文章目录
UN R157是做什么的?
UN R157全称为关于自动车道保持系统(ALKS)车辆认证的统一规定,其中主要是ALKS系统的功能要求及认证流程描述,也是唯一一个L3级型式认证法规。
ALKS系统
“自动车道保持系统(ALKS)”是一种由驾驶员激活的系统,通过控制车辆的横向和纵向运动,可以将速度在130 km/h或以下的车辆保持车道内,无需进一步的驾驶员输入。ALKS系统也可以称为单车道内的L3级自动驾驶
一般要求
1.激活的系统应执行DDT,应管理所有情况,包括故障,并应避免对车辆乘员或任何其他道路使用者造成不合理的风险。
2.激活的系统不得造成任何可合理预见和可预防的碰撞。如果可以安全避免碰撞而不会造成另一次碰撞,则应避免碰撞。
3.ALKS应在激活时响应任何碰撞,该碰撞需要根据国家交通规则做出响应(例如,使车辆静止),并且预计会被合格且谨慎的驾驶员识别。在这种碰撞情况下,在不影响最小风险策略的情况下,应给出接管请求,除非已经给出接管请求。
4.系统应证明与其他道路使用者互动时的预期行为,以确保在紧急情况即将发生时,如行人或车辆切入时,保证稳定、低动态、纵向行为和风险最小化行为。
5.激活的系统应符合国家运行有关DDT的交通规则,包括对应急/执法车辆的响应
6.激活系统应控制支持驾驶员随时恢复手动控制所需的系统(如除雾器、挡风玻璃雨刮器和灯)
7.接管请求不得危及车辆乘员或其他道路使用者的安全。
8.如果驾驶员在接管请求阶段未能恢复对DDT的控制,系统应执行最小风险操纵。在最小风险操纵过程中,系统应将车辆乘员和其他道路使用者的安全风险降至最低。
9.系统应进行自检,以检测故障的发生,并始终确认系统性能(例如,在车辆启动后,系统至少一次检测到与传感要求的检测范围相同或更高距离的物体)
10.系统的有效性不得受到磁场或电场的不利影响。这应通过符合联合国第10号法规05或更高系列修正案来证明
11.制造商应采取措施防止驾驶员合理预见的误用和系统篡改
12.当系统不再满足本法规要求时,应无法激活系统。制造商应声明并实施一个过程,以管理ALKS在系统寿命期间的安全性和持续合规性。
13.如果ALKS可在作为车辆组合运行时激活,则其还应满足本法规关于该车辆组合的要求(例如,车辆尺寸、检测范围、临界距离评估、车辆动力学、交通规则、测试等)。制造商应证明为满足挂车要求而实施的策略,包括如何检测挂车的存在以及如何确保兼容性。
14.如果车辆在ALKS车辆行驶车道上朝相反方向行驶,ALKS应实施策略,以缓解潜在碰撞的影响
动态驾驶任务
本车道内行驶
激活系统应将车辆保持在其行驶车道内,并确保车辆不会无意中穿过任何车道标记(前轮胎外缘至车道标记外缘)。该系统应旨在使车辆在行驶车道内保持稳定的横向和纵向运动,以避免混淆其他道路使用者。
允许越过车道线
在以下情况下,允许启用ALKS并在前部、侧面和后部配备足以评估进入另一车道的危险性的传感系统的车辆故意穿过车道标线:
- 执行LCP变道程序
- 在EM期间进行回避车道交叉
- 为应急车辆和执法车辆形成通道
- 部分进入相邻车道,以绕过部分阻塞车道的障碍物
执行LCP变道程序
1.LCP不得对车辆乘员和其他道路使用者的安全造成不合理的风险。
2.在车道变更过程中,干预不得导致与车辆预测路径上的其他车辆或其他道路使用者发生碰撞。
3.对于其他车辆或其他道路使用者,车道变更程序应是可预测和可管理的。
4.LCP完成不能有过多的延迟
5.系统可根据运行国家的国家交通规则,在常规交通车道和/或硬路肩上进行单车道或多车道变换
6.系统应产生信号以激活和停用方向指示灯信号。在整个LCP期间,方向指示灯应保持激活状态,一旦车道保持功能恢复,系统应及时停用方向指示灯
7.只有满足以下所有条件时,激活系统才能进行LCP:
- 车辆配备有能够满足规定的前、侧和后检测范围要求的传感系统;
- 不存在限制系统安全执行LCP能力的故障;
- 目标车道中允许LCM的足够空闲空间已经可用或预计很快可用。
8.车道变更程序:常规车道变更的附加具体要求,如果满足以下条件,激活的系统应仅启动常规车道变更:
- 换车道是有原因的(例如,在国家交通规则要求换车道的情况下,为了超车行驶速度较慢的车辆,不能在当前车道上继续行驶)。
- 目标车道是常规行驶车道,或临时开放为常规行驶车道的硬路肩。
- LCP预计在ALKS车辆停止之前完成(即,为了避免由于前方交通停止而在两条常规车道中间时停止)。如果ALKS车辆在LCM期间在两条常规车道之间静止不动(例如,由于周围交通),则应在下一个可用的机会完成LCP或返回其原始车道。
9.车道变更程序:MRM期间的额外具体要求
-
只有在给定情况下(例如,交通状况、环境条件、系统故障),才能在MRM期间进行车道变更,这些车道变更可被视为将车辆乘员和其他道路使用者的安全风险降至最低。
-
在启动车道变更程序之前,如果认为合适,系统应降低车速,以将与该车道变更相关的风险降至最低(例如,通过使车辆速度适应目标车道中其他车辆的速度)
-
MRM干预开始后的前3秒内,不得启动车道变更程序,除非为了达到最小风险目标停车区域(例如,当硬路肩在前方结束或发生故障时)或车道变更操作的临界性等于常规车道变更,需要提前启动
10.车道变换操纵(LCM)
- 接近起始车道车道标线的横向移动和完成LCM所需的横向移动应以一次连续移动为目标。在变道操纵过程中,除车道曲率产生的横向加速度外,系统应旨在避免横向加速度超过1m/s2。
- LCP启动和LCM启动之间的持续时间应符合运行国家的交通规则
- 只有当目标车道的相关区域预计在整个操纵过程中保持无人驾驶时,才应启动LCM(例如,第二至下一车道中没有其他车辆预计在冲突轨迹上变换车道)。应根据交通规则优先考虑其他道路使用者
- 如果情况需要,LCM可以在完成之前放弃。在这种情况下,如果交通条件允许,应通过将ALKS车辆转向回起始车道来完成LCM。
- ALKS车辆应在LCM末端的单车道行驶
- 当进行多个连续的车道变换时,方向指示灯可在整个车道变换过程中保持激活,而横向行为应确保每个车道变换操纵可被视为跟随交通的单独操纵。
11.变道操纵:常规变道的额外具体要求
- 系统不应导致与另一辆车辆在冲突轨迹上变道至目标车道发生碰撞
- 应根据方向指示器状态、车辆动态、周围交通等方面,评估另一车辆在冲突轨迹上进入目标车道的可能性
- 如果PVPA中有一个区域,系统无法评估另一车辆上的方向指示器状态,则如果PVPA的该部分中有另一车辆,则不应启动LCM,除了其运动可被评估为不与ALKS车辆的轨迹冲突,以及在汇合车道和驶离车道附近的跟随车辆。在这种情况下,目标车道旁边车道上的接近车辆应视为目标车道上的靠近车辆。
12.车道变换操纵:MRM中的附加具体要求
- MRM期间的车道变更操作应通过激活适当的方向指示灯而不是危险警告灯提前向其他道路使用者指示
- 一旦车道变更操纵完成,方向指示灯应及时停用,危险警告灯应再次激活
- 当将车辆安全停在道路旁或宽度不足以容纳整个车辆的硬路肩上时,车辆可能会在车道标记上停止
13.如果ALKS在车道变换程序中使车辆减速进入常规车道,则在评估从后方接近车辆的距离时,应考虑该减速度,且减速度要求不得超过2m/s2,除非是为了避免或减轻即将发生碰撞的风险,或在需要时确保在MRM期间到达目标停止区域
14.如果在换道程序结束时,后面的车辆没有足够的车头时距时间,则ALKS不得在完成换道程序后至少2秒内增加减速率,除非是为了避免或减轻即将发生碰撞的风险,当需要满足本法规的其他要求时(例如,适应变化的速度限制,保持足够的跟车距离),或确保在MRM期间达到目标停车区域。
在EM期间进行回避车道交叉
1.当迫在眉睫的碰撞风险存在或发生在检测范围内时,ALKS应旨在避免避开车道交叉
2.如果使用避让车道交叉作为紧急操作的一部分,ALKS应确保其对车辆乘员和其他道路使用者的安全性至少与通过制动避免迫在眉睫的碰撞风险一样
3.根据以下段落,如果系统具有足够的信息,说明车辆前方、侧面和后方的周围情况,以评估穿过车道标线的危险性,则车辆只能在迫在眉睫的碰撞风险下通过车道标线
4.当进行避让车道交叉时,系统不应导致与车辆预测路径中的其他车辆或道路使用者发生碰撞
5.只有在避让车道上的另一辆车辆未因操纵而被迫以无法控制的速度减速时,车辆才应进行避让车道交叉
6.一旦需要避开车道交叉的情况过去,车辆应旨在返回其原始行驶车道
7.应根据国家交通规则向其他道路使用者指示回避车道交叉口。在没有更具体的交通规则的情况下,当启动一个拟驶入避让车道超过30cm的避让车道交叉时,系统应通过生成信号激活方向指示器来指示其驶入避使车道的意图。
为应急车辆和执法车辆形成通道
1.如果国家交通规则或其他道路使用者的惯例要求,ALKS仅应离开其当前行驶车道,以形成应急车辆和执法车辆的通道
2.ALKS应确保与道路边界、车辆和其他道路使用者之间有足够的横向和纵向距离
3.一旦需要该通道的情况过去,车辆应完全返回其原始行驶车道
部分进入相邻车道,以绕过部分阻塞车道的障碍物
1.如果由于交通状况或相邻车道不可用等原因,无法从当前行驶车道进行常规车道转换,并且如果这种行为不会增加车辆乘员和其他道路使用者的风险,ALKS只能通过部分进入相邻车道来对障碍物做出响应
2.一旦需要进行此操作的情况过去,车辆应旨在完全返回其原始行驶车道
3.这些操纵不得通过以下方式危及车辆乘员或任何其他道路使用者的安全:
(a)确保与道路边界、其他车辆和其他道路使用者之间有足够的横向和纵向距离;
(b)除车道曲率产生的横向加速度外,还应不超过1.0m/s2的横向加速度;
(c)当穿过车道标志超过1.0 m时,符合下面目标车道的评估
激活系统控制车速
1.制造商应根据系统的正向检测范围宣布规定的最大速度,允许系统运行的最大速度为130 km/h。仅当ALKS能够进行MRM车道变更时,才允许规定的最大速度超过60 km/h
2.激活系统应使车辆速度适应基础设施和环境条件(例如,窄曲线半径、恶劣天气)
3.激活系统应检测与前方跟随车辆的距离,并应调整车速以调整安全跟车距离,以避免碰撞。当ALKS车辆不处于静止状态且在最高60 km/h的速度范围内运行时,系统应调整速度,以根据下表将与同一车道前方车辆的距离调整为等于或大于最小跟车距离。
-
对于60 km/h以上的速度,激活系统应符合运行国家的最小跟随距离
-
对于60 km/h以下的速度,应使用以下公式计算最小距离:
dmin = vALKS* tfront
其中:
dmin为最小跟车距离
vALKS为ALKS车辆的当前速度,单位为m/s
tfront为ALKS车辆与前方领先车辆之间的最小时间间隔(秒),如下表所示:

