课程主页http://cs231n.stanford.edu/index.html
图像分类:KNN&线性分类器
图像分类中的任务是预测给定图像的单个标签(或此处显示的标签分布以指示我们的置信度)。图像是从 0 到 255 的整数的 3 维数组,大小为 Width x Height x 3。3 代表红、绿、蓝三个颜色通道。
图像分类的过程

- 输入:训练集(the training set)
- 学习:训练出分类器或者模型training a classifier, or learning a model./
- 评估:使用测试集(a test set)测试模型是否可靠
KNN
Nearest Neighbor Classifier 最近邻算法
- 是一个惰性算法
- 在实际工程中很少用,但是思想不错
- 与Convolutional Neural Networks(CNN卷积神经网络)无关
使用的数据集CIFAR-10 链接:https://www.cs.toronto.edu/~kriz/cifar.html
10类数据 60000张图(32*32) 50000张训练集 10000张测试集

NN原理
省略了训练的过程,直接开始进行分类预测,所以是惰性算法
步骤:将test的图片与训练集中每一张图进行比较,寻找最相似的图,那么认定test的label就和这张图一致
具体比较方法:
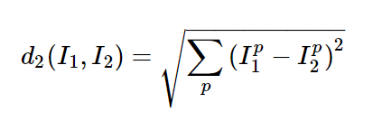
L1 distance(L1距离,又称曼哈顿距离)
[外链图片转存失败,源站可能有防盗链机制,建议将图片保存下来直接上传(img-Wo9hJAkw-1661612359098)(https://myblogimgbed.oss-cn-shenzhen.aliyuncs.com/img/7028e365700d8a06aa7b42dc50d3b9c2.svg)]

将test image与training image的每一个像素(pixel 32323)进行相减取绝对值,然后把所有结果求和,最终结果越小表明越相似
L2 distance(L2距离,又称欧氏距离)

KNN
KNN是在NN基础上,寻找最相似的k个图片的标签,然后进行投票,把票数最高的标签作为测试图片的预测。
更高的k值可以使分类效果更平滑,使得分类器对于异常值更有抵抗力。

超参数 过拟合
超参数 Hyperparameter:在机器学习的上下文中,超参数是在开始学习过程之前设置值的参数,而不是通过训练得到的参数数据。 通常情况下,需要对超参数进行优化,给学习机选择一组最优超参数,以提高学习的性能和效果。
- 在KNN算法中,K值以及计算距离的算法,都是超参数
过拟合:模型对于训练集表现特别好,但是对测试集表现很差
用于超参数调优的验证集
测试数据集只使用一次,即在训练完成后评价最终的模型时使用。
在训练时是不可以使用测试集进行训练的,否则很可能发生过拟合,因此引出验证集(validation set)
- 其思路是:从训练集中取出一部分数据用来调优,我们称之为验证集(validation set)。以CIFAR-10为例,我们可以用49000个图像作为训练集,用1000个图像作为验证集。验证集其实就是作为假的测试集来调优。
- 程序结束后,我们会作图分析出哪个k值表现最好,然后用这个k值来跑真正的测试集,并作出对算法的评价。
两种设置验证集的方法
- 直接设置固定的验证集
- 交叉验证Cross-validation (一般用于训练集数量少)
选择:一般直接把训练集按照50%-90%的比例分成训练集和验证集。但这也是根据具体情况来定的:如果超参数数量多,你可能就想用更大的验证集,而验证集的数量不够,那么最好还是用交叉验证吧。至于分成几份比较好,一般都是分成3、5和10份。



优缺点
- 算法的训练不需要花时间
- 只有近40%准确率
- 仅仅使用L1和L2范数来进行像素比较是不够的,图像更多的是按照背景和颜色被分类,而不是语义主体分身。
线性分类器
重要:一般是神经网络的第一个处理模块
线性分类器本质上是高效使用KNN
与KNN的本质区别:在评估的过程中其实也是将test image与训练集进行比较,但线性分类器不是把所有训练集一一比较一遍,而是事先得到K类的模板原型image,比较这K类的评分高低,来判断属于哪一类。

