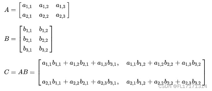
矩阵的乘法:
矩阵的列数(column)和第二个矩阵的行数(row)相同时

#include<stdio.h>
int main()
{ int a[2][4], b[4][3], c[2][3];
int i, j, k, sum;
printf("输入一个2×4的矩阵:\n");
for(i=0;i<2;i++) //处理矩阵a中的一行中各元素
for(j=0;j<4;j++) //处理矩阵a中某一列中各元素
scanf("%d",&a[i][j]); //输入数据
printf("输入一个4×3的矩阵;\n");
for(i=0;i<4;i++) //处理矩阵b中的一行中各元素
for(j=0;j<3;j++) //处理矩阵b中某一列中各元素
scanf("%d",&b[i][j]); //输入数据
for(i=0;i<2;i++) //对矩阵c进行处理
{ for(j=0;j<3;j++)
{ sum=0;
for(k=0;k<4;k++) //矩阵c中每一个元素的循环计算
{
sum+=a[i][k]*b[k][j]; //对矩阵c中的某一元素进行计算
}
c[i][j]=sum; //给矩阵c中的某一元素进行赋值
}
}
printf("得到一个2×3的矩阵:\n");
for(i=0;i<2;i++) //输出矩阵c
{
for(j=0;j<3;j++)
printf("%5d",c[i][j]);
printf("\n");
}
}
矩阵运算:
#include <stdio.h>
#include <stdlib.h>
#include <string.h>
double value[] = {1,2,3,4,5,6,7,8,9};
double value2[] = {9,8,7,6,5,4,3,2,1};
typedef struct
{
int row,line; //line为行,row为列
double *data;
}Matrix;
Matrix* InitMatrix(Matrix *matrix,int row,int line); //初始化矩阵
void ValueMatrix(Matrix *matrix,double *array); //给一个矩阵赋值
int SizeMatrix(Matrix *matrix); //获得一个矩阵的大小
void FreeMatrix(Matrix *matrix); //释放一个矩阵
void CopyMatrix(Matrix *matrix_A, Matrix *matrix_B); //复制一个矩阵的值
void PrintMatrix(Matrix *matrix); //打印一个矩阵
//矩阵的基本运算
Matrix* AddMatrix(Matrix *matrix_A,Matrix *matrix_B); //矩阵的加法
Matrix* MulMatrix(Matrix *matrix_A,Matrix *matrix_B); //矩阵的乘法
void TransMatrix(Matrix *matrix); //条件为方阵
int main(int argc,char* argv[])
{
Matrix *matrix1 = InitMatrix(matrix1,3,3);
Matrix *matrix2 = InitMatrix(matrix2,3,3);
ValueMatrix(matrix1,value);
// CopyMatrix(matrix1,matrix2); //复制赋值
ValueMatrix(matrix2,value2);
printf("矩阵1 乘以 矩阵2: \n");
Matrix *matrix3 = MulMatrix(matrix1,matrix2); //乘法
PrintMatrix(matrix3);
printf("矩阵1 加上 矩阵2: \n");
Matrix *matrix4 = AddMatrix(matrix1,matrix2); //加法
PrintMatrix(matrix4);
printf("矩阵1进行转置: \n");
TransMatrix(matrix1); //转置
PrintMatrix(matrix1);
return 0;
}
Matrix* InitMatrix(Matrix *matrix,int row,int line) //初始化一个矩阵
{
if (row>0 && line>0)
{
matrix = (Matrix*)malloc(sizeof(Matrix));
matrix->row = row;
matrix->line = line;
matrix->data = (double*)malloc(sizeof(double)*row*line);
memset(matrix->data,0,sizeof(double)*row*line);
return matrix;
}
else
return NULL;
}
void ValueMatrix(Matrix *matrix,double *array) //给矩阵赋值
{
if (matrix->data != NULL)
{
memcpy(matrix->data, array, matrix->row*matrix->line*sizeof(double));
}
}
int SizeMatrix(Matrix *matrix)
{
return matrix->row*matrix->line;
}
void FreeMatrix(Matrix *matrix)
{
free(matrix->data); //释放掉矩阵的data存储区
matrix->data = NULL;
printf("释放成功\n");
}
void CopyMatrix(Matrix *matrix_A, Matrix *matrix_B)
{
matrix_B->row = matrix_A->row;
matrix_B->line = matrix_A->line;
memcpy(matrix_B->data, matrix_A->data, SizeMatrix(matrix_A)*sizeof(double));
}
void PrintMatrix(Matrix *matrix)
{
for (int i=0;i<SizeMatrix(matrix);i++)
{
printf("%lf\t", matrix->data[i]);
if ((i+1)%matrix->line == 0)
printf("\n");
}
}
//加法
Matrix* AddMatrix(Matrix *matrix_A,Matrix *matrix_B)
{
if (matrix_A->row == matrix_B->row && matrix_A->line == matrix_B->line)
{
Matrix *matrix_C = InitMatrix(matrix_C,matrix_A->row,matrix_A->line);