对于表中未提及的60 km/h以下的速度值,应采用线性插值;
尽管上述公式的结果,对于当前速度低于2m/s的情况,M1、N1的最小跟车距离不得小于2m,M2、M3、N2、N3的最小跟车距离不得小于2.4m
4.如果与前面车辆的跟车距离暂时中断(例如车辆切入、减速领先车辆等),车辆应在下一个可用机会重新调整跟车距离,而无需实施旨在解决显著串不稳定性的策略,以不中断交通流,除非需要紧急机动。
跟车停止
激活的系统应能够使车辆完全停在静止车辆、静止道路使用者或堵塞的行驶车道后面,以避免碰撞。应确保达到系统的最大运行速度
前车减速、切入、切出
1.激活的系统应检测因跟随车辆减速、切入车辆或突然出现的障碍物而与车辆前方或旁边的另一道路使用者发生碰撞的风险,并应自动执行适当的操纵,以最大限度地降低车辆乘员和其他道路使用者的安全风险
2.激活的系统应避免与跟随车辆碰撞,该车辆减速至其完全制动性能,前提是ALKS车辆不会因该跟随车辆的切入操纵而在当前速度下调整到跟随车辆的最小跟车距离
3.激活系统应避免与切入车辆碰撞:
- 前提是切入车辆保持其纵向速度低于ALKS车辆的纵向速度,以及
- 如果在达到TTCLaneIntrusion的参考点之前,切入车的横向运动至少在0.72秒的时间内是可见的
- 当车辆前部和车辆后部切口之间的距离对应于通过以下等式计算的TTC时:

其中:
Vrel=两辆车之间的相对速度,如果车辆比切入车辆快,则为正
TTCLaneIntrusion=TTC值,当最接近车道标记的入侵车辆前轮轮胎外侧越过入侵车辆正漂移的可见车道标记外侧边缘0.3 m的线时
4.激活的系统应避免与车辆前方的无障碍行人发生碰撞
- 在横向速度分量不超过5 km/h的无障碍人行横道的情况下,与车辆纵向中心平面相比,预期碰撞点的位移不超过0.2 m,激活的ALKS应避免60 km/h以下的碰撞。
- 在更高的速度下,当检测到行人穿过车道时,ALKS应实施减少碰撞可能性的策略
目标车道评估
只有在目标车道上的接近车辆未因ALKS车辆的车道变化而被迫不合理减速时,才应启动LCP。
常规车道变化的目标车道评估
-
当有接近车辆时
ALKS车辆的目标不应是使目标车道上的接近车辆减速,尤其是在车道变更不紧急的情况下(例如,为了超车速度较慢的车辆)。但是,如果由于交通状况需要,在没有更具体的交通规则的情况下,ALKS车辆不得在ALKS车辆启动后B秒,使目标车道上的接近车辆以高于Am/s²的减速度减速,以确保两辆车辆之间的距离不小于ALKS车辆在C秒内行驶的距离。
其中:
(a)a等于3.0 m/s2
(b)b等于:
(i)LCM启动后0.4秒,在LCM启动前至少1.0秒的横向移动过程中,提供由ALKS车辆检测的接近车辆的全宽
(ii)LCM启动后1.4秒。
(c)c等于1.0秒。 -
当未检测到车辆时
如果系统在目标车道内未检测到接近车辆,则应计算评估,假设:
(a)目标车道中的接近车辆与ALKS车辆的距离等于实际向后检测范围;
(b)目标车道上的接近车辆以允许的最大速度+30km/h或160km/h行驶,以较低者为准;和
(c)ALKS车辆在至少1秒的横向移动过程中检测到接近车辆的全宽。 -
当有同样快或慢的移动车辆时
在LCM开始时,ALKS车辆后部与目标车道中以相同或更低纵向速度跟车的车辆前部之间的距离不得小于目标车道中跟车在1.0秒内行驶的距离。
MRM车道变更的目标车道评估
-
当有接近车辆时
在没有更具体的交通规则的情况下,ALKS车辆的目标应是在ALKS车辆开始变道操纵后B秒,使目标车道上的接近车辆减速至高于Am/s²的水平,以确保两辆车辆之间的距离不小于ALKS车辆在C秒内行驶的距离。
其中:
(a)a等于3.7 m/s2
(b)b等于:
(i)0.0秒,如果ALKS车辆的横向移动持续至少1秒,而车辆尚未穿过车道标记,并且方向指示器在穿过车道标记之前已激活至少3.0秒;同时传感系统检测到从后方接近的车辆的全宽;
(ii)LCM启动后0.4秒,前提是ALKS车辆在LCM启动前至少1.0秒的横向移动过程中检测到接近车辆的全宽;或
(iii)LCM启动后1.4秒。
(c)c等于:
(i)0.5秒,如果车道改变是朝着慢行车道或硬路肩进行的;或
(ii)对于所有其他条件,1.0秒。 -
当未检测到车辆时
如果系统在目标车道内未检测到接近车辆,则应计算评估,假设:
(a)目标车道中的接近车辆与ALKS车辆的距离等于实际向后检测范围;
(b)目标车道中的接近车辆以允许的最大速度+30km/h或160km/h(以较低者为准)行驶,或者如果目标车道是硬路肩,接近车辆以80 km/h的速度行驶,或在LCM开始时与ALKS车辆的速度差为40 km/h,以较低的速度为准;和
(c)ALKS车辆在至少1秒的横向移动过程中检测到接近车辆的全宽。 -
当有同样快或慢的移动车辆时
在LCM开始时,ALKS车辆后部与目标车道中以相同或较低纵向速度跟随的车辆前部之间的距离不得小于目标车道中跟随车辆在0.7秒内行驶的距离。
紧急策略
1.发生迫在眉睫的碰撞风险时,应执行紧急策略
2.任何超过系统5.0 m/s²的纵向减速需求应视为紧急策略
3.必要时,该策略应将车辆减速至其完全制动性能,和/或在适当时可执行自动回避操纵。如果故障影响系统的制动或转向性能,则应在考虑剩余性能的情况下进行操纵。在规避操纵过程中,ALKS车辆不得穿过车道标记(前轮胎外缘至车道标记外缘),除非系统能够满足LCP的要求。规避操纵后,车辆应以恢复稳定运动为目标。
4.除非迫在眉睫的碰撞风险消失,或驾驶员停用系统,否则不得终止紧急策略。紧急操纵结束后,系统应继续运行;如果紧急策略导致车辆处于静止状态,则应发出激活危险警告灯的信号。如果车辆再次自动驶离,则应自动生成停用危险警告灯的信号
5.避让车道交叉:
-
当迫在眉睫的碰撞风险存在或发生检测范围内时,ALKS应旨在避免避开车道交叉
-
如果使用避让车道交叉作为紧急操作的一部分,ALKS应确保其对车辆乘员和其他道路使用者的安全性至少与通过制动避免迫在眉睫的碰撞风险一样
-
根据以下段落,如果系统具有足够的信息,说明车辆前方、侧面和后方的周围情况,以评估穿过车道标线的危险性,则车辆只能在迫在眉睫的碰撞风险下通过车道标线
-
当进行避让车道交叉时,系统不应导致与车辆预测路径中的其他车辆或道路使用者发生碰撞
-
只有在避让车道上的另一辆车辆未因操纵而被迫以无法控制的速度减速时,车辆才应进行避让车道交叉
-
一旦需要避开车道交叉的情况过去,车辆应旨在返回其原始行驶车道
-
应根据国家交通规则向其他道路使用者指示回避车道交叉口。在没有更具体的交通规则的情况下,当启动一个拟驶入避让车道超过30cm的避让车道交叉时,系统应通过生成信号激活方向指示器来指示其驶入避使车道的意图。
过渡需求和过渡阶段的系统运行
1.激活系统应识别所有需要将控制转换回驾驶员的情况,车辆制造商应声明车辆将向驾驶员产生过渡需求的情况类型
2.过渡需求的启动应为安全过渡到手动驾驶提供足够的时间
3.如果计划的事件将阻止ALKS继续运行,则应尽早给出过渡要求,以确保在驾驶员无法恢复控制的情况下,在计划的事件发生之前,将车辆停止的风险最小
4.如果发生非计划事件,应在检测时发出过渡要求
5.如果任何故障影响系统满足本法规要求的能力,系统应在检测到后立即启动过渡需求
6.如果ALKS能够执行常规车道变更,则应旨在确保常规车道变更不是过渡阶段的一部分,这意味着当程序期间已知发生过渡需求时,不得启动LCP。
7.在过渡阶段,系统应继续运行。系统可降低车辆速度,以确保其安全运行,但不得使其停止,除非情况需要(例如,由于车辆或障碍物阻碍车辆路径),或由触觉警告引起,以低于20 km/h的速度启动。
8.一旦处于静止状态,车辆可保持这种状态,并应在5秒内发出信号,激活危险警告灯
9.在过渡阶段,过渡需求最迟应在过渡需求开始后4秒后升级
10.只有在系统停用或启动最低风险操作后,才能终止过渡需求
11.如果驾驶员未通过停用系统对过渡要求作出响应,则应在过渡要求开始后最早10秒开始最低风险操纵
12.在严重ALKS或严重车辆故障的情况下,可立即启动最小风险操纵。如果发生严重的ALKS或车辆故障,ALKS可能不再能够满足本法规的要求,但其目的应是使控制安全过渡回驾驶员
13.制造商应声明导致ALKS立即启动MRM的严重车辆故障和严重ALK故障的类型
最小风险策略
1.最小风险策略应使车辆停止,除非驾驶员在操纵期间停用系统
2.这应位于目标停车区,该停车区被视为在给定情况下(如交通状况、环境条件、系统故障)可实现的最大风险最小化,如果需要改变车道以到达目标停车区则按照LCP执行并且ALKS能够执行MRM车道变换。否则,在其当前车道内,或在车道标线不可见的情况下,遵循适当的轨迹,考虑周围交通和道路基础设施。
3.在最小风险操纵过程中,车辆应减速,以达到不大于4.0 m/s²的减速要求。允许在非常短的时间内使用更高的减速需求值,例如作为触觉警告,以刺激驾驶员的注意力,或者在严重ALKS或严重车辆故障的情况下。此外,启动危险警告灯的信号应在最小风险操纵开始时产生,但在LCP期间暂停。
4.只有当系统停用或系统使车辆停止时,才应终止最低风险策略
5.系统应在任何最小风险操策略结束时停用。
6.除非手动停用,否则危险警告灯应保持激活状态,并且在没有手动输入的情况下,车辆静止后不得移动
7.在任何最小风险策略结束后,系统的重新激活只能在每个新的发动机启动/运行循环后进行。
人机界面
驾驶员可用性识别系统
1.系统应包括驾驶员可用性识别系统:
驾驶员可用性识别系统应检测驾驶员是否处于驾驶位置,驾驶员的安全带是否系紧,以及驾驶员是否可以接管驾驶任务
2.驾驶员在场:
如果满足以下任何条件,应启动过渡要求:
(a)当检测到驾驶员不在座椅上超过1秒时;或
(b)当驾驶员安全带未扣上时。
可以使用根据UN-R16的安全带提醒器的第二级警告来代替过渡需求的声音警告。
3.驾驶员可用性:
系统应检测驾驶员是否可用并处于适当的驾驶位置,以通过监控驾驶员来响应过渡需求。制造商应向技术服务部门证明车辆有能力检测驾驶员是否可以接管驾驶任务,并使其满足。
——判断驾驶员可用性的标准
- 驾驶员应被视为不可用,除非至少两个可用性标准(例如,驾驶员专用车辆控制输入、眨眼、闭眼、有意识的头部或身体移动)已单独确定驾驶员在过去30秒内可用
- 在任何时候,系统可能认为驾驶员不可用
- 一旦驾驶员被视为不可用,或可监控的可用性标准少于两个,系统应立即提供独特的警告,直到检测到驾驶员的适当动作或启动过渡需求。如果该警告持续15秒,则最迟启动过渡要求。
- 制造商应提供书面证据,说明可用性标准的数量和组合,特别是与相应时间间隔有关的可用性标准。但是,任何可用性标准所需的时间间隔不得超过30秒