(10类原型)
线性分类 评分函数 损失函数 梯度下降
评分函数(score function),它是原始图像数据到类别分值的映射。
损失函数(loss function),它是用来量化预测分类标签的得分与真实标签之间一致性的。该方法可转化为一个最优化问题,在最优化过程中,将通过更新评分函数的参数来最小化损失函数值。
- 评分函数用于判断是什么类别
- 损失函数用于判断模型是否准确
评分函数(score function)

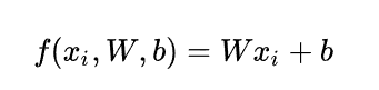
线性分类器:线性映射

- 在上面的公式中,假设每个图像数据都被拉长为一个长度为D的列向量,大小为[D x 1]。其中大小为[K x D]的矩阵W和大小为[K x 1]列向量b为该函数的参数(parameters)。
- 以CIFAR-10为例,[外链图片转存失败,源站可能有防盗链机制,建议将图片保存下来直接上传(img-SsDLPLJ3-1661612359108)(https://myblogimgbed.oss-cn-shenzhen.aliyuncs.com/img/1658303937447-ddd84ac7-c092-4a70-abde-f58fc88987fd.svg)]就包含了第i个图像的所有像素信息,这些信息被拉成为一个[3072 x 1]的列向量,W大小为[10x3072],b的大小为[10x1]。因此,3072个数字(原始像素数值)输入函数,函数输出10个数字(不同分类得到的分值)。参数W被称为权重(weights)。b被称为偏差向量(bias vector)
训练过程的实质就是训练出最优的W和b使得损失函数最小


W的每一行都是一个分类类别的分类器。对于这些数字的几何解释是:如果改变其中一行的数字,会看见分类器在空间中对应的直线开始向着不同方向旋转。而偏差b,则允许分类器对应的直线平移。需要注意的是,如果没有偏差,无论权重如何,在[外链图片转存失败,源站可能有防盗链机制,建议将图片保存下来直接上传xi=0时分类分值始终为0。这样所有分类器的线都不得不穿过原点。
- 在实际计算中,可以将W和b合并为一进行计算
一般常用的方法是把两个参数放到同一个矩阵中,同时x向量就要增加一个维度,这个维度的数值是常量1,这就是默认的偏差维度。这样新的公式就简化成下面这样:


损失函数Loss Function
有时也叫代价函数Cost Function或目标函数Objective

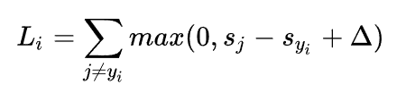
SVM分类器
多类支持向量机损失 Multiclass Support Vector Machine Loss

计算实例:
yi = 青蛙
s [cat,car,frog] = [2.2 2.5 -3.1]

折叶损失(铰链损失)


平方折叶损失SVM(即L2-SVM)
[外链图片转存失败,源站可能有防盗链机制,建议将图片保存下来直接上传(img-ei8BjnaR-1661612359118)(https://myblogimgbed.oss-cn-shenzhen.aliyuncs.com/img/1658320996936-2adb9d55-3c17-4e4e-91cd-fc13f2ed46a8.svg)]
一个SVM的交互式demohttp://vision.stanford.edu/teaching/cs231n-demos/linear-classify/
正则化(Regularization)
- 对于同一个损失,存在多个权重集W
- 随着正则化参数λ不断增强,权重数值会越来越小,最后输出的概率会接近于均匀分布。

Softmax分类器
- 将每个分类的评分向量转为[0 ,1]之间的概率,更加直观,概率和为1
使用交叉熵损失(cross-entropy loss) 替代hinge loss


取-log()的原因:
- Softmax求总体的损失函数L = L1 * L2 …*Li 但是概率求乘积会越来越小,
- 因此转化为-log(L)求和[+无穷,0],得到的结果L越小,越满意 极大似然估计思想
区分与SVM的不同:
- SVM的L是将所有的Li相加求均值