for (int i=0;i<matrix_A->line;i++)
{
for (int j=0;j<matrix_A->row;j++)
{
matrix_C->data[i*matrix_C->row + j] = \
matrix_A->data[i*matrix_A->row + j] + matrix_B->data[i*matrix_A->row + j];
}
}
return matrix_C;
}
else
{
printf("不可相加\n");
return NULL;
}
}
//乘法
Matrix* MulMatrix(Matrix *matrix_A,Matrix *matrix_B)
{
if (matrix_A->row == matrix_B->line) //列==行
{
Matrix *matrix_C = InitMatrix(matrix_C,matrix_B->row,matrix_A->line);
// matrix_C->line = matrix_A->line; //A行
// matrix_C->row = matrix_B->row; //B列
for (int i=0;i<matrix_A->row;i++)
{
for (int j=0;j<matrix_B->line;j++)
{
for (int k=0;k<matrix_A->line;k++)
{
matrix_C->data[i*matrix_C->line + j] += \
matrix_A->data[i*matrix_A->line + k] * matrix_B->data[k*matrix_B->row + j];
}
}
}
return matrix_C;
}
else
{
printf("不可相乘\n");
return NULL;
}
}
//矩阵转置
void TransMatrix(Matrix *matrix) //条件为方阵
{
if (matrix->row == matrix->line)
{
Matrix *matrixTemp = InitMatrix(matrixTemp, matrix->row,matrix->line); //创建一个临时矩阵
CopyMatrix(matrix,matrixTemp); //将目标矩阵的data复制给临时矩阵
for (int i=0;i<matrix->row;i++)
{
for (int j=0;j<matrix->line;j++)
{
matrix->data[i*matrix->row + j] = matrixTemp->data[j*matrix->row + i];
}
}
}
else
{
printf("转置的矩阵必须为方阵\n");
}
}
矩阵加减、数乘运算例子:
/**
MatrixAddition.c
实现两个矩阵相加
*/
#include<stdio.h>
const int COLS=3;
void printMatirx(int *pArray,int rows,int cols);
void printMatirx2(int (*pArray)[COLS],int rows);
int main()
{
int A[3][4]={{15,10,9,12},
{18,14,8,7},
{16,13,6,11}};
printf("矩阵A=\n");
printMatirx(A,3,4);
int B[3][4]={{4,3,5,2},
{0,9,6,1},
{5,7,2,6}};
printf("矩阵B=\n");
printMatirx(B,3,4);
int C[3][4];
int i,j;
//矩阵相加:两个矩阵必须行数和列数一样才能相加,
//和矩阵的每个元素分别是两个矩阵对应的元素的和
printf("矩阵A+矩阵B=\n");
for(i=0;i<3;i++)//控制行
{
for(j=0;j<4;j++)
{
C[i][j]=A[i][j]+B[i][j];
// printf("%3d",C[i][j]);//输出结果
}
// printf("\n");
}
int (*p)[COLS]=C;
printMatirx2(p,3);
/*结果应为:
19 13 14 14
18 23 14 8
21 20 8 17
*/
printf("矩阵C-矩阵A=\n");
for(i=0;i<3;i++)//控制行
{
for(j=0;j<4;j++)
{
printf("%3d",C[i][j]-A[i][j]);//输出结果
}
printf("\n");
}
/*结果应为:
4 3 5 2
0 9 6 1
5 7 2 6
*/
//矩阵数乘:
int D[3][4];
printf("矩阵D:\n");
for(i=0;i<3;i++)//控制行
{
for(j=0;j<4;j++)
{
D[i][j]=1;
printf("%d\t", D[i][j]);//输出结果
}
printf("\n");
}
int mul;
printf("矩阵D数乘以:");
scanf("%d",&mul);
printf("矩阵D数乘以%d=\n",mul);
for(i=0;i<3;i++)//控制行
{
for(j=0;j<4;j++)
{
D[i][j]=D[i][j]*mul;
printf("%d\t", D[i][j]);//输出结果
}
printf("\n");
}
return 0;
}
//使用一级指针来访问二维数组
void printMatirx(int *pArray,int rows,int cols)
{
int i;
int j;
for(i=0;i<rows;i++)
{
for(j=0;j< cols;j++)
{
printf("%d\t",*(pArray+i*cols+j));
}
printf("\n");
}
}
//使用指向一维数组的指针,访问二维数组
void printMatirx2(int (*pArray)[COLS],int rows)
{
int i,j;
for(i=0;i<rows;i++)
{
for(j=0;j<COLS;j++)
{
printf("%d\t",pArray[i][j]);
/*
[]运算符的结合方向是由左向右,pArray[1][2]就等价于(* (pArray + 1))[2],
而由于pArray是数组指针,而且数组的长度为3,
所以* (pArray + 1):表示跨过3个元素,而也就是到array第二行
即表示array[1]这个数组,则pArray[1][2]则就完全等价于array[1][2]。
*/
}
printf("\n");
}
}
这篇博客介绍了C语言中矩阵运算的实现,包括矩阵的加法、乘法和转置。提供了详细的代码示例,展示了如何初始化、赋值、释放矩阵,并通过结构体封装矩阵操作。此外,还涵盖了矩阵加法、数乘运算的实例,帮助读者理解C语言编程中的矩阵操作技巧。
https://blog.siriyang.cn/posts/20200310191333id.html
1106

被折叠的 条评论
为什么被折叠?