- 激活ALKS后,通过车载显示器的“驾驶以外的其他活动”应自动暂停
(i)一旦系统发出过渡需求,或
(ii)一旦系统停用,以先到者为准
激活、停用和驾驶员输入
1.车辆应配备专用装置,供驾驶员激活(激活模式)和停用(关闭模式)系统。当ALKS激活时,驾驶员应能永久看到停用ALKS的方法
2.在每个新的发动机启动/运行循环开始时,系统的默认状态应为关闭模式。当自动执行新的发动机启动/运行循环时,例如通过停止/启动系统的运行,该要求不适用。
3.只有在驾驶员故意采取行动且满足以下所有条件时,系统才应激活:
(a)驾驶员坐在驾驶员座椅上,并系好驾驶员安全带;
(b)驾驶员可接管DDT的控制;
(c)不存在影响ALKS的安全操作或功能的故障;
(d)DSSAD可运行;
(e)环境和基础设施条件允许进行工作;
(f)系统自检的肯定确认;
(g)车辆行驶在禁止行人和骑自行车的道路上,并且根据设计,该道路配备了一个物理分隔带,以分隔在相反方向行驶的交通。
如果上述任何条件不再满足,系统应立即启动过渡需求,除非本法规另有规定
4.应能够通过驾驶员的有意操作手动停用(关闭模式),使用与激活系统相同的方法。停用方式应提供防止意外手动停用的保护,例如,通过要求单个输入超过某个时间阈值或双按,或两个单独但同时的输入。此外,应确保驾驶员在停用时处于车辆的横向控制,例如,将停用装置置于转向控制装置上,或确认驾驶员持有转向控制装置。
5.驾驶员可通过以下方式进行退出:
- 通过输入驱动控制装置停用
当至少满足以下条件之一时,系统应停用:
(a)驾驶员在保持转向控制时通过转向来超越系统,且该超越未被抑制;
(b)驾驶员保持转向控制并通过制动或加速超越系统; - 正在进行的过渡需求或正在进行的最小风险策略期间的停用
如果过渡需求或最小风险策略正在进行,则系统应仅在以下情况下停用:
(a)适用<<通过输入驱动控制装置停用>>条件
(b)在检测到驾驶员已将转向控制作为对过渡要求或最小风险策略的响应,且系统确认驾驶员注意到第6.3.1.1.段中定义的情况下 - 在进行中的紧急策略期间停用
如果正在进行紧急操作,系统的停用可能会延迟,直到即将发生的碰撞风险消失 - 车辆严重故障或ALKS严重故障时停用
在严重车辆故障或严重ALKS故障的情况下,ALKS可采用不同的停用策略
6.系统停用时,不得自动转换到任何功能,该功能提供车辆的连续纵向和/或横向运动(例如B1类功能的ACSF)。停用后,校正转向功能(CSF)可以激活,目的是通过逐渐减少横向支持使驾驶员习惯于执行横向控制任务
7.在紧急碰撞情况下提供纵向或横向支持的任何其他安全系统(例如,高级紧急制动系统(AEBS)、电子稳定控制系统(ESC)、制动辅助系统(BAS)或紧急转向功能(ESF))在ALKS停用时不得停用
驾驶员Override
1.当输入超过设计用于防止意外超越的合理阈值时,驾驶员对转向控制的输入应超越系统的横向控制功能
2.该阈值应包括规定的力和持续时间,并应根据参数变化,该参数包括驾驶员输入期间检查驾驶员注意力的标准
3.系统应检测驾驶员是否注意。当至少满足以下标准之一时,驾驶员被视为注意力集中:
(a)驾驶员注视方向被确认为主要注视前方道路;
(b)驾驶员注视方向被确认为正看着后视镜;或
(c)驾驶员头部移动被确认为主要朝向驾驶任务。
4.驾驶员对制动控制的输入导致比系统引起的减速更高的减速,或通过任何制动系统使车辆保持静止,应优先于系统的纵向控制功能
5…驾驶员对加速器控制的输入可超越系统的纵向控制功能。然而,此类输入不得导致系统不再满足本法规的要求
6.当输入超过旨在防止意外输入的合理阈值时,任何驾驶员对加速器或制动器控制的输入应立即启动过渡要求。
7.当输入超过设计用于防止意外激活的合理阈值时,驾驶员激活方向指示灯应启动过渡要求
8.如果系统检测到驾驶员输入导致的即将发生的碰撞风险,则系统可减少或抑制驾驶员输入对任何控制的影响
9.在严重车辆故障或严重ALKS故障的情况下,ALKS可采用不同的系统超控策略。制造商应声明这些不同的策略,技术服务部门应评估其有效性,以确保控制从系统安全过渡到驾驶员
向驾驶员提供的信息
1.应向驾驶员指示以下信息:
(a)系统状态
(b)影响系统满足本法规要求的能力的任何故障,除非系统停用(关闭模式),
(c)通过至少一个光学和另外一个声学和/或触觉警告信号的转换需求。
最迟在过渡需求启动后4 s,过渡需求应:
(i)包含持续或间歇性触觉警告,除非车辆处于静止状态;和
(ii)升级并保持升级,直到过渡需求结束。
(d)通过至少一个光学信号和另外一个声学和/或触觉警告信号实现最小风险策略,以及
(e)光信号紧急策略
(f)如果ALKS能够执行LCP,则至少通过光信号执行LCP。
上述光信号的大小和对比度应足够。上述声音信号应响亮清晰
2.系统状态
- 系统不可用指示
如果由于系统不可用,系统拒绝在驾驶员故意动作后激活系统,则至少应向驾驶员显示该信息 - 激活时的系统状态显示
激活后,系统状态(激活模式)应通过专用光信号显示给驾驶员。光信号应包含明确的指示,包括:
(a)根据联合国第121号法规,带有附加“a”或“自动”或标准化符号的转向控制装置或车辆,以及
(b)外围视野中的一个易于感知的指示,位于车辆前方驾驶员直接视线附近,例如仪表盘或转向控制装置上的突出指示,覆盖面向驾驶员的部分外缘周边。
光学信号应指示激活系统状态,直到系统停用(关闭模式)
当系统正常运行时,光信号应保持恒定,并且随着过渡需求的启动,至少根据(b)的指示应改变其特性,如间歇性信号或不同颜色
当使用间歇信号时,应使用低频率,以避免不合理地提醒驾驶员
在过渡阶段和最小风险策略过程中,指示可替换为接管手动控制的指示。 - 停用时的系统状态显示
停用后,当系统状态从激活模式变为关闭模式时,应至少通过光学警告信号向驾驶员指示。该光信号应通过不显示用于指示激活模式的光信号或不显示接管手动控制的指令来实现。
此外,应提供声报警信号,除非系统在包含声信号的过渡需求后停用
3.过渡阶段和最小风险策略
在过渡阶段和MRM期间,系统应以直观和明确的方式指示驾驶员接管车辆的手动控制。该说明应包括显示手和转向控制装置的图形信息,并可附有附加说明文字或警告符号,如下例所示。

随着最小风险策略的开始,给定信号应改变其特性,以强调驾驶员行动的紧迫性。e、g.通过转向控制装置的红色闪烁和图形信息的移动指针
4.ALKS警告的优先级
在过渡阶段,ALKS、MRM或EM的警告可能优先于车辆中的其他警告
目标和事件检测与响应(OEDR)
传感要求
1.ALKS车辆应配备传感系统,以便至少能够确定驾驶环境(如前方道路几何结构、车道标记)和交通动态:
(a)在其自身车道的全宽范围内,其左侧和右侧紧邻的车道的全宽度,直至前向检测范围的极限;
(b)沿着车辆的整个长度并且直到横向检测范围的极限。
2.ALKS应实施策略,以检测并补偿降低检测范围的环境条件,例如,防止启用系统、禁用系统并将控制权转移回驾驶员,以及在能见度过低时降低速度
3.车辆制造商应提供证据,证明在整个系统寿命期间,磨损和老化的影响不会使传感系统的性能降低到规定的最低要求值以下
4.如果ALKS可在车辆组合中运行,制造商应在型式认证时向技术服务部门证明所实施的策略,以确保传感能力始终足以满足所连接挂车的长度
5.无故障的单一感知故障不应引发危险事件。车辆制造商应描述实施的设计策略
前向探测范围
制造商应声明从车辆最前点测量的前向检测范围。规定的最大速度为60 km/h时,该声明值应至少为46米
如果规定的前向检测范围满足下表中基于5m/s²减速度的相应最小值,则制造仅声明高于60 km/h的规定最大速度:

对于表中未提及的值,应采用线性插值。
系统应实施控制策略,根据实际检测范围和实际减速能力调整其最大速度
横向探测范围
如果ALKS能够执行LCP,则本段的要求还适用于系统。前向探测范围应足以覆盖从ALKS车辆中心线到ALKS执行LCP的一侧至少9m的区域。
制造商应声明横向检测范围。声明范围应足以覆盖车辆左侧车道和右侧车道的全宽。
后向探测范围
如果ALKS能够执行LCP,则本段的要求适用于系统。制造商应声明从车辆最后点测量的向后检测范围。该声明范围应足以覆盖从ALKS车辆中心线到ALKS执行LCP的一侧至少9m的区域
方向指示器状态检测区域
制造商应声明PVPA内系统能够评估其他车辆方向指示器状态的区域(如有)。这应说明在系统运行国家的PVPA中正常运行的车辆上的不同方向指示器位置。
数据存储系统
配置
配备ALKS(系统)的每辆车辆应配备符合以下规定要求的DSSAD。本条例不影响国家和地区有关数据访问、隐私和数据保护的法律
记录事件
配备DSSAD的每辆车辆应至少记录系统激活后发生的以下事件:
(a)系统的激活
(b)由于以下原因导致系统停用:
(i)驾驶员使用专用装置停用系统;
(ii)转向控制的超控;
(iii)在保持转向控制的同时通过加速器控制进行超越;
(iv)在保持转向控制的同时,通过制动控制进行超控。
(c)系统的过渡需求,原因如下:
(i)计划的活动;
(ii)非计划事件;
(iii)驾驶员不可用;
(iv)驾驶员不在场或未系扣件;
(v)系统故障;
(vi)制动输入的系统超控;
(vii)加速器输入的系统超驰。
(viii)手动激活方向指示灯
(d)减少或抑制驱动器输入;
(e)启动紧急操作;
(f)紧急操作结束;
(g)事件数据记录器(EDR)触发输入;
(h)涉及检测到的碰撞;
(i)系统的最小风险操纵参与;
(j)严重ALKS故障;
(k)严重的车辆故障。
(l)开始变道程序;
(m)车道变更程序结束。
(n)车道变更程序中止;
(o)有意穿越车道开始;
(p)有意穿越车道结束。
第(l)、(m)、(o)和(p)段的事件标志仅在以下事件发生前30秒内发生时才需要存储:
(a)启动紧急操作;
(b)涉及检测到的碰撞;
(c)车道变更程序中止;或
(d)EDR触发器输入。
只有在系统超控前5秒内发生,才需要存储第(l)段的发生标志。
数据元素
DSSAD应至少以清晰可识别的方式记录以下数据元素:
(a)记录事件中列出的发生标志;
(b)发生原因(如适用);
(c)日期(决议:年月日);
(d)时间戳:
(i)分辨率:hh/mm/ss时区,例如12:59:59 UTC;
(ii)准确度:+/-1.0秒。
对于列出的每个事件,ALKS的R157SWN或与ALKS相关的软件版本,表明事件发生时存在的软件,应清晰可识别。
对于在特定数据元素的时间分辨率内同时记录的多个元素,可以允许单个时间戳。如果使用相同的时间戳记录了多个元素,则来自单个元素的信息应指示时间顺序
数据可用性
1.应根据国家和地区法律的要求提供DSSAD数据
2.一旦达到DSSAD的存储限制,现有数据仅应按照先进先出程序覆盖,并遵守数据可用性的相关要求。车辆制造商应提供有关存储容量的书面证据
3.数据的可检索性:
- 对于M1类和N1类车辆,即使在联合国第94、95或137号法规(如适用)设定的严重性水平的影响后,数据元素也应可检索。
- 对于M2、M3、N2和N3类车辆,数据元素应可在碰撞后检索。为了证明这种能力,以下适用:
(a)在适用于车载数据存储设备(如有)的机械冲击后,按照联合国第100号法规03系列修正本附件9C中规定的部件试验的严重程度,以及
(b)车载数据存储设备应安装在车辆驾驶室/乘客舱内,或安装在具有足够结构完整性的位置,以防止可能妨碍数据检索的物理损坏。
(c)制造商证明满足M1/N1的要求(例如,对于源自M1/N1的M2/N2车辆)。 - 如果主车载电源不可用,仍应能够根据国家和地区法律的要求检索DSSAD上记录的所有数据。
- 通过使用电子通信接口,至少通过标准接口(OBD端口),DSSAD中存储的数据应易于以标准化方式读取
- 结合EDR数据进行检索
——对于根据联合国第160号法规安装EDR的车辆,应能够通过标准接口(OBD端口)检索DSSAD数据元素,该数据元素在最后一次设置“事件数据记录器(EDR)触发输入”之前至少记录30秒,与联合国第160号条例附件4(EDR数据)中规定的数据元素一起
——如果没有任何事件,在最后设置事件标志“事件数据记录器(EDR)触发输入”之前的最后30秒内,至少应能够在EDR数据旁边检索与同一功率循环内的最后事件对应的数据元素
——如果国家或地区法律要求,检索的数据元素不应包括日期和时间戳或任何其他允许识别车辆、其用户或车主的信息。相反,时间戳应替换为表示发生标志“事件数据记录器(EDR)触发输入”与相应DSSAD数据元素的发生标志之间的时间差的信息。 - 应提供制造商关于如何访问数据的说明
防止操纵
应确保对存储数据的操纵(如数据擦除)有足够的保护,如防篡改设计
DSSAD运行的可用性
DSSAD应能够与系统通信,以通知DSSAD可运行
ALKS性能模型
ALKS的交通关键场景分为可预防和不可预防的场景。可预防/不可预防的阈值基于合格和谨慎的驾驶员的模拟性能。据预计,按照人类标准,某些“不可预防”的情况实际上可以通过ALKS系统预防。
性能模型一
在第一性能模型中,假设驾驶员模型的避让能力仅通过制动。驾驶员模型分为以下三个部分:“感知”;“决定”;和“反应”。下图为可视化部分:

为了确定自动车道保持系统(ALKS)应避免碰撞的条件,下表中这三个路段的性能模型系数应被用作ALKS的性能模型,考虑到ADAS中注意力集中的驾驶员行为

三种ALKS场景的驾驶员模型
-
切入场景
车辆通常在车道内的横向游荡距离为0.375m
当车辆超过正常横向游荡距离时(可能在实际换车道之前),会出现切入的感知边界
距离a.是基于感知时间[a]的感知距离。它定义了感知车辆正在执行切入操纵所需的横向距离。a.由以下公式获得:
a=横向移动速度x风险感知时间[a](0.4秒)
当领先车辆超过切入边界阈值时,风险感知时间开始。
2S被指定为最大碰撞时间(TTC),低于该时间,则认为纵向存在碰撞危险

-
切出场景
车辆通常在车道内的横向游荡距离为0.375m
当车辆超过正常横向游荡距离时(可能在实际变道之前),会出现感知的中断边界
风险感知时间[a]为0.4秒,并在领先车辆超过截止边界阈值时开始
2秒的时间被指定为得出纵向存在危险的最大时距(THW)

-
减速
风险感知时间[a]为0.4秒。当领先车辆超过减速阈值5m/s2时,风险感知时间[a]开始

参数

参数可视化

参考数据
-
切入

数据表概览:

单个数据表详情:



-
切出
在THW=2s的运行条件下,可以避免所有切出车辆之前的减速(停止)车辆

数据表:

-
减速
在THW=2S的跟随驾驶场景下,可以避免-1.0g的突然减速

数据表:

性能模型二
在第二个性能模型中,假设驾驶员可以预测碰撞风险,并应用比例制动。在这种情况下,性能模型考虑以下三个动作:“横向安全检查”;“纵向安全检查”;和“反应”。只有在横向和纵向安全检查确定即将发生碰撞的风险时,才实施反应
-
切入

——横向安全检查
如果以下条件成立,横向安全检查可识别潜在碰撞风险:
(a)“切入车辆”的后部沿纵向运动方向位于ALKS车辆前部的前面;
(b)“切入车辆”正在向ALKS车辆移动
(c)ALKS车辆的纵向速度大于“切入车辆”的纵向速度
(d)满足以下等式:

distlat是两辆车之间的瞬时横向距离
distlon是两辆车之间的瞬时纵向距离
lengthego是ALKS车辆的长度
lengthcut-in是“切入车辆”的长度
ucut-in,lat是“切入车辆”的瞬时横向速度
uego,lon是ALKS车辆的瞬时纵向速度
ucut-in,lon是“切入车辆“的瞬时纵向速度
——纵向安全检查
纵向安全检查需要评估两个模糊替代安全度量,即主动模糊替代安全性度量(PFS)和临界模糊替代安全度度量(CFS)
(1)PFS由以下等式定义:

(2)CFS由以下等式定义:

如果PFS或CFS大于0,纵向安全检查可识别潜在风险
——计划和实施反应
如果识别出风险,则假设ALKS车辆根据以下等式通过减速来计划和实施反应

当它开始以等于最大急动的恒定速率增加时,减速时间等于T
如果反应不能防止车辆与切入车辆碰撞,则该场景被归类为不可预防,否则被归类为可预防。 -
切出
在切出的情况下,模型遵循切入场景中相同的流程图。相比于切入场景,有三个变化:
(a)忽略横向安全检查,因为ALKS车辆和静态物体已经在同一车道上。
(b)纵向安全检查按照切入场景进行评估,计算静态物体的状态参数,而不是切入车辆。
(c)假设ALKS车辆无法在切出车辆中心位于离车道中心0.375 m的游荡区之外之前开始反应时间。 -
减速
在前车突然减速的情况下,模型遵循切入场景中相同的流程图。相比于切入场景,有两个变化:
(a)忽略横向安全检查,因为ALKS车辆和前面车辆已经在同一车道上。
(b)纵向安全检查按照切入场景进行评估,并为前车而不是切入车计算状态参数。
为了确定ALKS车辆应避免碰撞的条件,应使用以下性能模型系数

ALKS性能测试
车道保持
试验应证明ALKS不会离开车道,并在其系统边界内的速度范围和不同曲率范围内,保持其本车道内的稳定运动。试验应至少在以下情况下进行:
(a)最小测试持续时间为:
(i)对于运行速度限制为60 km/h的系统,5分钟;和
(ii)足够的长度,以便评估运行速度超过60 km/h的系统的车道保持行为。
(b)以乘用车目标和PTW目标作为引导车辆/其他车辆;
(c)一辆领先车辆在车道上转弯;和
(d)另一辆车在相邻车道上靠近行驶。
避免与道路使用者或堵塞车道的物体碰撞
试验应证明ALKS避免与静止车辆、道路使用者或完全或部分阻塞车道碰撞,直至系统的最大规定速度。本试验应至少在以下情况下进行:
(a)和静止客车目标;
(b)和静止动力两轮车目标;
(c)和静止行人目标;
(d)当ALKS车辆速度达到60km/h时,行人目标以5km/h的速度穿过车道;
(e)其中目标表示阻塞车道;
(f)目标部分位于车道内;
(g)多个连续障碍物阻塞车道(例如,按照以下顺序:ALKS车辆-PTW-车辆);
(h)在道路的弯曲部分。
跟随领先车辆
试验应证明ALKS能够保持和恢复与前方车辆的所需安全距离,并能够避免与减速至最大减速度的领先车辆发生碰撞。本试验应至少在以下情况下进行:
(a)在ALKS的整个速度范围内
(b)使用乘用车目标和PTW目标作为主导车辆,前提是适用于安全执行试验的标准化PTW目标可用
(c)对于恒定和变化的领先车辆速度(例如,遵循现有驾驶数据库中的实际速度曲线)
(d)对于道路的直线和曲线路段
(e)对于车道中领先车辆的不同横向位置
(f)领先车辆的减速度至少为6 m/s2时,表示完全产生的减速度,直至停止。
切入车辆
试验应证明ALKS能够避免与切入ALKS车辆车道的车辆发生碰撞,直至达到规定的切入策略的某一临界状态。
切入策略的临界性应根据TTC、切入车辆最后面点和ALKS车辆最前面点之间的纵向距离、切入车辆的横向速度和切入车辆的纵向运动确定。本试验应至少在以下条件下进行:
(a)切入策略的不同TTC、距离和相对速度值,包括可避免碰撞和无法避免碰撞的切入场景类型;
(b)切入以恒定纵向速度行驶的车辆,加速和减速;
(c)切入车辆的不同横向速度、横向加速度;
(d)乘用车以及作为切入车辆的PTW目标,前提是适用于安全执行试验的标准化PTW目标可用。
领先车辆换车道后的静止障碍物
试验应证明ALKS能够避免与静止车辆、道路使用者或堵塞车道发生碰撞,该车道在前车通过规避操纵避免碰撞后变得可见。试验应至少在以下条件下进行:
(a)以车道为中心的静止客车目标;
(b)以车道为中心的静止动力两轮车目标;
(c)以车道为中心的静止行人目标;
(d)表示以车道为中心的阻塞车道的目标;
(e)多个连续障碍物阻塞车道(例如,按照以下顺序:ALKS车辆–换车道车辆–PTW–车辆)
视野测试
试验应证明ALKS能够检测到前方检测区域内的另一个道路使用者,直至所声明的前方检测范围,以及侧面检测区域内至少相邻车道全宽范围内的车辆。如果ALKS能够进行车道变更,则还应证明ALKS能够在声明的前、侧和后检测范围内检测到另一辆车辆,如果适用,方向指示器状态检测区域内另一车辆的方向指示器状态
正向探测范围
应至少在以下情况下执行正向检测范围试验:
(a)接近位于每个相邻车道外边缘的PTW目标;
(b)接近位于每个相邻车道外边缘的静止行人目标;
(c)接近位于本车道内的静止PTW目标;
(d)接近位于本车道内的静止行人目标
如果ALK能够执行LCP,则应至少在接近位于ALKS执行LCP的一侧9m处的PTW目标时执行前向探测范围的测试,从ALKS车辆的中心线测量。
横向检测范围
横向检测范围的试验应至少在以下情况下进行:
(a)PTW目标从左相邻车道接近ALKS车辆;
(b)PTW目标从右侧相邻车道接近ALKS车辆。
如果ALKS能够执行LCP,则横向检测范围的试验应至少在以下情况下进行:
(a)从ALKS车辆的中心线测量的接近ALKS车辆左侧9m的PTW目标;
(b)从ALKS车辆的中心线测量的接近ALKS车辆右侧9m的PTW目标。
后向探测范围
如果ALK能够执行LCP,则后部检测范围的试验应至少在以下情况下进行:
(a)从ALKS车辆中心线测量的ALKS车辆左侧9m区域内从后方接近ALKS的PTW;
(b)从ALKS车辆中心线测量的ALKS车辆右侧9m区域内从后方接近ALKS的PTW。
方向指示器状态检测区域
本段规定适用于具有检测另一车辆方向指示器状态能力的ALKS。方向指示器检测区域的测试应至少在以下情况下进行:
(a)在本法规中规定的PVPA区域内随机定位的车辆方向指示器的激活;
(b)不同类型的车辆,包括乘用车和PTW。
变道
仅当ALK能够进行车道变换时,才需要进行车道变换试验。试验应证明ALKS车辆在LCP期间不会对车辆乘员和其他道路使用者的安全造成不合理的风险,系统能够正确执行车道变更,并且能够在启动LCM之前评估周围情况的严重性。
试验应至少执行:
(a)不同的车辆,包括从后方接近的PTW;
(b)在正常运行的LCM可能并执行的情况下;
(c)在由于车辆从后方接近而无法正常运行LCM的情况下;
(d)在相邻车道上有一辆同样快的车辆跟在后面,防止车道改变;
(e)车辆在相邻车道旁行驶,防止车道改变;
(f)在MRM期间的LCM可能并执行的情况下。
(g)在ALKS车辆对另一辆车辆做出反应的情况下,该另一辆车开始在目标车道内的同一空间内变化,以避免潜在的碰撞风险。
避免在车道上有可通行物体之前进行紧急操纵
试验应证明,由于车道中有可通行物体(如人孔盖或小分支),ALKS车辆没有启动减速需求大于5m/s2的紧急操纵。试验应至少在以下情况下进行:
(a)没有引导车辆;
(b)以乘用车目标作为引导车辆;
(c)以PTW目标作为主导车辆。
补充核查