最优化Optimization
最优化是寻找能使得损失函数值最小化的参数W的过程。
优化的实质是将求损失函数对每个权重的梯度,不断调整权重,使得对于该权重,梯度下降到最低。
梯度的下降指的是使得损失函数下降(往更准确的方向),
最优化的策略
- 随机生成W权重集
- 【数值梯度法】随机本地搜索,每次给w改变微小的值,往损失较少的方向更新
- 【分析梯度法】跟随梯度
梯度(gradient)
在一次函数是斜率,在多维度指的是各个维度的斜率组成的向量(或导数)
当函数有多个参数的时候,我们称导数为偏导数。而梯度就是在每个维度上偏导数所形成的向量。
步长(学习率step size)
-
指明了沿梯度方向的变化幅度,更新快慢
-
小步长下降稳定但进度慢,大步长进展快但是风险更大。采取大步长可能导致错过最优点,让损失值上升。
小批量数据梯度下降(Mini-batch gradient descent)
- 训练集的数据量是非常大的,如果每次都将所有的训练集用于参数更新,会浪费大量的时间在计算,不经济
- 一般每次选取小批量(batches)
- 一个典型的小批量包含256个例子,一般是2的指数倍
神经网络与反向传播
导数、梯度的意义

链式法则

其实就是高中的复合函数求导

# 设置输入值
x = -2; y = 5; z = -4
# 进行前向传播
q = x + y # q becomes 3
f = q * z # f becomes -12
# 进行反向传播:
# 首先回传到 f = q * z
dfdz = q # df/dz = q, 所以关于z的梯度是3
dfdq = z # df/dq = z, 所以关于q的梯度是-4
# 现在回传到q = x + y
dfdx = 1.0 * dfdq # dq/dx = 1. 这里的乘法是因为链式法则
dfdy = 1.0 * dfdq # dq/dy = 1
反向传播



矩阵求梯度时注意转置
# 前向传播
W = np.random.randn(5, 10)
X = np.random.randn(10, 3)
D = W.dot(X)
# 假设我们得到了D的梯度
dD = np.random.randn(*D.shape) # 和D一样的尺寸
dW = dD.dot(X.T) #.T就是对矩阵进行转置
dX = W.T.dot(dD)
*要分析维度!*注意不需要去记忆dW和dX的表达,因为它们很容易通过维度推导出来。例如,权重的梯度dW的尺寸肯定和权重矩阵W的尺寸是一样的,而这又是由X和dD的矩阵乘法决定的(在上面的例子中X和W都是数字不是矩阵)。总有一个方式是能够让维度之间能够对的上的。例如,X的尺寸是[10x3],dD的尺寸是[5x3],如果你想要dW和W的尺寸是[5x10],那就要dD.dot(X.T)。
与生物的联系

一个单独的神经元
只要在输出端有一个合适的损失函数(Softmax分类器的交叉熵损失或者二分类SVM分类器的折叶损失),就可以使一个单独的神经元变成一个二分类器
激活函数
激活函数是在神经网络层间输入与输出之间的一种函数变换,目的是为了加入非线性因素,增强模型的表达能力。
作用:为神经网络带来非线性,去掉激活函数,不管有多少层网络都是线性的

- Sigmoid函数饱和导致梯度消失
- 除了二分类,一般用ReLu函数
神经网络结构
最普通的层的类型是全连接层(fully-connected layer)。全连接层中的神经元与其前后两层的神经元是完全成对连接的,但是在同一个全连接层内的神经元之间没有连接。

