,所以遍历V1的出弧,发现只有(v1,v2)和(v1,v5),那么就更新顶点dist[2]和dist[5]
- 第二轮:第一轮中,最小的dist为dist[5],那么第二轮就遍历V5的所有出弧,发现有(v5,v2)、(v5,v3)、(v5,v4),因为v1->v5->v2的dist小于v1->v2的dist,出现了更小的值,于是就更新
- 第三轮:第二轮中的最小是为dist[4],那么第三轮遍历V3的所有出弧
- 第四轮:上一轮最小为dist[2],遍历V2的所有出弧,如果有更小的值则更新dist

Floyd算法(多对多) O(V3)
(3)拓扑排序和逆拓扑排序
拓扑:每次都选无前驱的结点
逆拓扑:每次都选无后继的结点
使用邻接矩阵的时间复杂度为O(n2),使用邻接表的时间复杂度为O(n+E)
(4)关键路径(必背)
事件的最早发生时间ve() 事件的最迟发生时间vl()
活动的最早开始时间e() 活动的最迟开始时间l()

最后计算l(i)-e(i),l(i)-e(i)=0的即为关键活动,连接这个关键活动的路径就是 关键路径
| i | a1 | a2 | a3 | a4 | a5 | a6 | a7 | a8 |
|---|---|---|---|---|---|---|---|---|
| l(i)-e(i) | 1 | 0 | 1 | 1 | 0 | 3 | 0 | 1 |
所以,关键活动为a2,a5,a7,代入图中寻找关键活动连接的时间,可以发现关键路径为(v1,v3,v4,v6)
8.排序
8.1 快速排序
void quickSort(vector<int>& nums, int left, int right) {
if (left < right) {
int mid = quickSortBetween(nums, left, right);
quickSort(nums, left, mid - 1);
quickSort(nums, mid + 1, right);
}
}
int quickSortBetween(vector<int>& nums, int left, int right) {
// 标记,记录起始点
int pivot = nums[left];
while (left < right) {
while (nums[right] >= pivot && right > left) right--;
// 这里直接赋值,将右边小的值直接搬到左边,别的不用管
nums[left] = nums[right];
while (nums[left] <= pivot && right > left) left++;
nums[right] = nums[left];
}
nums[left] = pivot;
return left;
}
8.2 外部排序
外部排序是专门针对磁盘文件的排序方法,其本质依然是归并排序。
比如本题,对于文件大小非常大的数据文件,主存中是根本就放不下的,只能在磁盘中进行外部排序,也就是归并排序。
(1)归并树
因为外部排序使用的是归并排序,所以初始状态需要用到归并段。磁盘是按照磁盘块进行划分的,比如下图中是16个归并段,那么如果主存有两个磁盘缓冲区的话,一次就能读入两个磁盘块进行排序,那么就能得到8个初始归并段;同理,如果有4个磁盘缓冲区,就是4个初始归并段
得到归并段后,就会按照n路归并依次归并。这里每一次归并都必须把所有的块都读入缓冲区,所以每一趟排序都会把所有的块多读、写各一次
因此,减少归并趟数、缩短内部归并排序的时间是至关重要的。
(2)败者树
归并段的数量增多会引发一个问题,就是每次我们选最小值的时候遍历的次数会变多,如果不采取优化措施,归并的速度会很慢
因此,引入败者树,实际上就相当于一个堆,把每一轮的"失败者"的索引记录在节点中,这样归并一次的速度就能从O(n)变为O(logn)
如上图所示,上图中规定的是找着八个归并段的最小值,因此根节点3代表着最小值a[3]=1;然后其余所有的根节点都表示着当前子树中偏大值的索引,越小的值就越靠近根节点,越大的值就越趋于底端。
(3)置换-选择排序
置换-选择排序的作用是尽可能创建长度更长的初始段,因为初始段个数减少,归并的速度也会加快
这个逻辑比较简单,其实就是利用缓冲区,不断地记录上一个缓冲区的最大值。如果新放入的值比MINIMAX小,那么说明这个新值属于新的归并段,这个新的值就不驻留在缓冲区中,不能再被替换。当缓冲区驻留满的时候,说明上一个归并段已经结束,将缓冲区的数排出并且窗机爱你一个新的归并段。
ppt图中归并段的之后处理过程如下图所示
(4)完美m叉赫夫曼树
这里其实只需要注意一点:如果当前节点个数不足以构造完美二叉树,需要故意添加无效结点来凑
减一原则
假设要利用n个结点创建一个完美m叉赫夫曼树,那么需要进行检验:
// 如果 (n-1)/(m-1)为整数,那么不需要添加 虚节点
// 如果 (n-1)/(m-1)不为整数,那么必须添加 x个结点, 添加个数的计算方式为:
n1 = n + x;
if( (n1-1)/(m-1)=='整数' ) // 添加完成
比如利用13个结点创建一棵完美5叉赫夫曼树,那么计算过程如下:
(13-1)/(5-1)=3,为整数,所以刚好足够,不用添加额外结点
比如利用17个结点创建一个完美6叉赫夫曼树,那么计算过程如下:
(17-1)/(6-1)=3.2,为小数,所以需要添加节点
[3.2]向上取整为4, 4*(6-1)=20,所以需要20个节点才能建树
因此需要添加 20+1-17=4个虚节点
验证:(21-1)/(6-1)=4为整数,所以可以建树,计算正确
1万+

被折叠的 条评论
为什么被折叠?