确定测试难度的指南
基于ALKS性能模型一
以下数据表是模拟的图示示例,其确定了ALKS应避免碰撞的条件。如果认为冲突是可避免的,则定义三个子集,以根据性能模型一,根据其难度区分参数集:
(a)“可避免的”条件以绿色突出显示,
(b)“困难”条件用蓝色突出显示,而
(c)“不可避免”用红色突出显示。
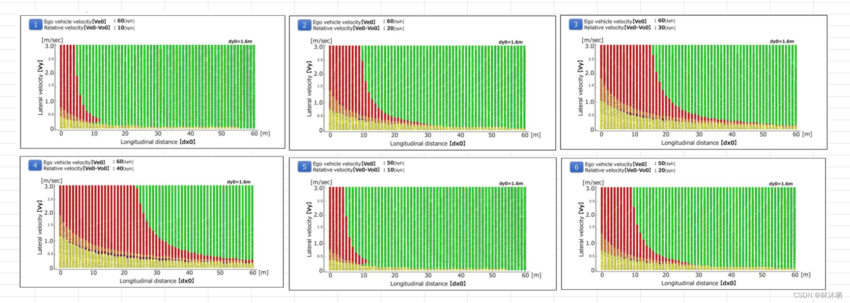
切入
基于初始参数的场景难度分类按照性能模型1以如下方式进行:
(a)“可避免”可通过低于5m/s2的制动需求来避免。
(b)低于5m/s2的制动需求无法避免“困难”。
(c)7.6 m/s2的制动需求无法避免“不可避免”。
基于这些方程,可以对任何参数集进行分类;为了显示一些示例,下面给出了不同当前车速的一些图。

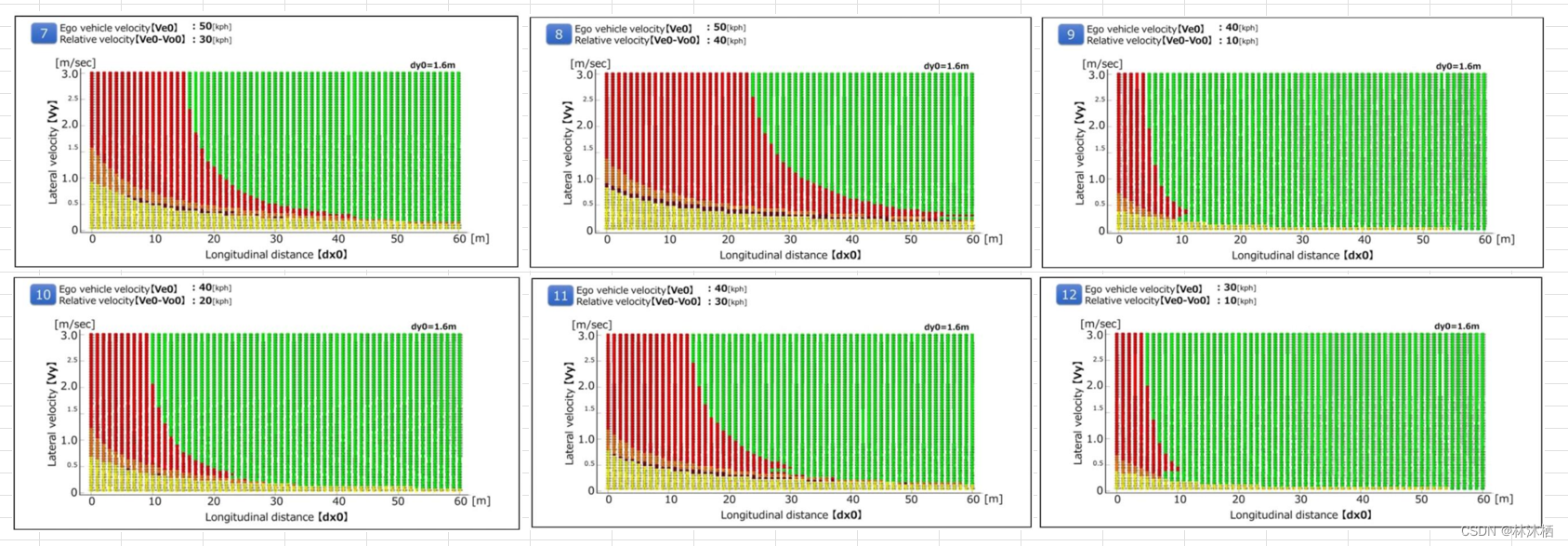
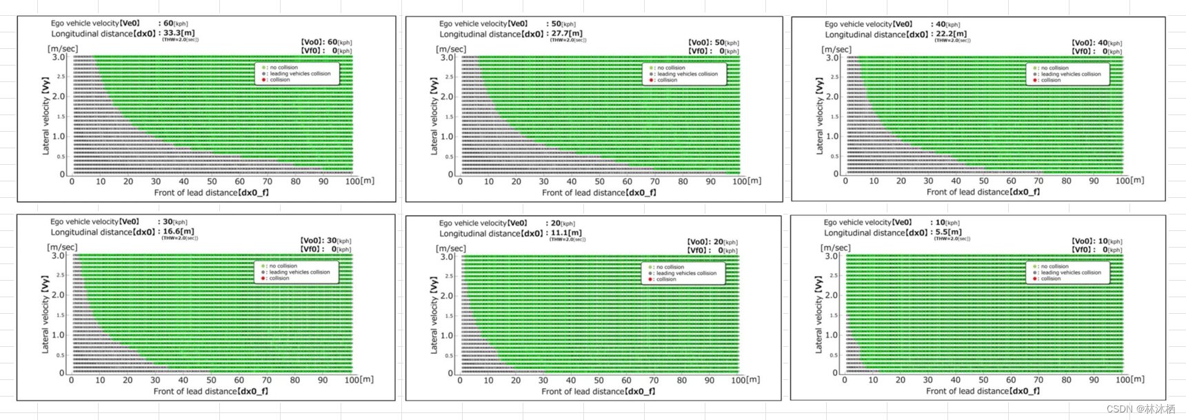
切出
基于初始参数的场景难度分类按照性能模型一以如下方式进行:
(a)“可避免”可通过低于5m/s2的制动需求来避免。
(b)低于5m/s2的制动需求无法避免“困难”。
(c)7.6 m/s2的制动需求无法避免“不可避免”。
基于这些方程,可以对任何参数集进行分类;为了显示一些示例,下面给出了不同当前车速的一些图。


减速
基于初始参数的场景难度分类按照性能模型一以如下方式进行:
(a)“可避免”可通过低于5m/s2的制动需求来避免。
(b)低于5m/s2的制动需求无法避免“困难”。
(c)7.6 m/s2的制动需求无法避免“不可避免”。
基于这些方程,可以对任何参数集进行分类;为了显示一些示例,下面给出了不同当前车速的一些图。