- 命名注意:当我们说N层神经网络的时候,我们没有把输入层算入。因此,单层的神经网络就是没有隐层的(输入直接映射到输出)。
- 激活函数作用于隐含层
- 输出层一般不会有激活函数或者也可以认为它们有一个线性相等的激活函数)。这是因为最后的输出层大多用于表示分类评分值,因此是任意值的实数,或者某种实数值的目标数(比如在回归中)。
网络尺寸:用来度量神经网络的尺寸的标准主要有两个:一个是神经元的个数,另一个是参数的个数,用上面图示的两个网络举例:
- 第一个网络有4+2=6个神经元(输入层不算),[3x4]+[4x2]=20个权重,还有4+2=6个偏置,共26个可学习的参数。
- 第二个网络有4+4+1=9个神经元,[3x4]+[4x4]+[4x1]=32个权重,4+4+1=9个偏置,共41个可学习的参数。
现代卷积神经网络能包含约1亿个参数,可由10-20层构成(这就是深度学习)。
前向传播
根据上图右侧,可得到如下计算
# 一个3层神经网络的前向传播:
f = lambda x: 1.0/(1.0 + np.exp(-x)) # 激活函数(用的sigmoid)
x = np.random.randn(3, 1) # 含3个数字的随机输入向量(3x1)
h1 = f(np.dot(W1, x) + b1) # 计算第一个隐层的激活数据(4x1)
h2 = f(np.dot(W2, h1) + b2) # 计算第二个隐层的激活数据(4x1)
out = np.dot(W3, h2) + b3 # 神经元输出(1x1)
全连接层的前向传播一般就是先进行一个矩阵乘法,然后加上偏置并运用激活函数。
设置层的数量及尺寸
在数学证明上,无论多少隐层,都可以由一个隐层(更多神经元)表示,但是就实践经验而言,深度网络效果比单层网络好。
增加神经元可能会导致过拟合

但是不要因为怕过拟合就使用小网络
不要减少网络神经元数目的主要原因在于小网络更难使用梯度下降等局部方法来进行训练:虽然小型网络的损失函数的局部极小值更少,也比较容易收敛到这些局部极小值,但是这些最小值一般都很差,损失值很高。相反,大网络拥有更多的局部极小值,但就实际损失值来看,这些局部极小值表现更好,损失更小。
解决过拟合方法:L2正则化,dropout和输入噪音等

正则化强度增加可以使决策边界变得更加平滑。
卷积神经网络CNN
结构:

底层特征容易解释,越到高层越复杂不可解释

卷积
感受野
卷积核:把原图中符合卷积核特征的特征提取出来

Feature map 与卷积核一一对应

补0操作:padding

步长

一个卷积核的维度必须与前一层的通道数一致

- 第一层32323
- 因此卷积核必须是3通道 用了6个 叠起来
- 第二层变成28286
- 因此第二层卷积核必须是6通道
计算
卷积后的特征图大小
(N+2P-F)/stride + 1
- N:原图大小
- P:padding
- F:卷积核大小
- stride:步长
1*1卷积
- 控制1*1卷积核数据进行降维或者升维
- 跨通道信息交融
- 减少参数量
- 增加模型深度 提高非线性表示能力

池化(下采样)

作用
- 减少参数量
- 防止过拟合
- 引入平移不变性

全连接
多层感知器
进行模型的汇总
LeNet-5


可视化卷积神经网络

找到使指定神经元激活值最大的小图片

全连接层显示出来
- 将最后一层全连接层表示的高维空间经过PCA或者t-SNE降维后进行二维或者三维表示
- 可以清楚的看到相同类别的聚合在一块,已经线性可分了
- 其实最后的一层输出层就是在FC基础上进行线性分类

遮挡实验
ZFnet论文

把某个中间神经元的输出,重构回原始像素空间

- 前向传播:求激活值
- 反向传播:对激活值为正的神经元回传梯度
- 反卷积:对梯度为正的神经元回传
- 导向反向传播:对激活值和梯度都为正的才回传
求某一个类别输出最大的图片

求某一个类别对像素的梯度
可以找到对该类别敏感的像素
- 沙地的像素不管如何变化都对狗这个评分没影响
- 但是狗身上元素变化影响就会很大
从而实现了定位的功能

训练神经网络
激活函数的选择

Sigmoid函数

- 可解释性好
- 饱和性导致梯度消失
- 输出都是正的 不是关于零对称的
- 指数运算消耗计算资源
- zig zag path锯齿问题

双曲正切

零对称
ReLU 最常用

不消耗啥计算资源
收敛很快

死神经元
原因:初始化不良或学习率太大
优化:Leaky ReLu

总结
- 一般使用ReLu 注意学习率的设置
- 可以尝试 Leaky ReLu Maxout ELU
- 不要在中间层使用sigmoid
数据预处理
三个常用的符号:数据矩阵X,假设其尺寸是[N x D](N是数据样本的数量,D是数据的维度)
均值减法Mean subtraction
- 将图像中心移至原点
对数据中每个独立特征减去平均值,从几何上可以理解为在每个维度上都将数据云的中心都迁移到原点。
在numpy中,该操作可以通过代码**X -= np.mean(X, axis=0)**实现。而对于图像,更常用的是对所有像素都减去一个值,可以用**X -= np.mean(X)**实现,也可以在3个颜色通道上分别操作。
归一化Normalization
- 调整各个维度的数值范围
将数据的所有维度都归一化,使其数值范围都近似相等。
-
零中心化(zero-centered)处理
-
- 每个维度都除以其标准差
**X /= np.std(X, axis=0)**
-
对每个维度都做归一化,使得每个维度的最大和最小值是1和-1。
-
- 只有在确信不同的输入特征有不同的数值范围(或计量单位)时才有意义
- 在图像处理中,由于像素的数值范围几乎是一致的(都在0-255之间),所以进行这个额外的预处理步骤并不是很必要。

PCA与白化Whitening 【少用】
先进行零中心化处理,再计算协方差矩阵,显示了各个维度的相关性
# 假设输入数据矩阵X的尺寸为[N x D]
X -= np.mean(X, axis = 0) # 对数据进行零中心化(重要)
cov = np.dot(X.T, X) / X.shape[0] # 得到数据的协方差矩阵
协方差矩阵:
- 第(i, j)个元素是数据第i个和第j个维度的协方差。
- 对角线上的元素是方差
PCA主成分分析 主要用于降维
- 进行奇异值分解
U,S,V **=** np**.**linalg**.**svd(cov)
np.linalg.svd的一个良好性质是在它的返回值U中,特征向量是按照特征值的大小排列的。可以利用这个特性进行数据降维
- 去数据相关性 将已经零中心化处理过的原始数据投影到特征基准上:
Xrot **=** np**.**dot(X,U) *# 对数据去相关性*
- 降维
Xrot_reduced **=** np**.**dot(X, U[:,:100]) *# Xrot_reduced 变成 [N x 100]*
白化
- 白化操作的输入是特征基准上的数据,然后对每个维度除以其特征值来对数值范围进行归一化。
- 变换的几何解释是:如果数据服从多变量的高斯分布,那么经过白化后,数据的分布将会是一个均值为零,且协方差相等的矩阵。
# 对数据进行白化操作:
# 除以特征值
Xwhite = Xrot / np.sqrt(S + 1e-5)

案例:

权重初始化
- 不能全零初始化或者在同一层权重一样 不然每一层多少神经元都没用 输出同样 就没有不对称性了

-
小随机数初始化
W = 0.01 * np.random.randn(D,H)randn函数是基于零均值和标准差的一个高斯分布
-
- 每个神经元的权重向量都被初始化为一个随机向量
- 这些随机向量又服从一个多变量高斯分布

越往深层 xi输出值越来越接近0 出现梯度消失

初始化幅值过大 f`接近于0
-
Xavier初始化
-
- 有限制条件:假设W X关于0对称
- 没有考虑激活函数
保证了网络中所有神经元起始时有近似同样的输出分布


-
Kaiming初始化
-
- 使用ReLu函数 推荐


批归一化
我们希望中间结果都变得符合标准正态分布 可以保留梯度

批归一化就是强行进行归一化

有时强行转为正态分布不好 加入


注意:测试阶段的均值和方差是训练时的全局均值和全局方差



- BN(批归一化)层一般放在非线性层之前
- 可以加快收敛
- 改善梯度
- 正则化作用
- 注意训练和测试时的BN层不一样
优化器Optimizers
传统:SGD 随机梯度下降方法
- 振荡现象 难以通过减少学习率解决