基于ALKS性能模型二
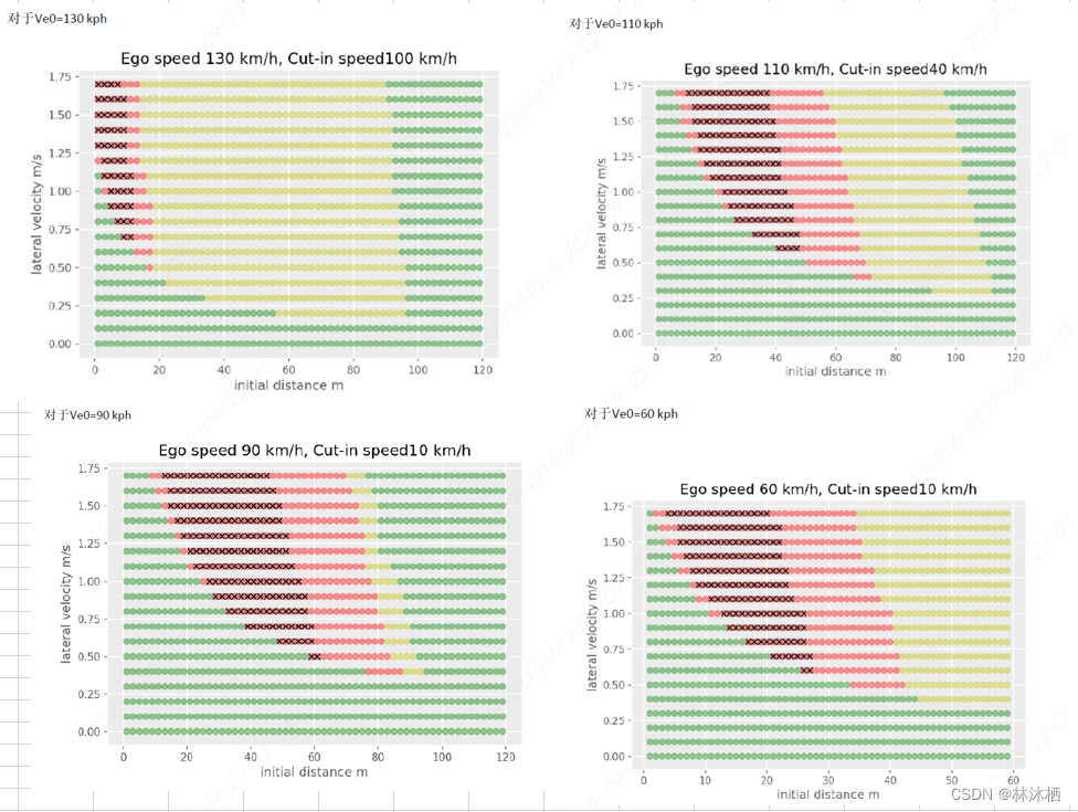
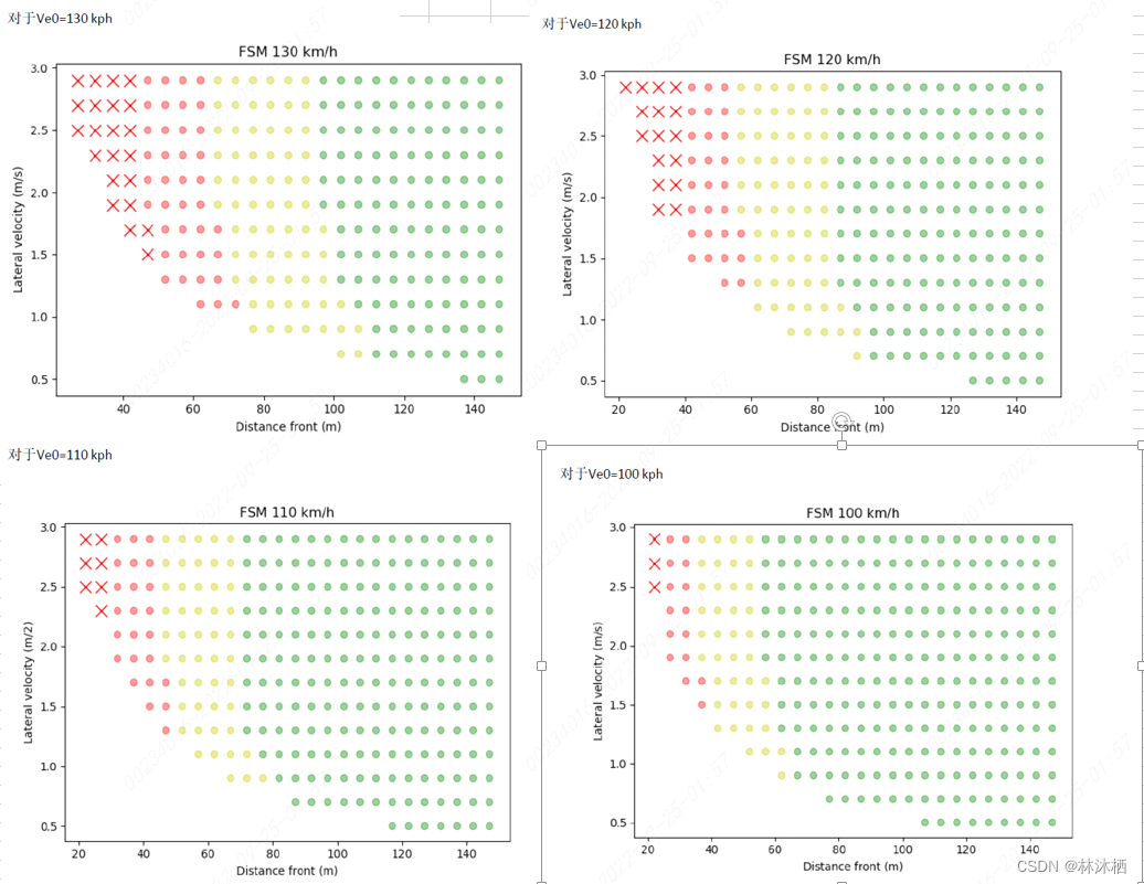
以下数据表是模拟的图示示例,这些模拟确定了ALKS应避免碰撞的条件。如果认为冲突是可避免的,则定义三个子集,以根据规定的性能模型二,根据其难度区分参数集:
(a)“简易”条件以绿色突出显示,
(b)“中等”条件以黄色突出显示,
(c)“困难”条件用红色突出显示,而
(d)“不可避免的碰撞”以红色和黑色“X”突出显示。
切入
根据规定的性能模型,以以下方式根据初始参数对场景的难度进行分类:
(a)简易:PFS<=0.85;
(b)中等:PFS>0.85,CFS<0.9;
(c)困难:CFS=>0.9。
基于这些方程,可以对任何参数集进行分类;为了显示一些示例,下面给出了不同当前车速的一些图。

切出
根据规定的性能模型二,根据初始参数对场景的难度进行分类:
(a)简易:PFS=0;
(b)中等:PFS>0,CFS<0.5;
(c)困难:CFS=>0.5。
基于这些方程,可以对任何参数集进行分类;为了显示一些示例,下面给出了不同当前车速的一些图。


减速
根据规定的性能模型,以以下方式根据初始参数对场景的难度进行分类:
(a)简易:PFS=0;
(b)中等:PFS>0,CFS<0.5;
(c)困难:CFS=>0.5。
基于这些方程,可以对任何参数集进行分类。不同情况的分类矩阵如图2所示。

ALKS的公共道路试验规范
本文件中规定的场景应为最低要求。型式认证机构可在系统ODD内进行额外试验,并将测量结果与要求进行比较。

以上即为UN R157 关于自动车道保持系统(ALKS)车辆认证的统一规定的法规解读内容
1372

被折叠的 条评论
为什么被折叠?