- 局部最优点

几种优化器

SGD

容易被困在局部最优解
SGD+Momentum动量

每次更新不止与当前梯度有关 还与之前的惯性/速度/动量有关


NAG
NAG比Momentum更加优化 提前考虑了一步 尽早感知到疲惫

AdaGrad
- 坡度陡的方向被惩罚 dx的平方
- 坡度平缓的方向被加速优化
- 但是越往后分母越大 几乎不更新

RMSProp

在AdaGrad上进行优化 可以快一点收敛

Adam
第一动量 和 第二动量结合

初始化为0 要经过一段时间才能预热 进行优化 使得两个动量开始就有较高的初始值

二阶优化
二阶优化一般不采用 计算量过大
牛顿法:可以加快收敛速度

学习率调整
也叫做步长

可以一开始使用大学习率 后面使用小学习率
过拟合
及早发现 及早停止

模型集成
多个模型共同决定

同一模型不同时刻

正则化
惩罚权重
- L2范数
- L1范数
- 弹性网络正则化

Dropout
随机掐死不同的神经元

- 打破特征之间的联合适应性 每个特征都得独当一面
- 模型集成的效果

- dropout率等于0.5时效果最好,因为此时生成的随机网络结构最多

数据增强 Data Augmentation


超参数选择

CNN工程实践技巧
用多个小卷积核代替一个大卷积核 减少计算量





如何高效计算卷积
使用矩阵乘法


使用快速傅里叶变换FFT


对大的卷积核可以起到加速的作用,小的没啥用

加速矩阵乘法的方法:
- 原生:O(n3)
- Strassen算法:O(n2.81)

迁移学习
借助预训练模型,站在巨人的肩膀上


优秀案例




硬件算力基础
-
CPU central processing unit
-
- 串行任务
-
GPU graphics processing unit 图像运算
-
- NVIDIA AMD
- 并行计算
-
TPU Tensor

im2col:用矩阵运算加速卷积

加速深度学习的算法和硬件

读写内存耗能高
硬件
-
通用
-
- CPU
- GPU
-
专用
-
- FPGA
- ASIC

加速推断的算法

修建树枝
剪掉部分神经元 重新训练


把0附近的权重全都剪掉

合并权重



量化

把权重和激活值用更少的bit表示
低秩的近似

使用1*1卷积去近似原矩阵
更少的数字表示权重




Winograd加速卷积
之前介绍的计算卷积的方法
-
滑窗
-
- 最普通 需要大量for循环
-
im2col
-
- 矩阵运算 可以使用CUDA等进行加速
-
FFT
-
- 输入和卷积核快速傅里叶变换
- 将结果进行对应元素的乘法
- 再进行傅里叶逆变换
-
Winograd
类似FFT
用更多加法代替乘法

加速推断的硬件


加速训练的算法
并行计算

cpu的摩尔定律已经到了瓶颈 不能指望单线程核心 而应该采用更多核参与计算
-
数据并行
-

- 每个结点都进行batch前向反向传播
- 将梯度回传给参数服务器master
- master进行梯度融合后进行梯度和权重的更新
-
模型并行
-

- 每个结点计算不同部分
FP32->FP16

计算梯度时用FP16,然后加到原来FP32的权重上
可以节省大量芯片面积
Model Distillation模型蒸馏
突出相似类别之间的关系

编程框架

- PyTorch
- TensorFlow
- Keras
PyTorch

自动求梯度
加_表示原地操作

- mm:矩阵相乘
- clamp:ReLu函数
- nn
- optim:优化器
- DataLoaders
- 预训练模型

动态计算图

TensorFlow静态计算图

循环神经网络Recurrent Neural Network(RNN)
序列数据 NLP

-
一对一:多层感知器
-
一对多:图像描述 decoder
-
多对一:文本情感分析 文本分类 encoder
-
多对多
-
- 不对齐:机器翻译
- 对齐:以帧为粒度的视频分类

- RNN:沿时间维度的权值共享
- CNN:沿空间维度的权值共享

语言模型
三套权值都是时间权值共享
- W_xh:对输入
- W_yh:对输出
- W_hh:对隐含层


RNN是有记忆功能的 输入两次输出是不一样的 因为隐含层是可以对历史输入产生记忆的
- 沿时间的反向传播 BRTT

计算量过大
截取小片段
注意力机制

- 软注意:所有权值
- 硬注意:最大权值

LSTM长短时记忆神经网络

普通RNN会产生梯度消失或者梯度爆炸


-
长期记忆
-
- 遗忘门

- 更新门


-
短期记忆
-

578

被折叠的 条评论
为什么被折叠?



