8.1 图的相关术语
        图是网络结构的抽象模型。图是一组由边连接的节点(或顶点)。学习图是重要的,因为任
何二元关系都可以用图来表示。
        任何社交网络,例如Facebook、Twitter和Google plus,都可以用图来表示。
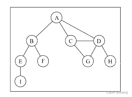
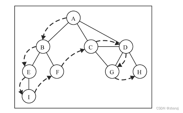
        我们还可以使用图来表示道路、航班以及通信状态,如下图所示:

一个图G = (V, E)由以下元素组成。
 V:一组顶点
 E:一组边,连接V中的顶点
下图表示一个图:

在着手实现算法之前,让我们先了解一下图的一些术语。
        由一条边连接在一起的顶点称为相邻顶点。比如,A和B是相邻的,A和D是相邻的,A和C
是相邻的,A和E不是相邻的。
        一个顶点的度是其相邻顶点的数量。比如,A和其他三个顶点相连接,因此,A的度为3;E
和其他两个顶点相连,因此,E的度为2。
        路径是顶点v1, v2,…,vk的一个连续序列,其中vi和vi+1是相邻的。以上一示意图中的图为例,
其中包含路径A B E I和A C D G。
        简单路径要求不包含重复的顶点。举个例子,A D G是一条简单路径。除去最后一个顶点(因
为它和第一个顶点是同一个顶点),环也是一个简单路径,比如A D C A(最后一个顶点重新回到A)。
        如果图中不存在环,则称该图是无环的。如果图中每两个顶点间都存在路径,则该图是连
通的。
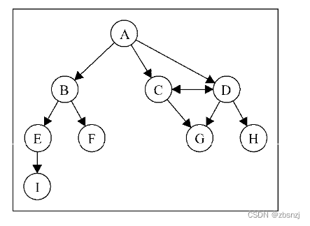
有向图和无向图
图可以是无向的(边没有方向)或是有向的(有向图)。如下图所示,有向图的边有一个方向:

        如果图中每两个顶点间在双向上都存在路径,则该图是强连通的。例如,C和D是强连通的,
而A和B不是强连通的。
        图还可以是未加权的(目前为止我们看到的图都是未加权的)或是加权的。如下图所示,加
权图的边被赋予了权值:

8.2 图的表示
        从数据结构的角度来说,我们有多种方式来表示图。在所有的表示法中,不存在绝对正确的
方式。图的正确表示法取决于待解决的问题和图的类型。
8.2.1 邻接矩阵

        不是强连通的图(稀疏图)如果用邻接矩阵来表示,则矩阵中将会有很多0,这意味着我们
浪费了计算机存储空间来表示根本不存在的边。例如,找给定顶点的相邻顶点,即使该顶点只有
一个相邻顶点,我们也不得不迭代一整行。邻接矩阵表示法不够好的另一个理由是,图中顶点的
数量可能会改变,而2维数组不太灵活。
8.2.2 邻接表
        我们也可以使用一种叫作邻接表的动态数据结构来表示图。邻接表由图中每个顶点的相邻顶
点列表所组成。存在好几种方式来表示这种数据结构。我们可以用列表(数组)、链表,甚至是
散列表或是字典来表示相邻顶点列表。下面的示意图展示了邻接表数据结构。

        尽管邻接表可能对大多数问题来说都是更好的选择,但以上两种表示法都很有用,且它们有
着不同的性质(例如,要找出顶点v和w是否相邻,使用邻接矩阵会比较快)。
8.2.3 关联矩阵
        我们还可以用关联矩阵来表示图。在关联矩阵中,矩阵的行表示顶点,列表示边。如下图所
示,我们使用二维数组来表示两者之间的连通性,如果顶点v是边e的入射点,则array[v][e] === 1;否则,array[v][e] === 0。

关联矩阵通常用于边的数量比顶点多的情况下,以节省空间和内存。
8.3 创建Graph类
function Graph(){
    var vertices=[] //{1}
    var adjList  = new Dictionary()  //{2}
    this.addVertex = function(v){
        vertices.push(v)  //{3}
        adjList.set(v,[])  //{4}
    }
    this.addEdge = function(v,w){
        adjList.get(v).push(w)  //{5}
        adjList.get(w).push(v)  //{6}
    }
     this.toString = function(){
        var s = ''
        for(var i=0;i<vertices.length;i++){     //{10}
            s+=vertices[i]+' -> '
            var neighbors = adjList.get(vertices[i])  //{11}
            for(var j=0;j<neighbors.length;j++){   //{12}
                s+=neighbors[j]+' '
            }
            s+='\n'    //{13}
        }
        return s
    }
}
        我们使用一个数组来存储图中所有顶点的名字(行{1}),以及一个字典(在第6章中已经实
现)来存储邻接表(行{2})。字典将会使用顶点的名字作为键,邻接顶点列表作为值。vertices
数组和adjList字典两者都是我们Graph类的私有属性。
        接着,我们将实现两个方法:一个用来向图中添加一个新的顶点(因为图实例化后是空的),另外一个方法用来添加顶点之间的边。我们先实现addVertex方法,这个方法接受顶点v作为参数。我们将该顶点添加到顶点列表中(行{3}),并且在邻接表中,设置顶点v作为键对应的字典值为一个空数组(行{4})。
现在,我们来实现addEdge方法,这个方法接受两个顶点作为参数。首先,通过将w加入到v的邻接表中,我们添加了一条自顶点v到顶点w的边。如果你想实现一个有向图,则行{5}就足够了。由于本章中大多数的例子都是基于无向图的,我们需要添加一条自w向v的边(行{6})。
为了更方便一些,让我们来实现一下Graph类的toString方法,以便于在控制台输出图。我们为邻接表表示法构建了一个字符串。首先,迭代vertices数组列表(行{10}),将顶点的名字加入字符串中。接着,取得该顶点的邻接表(行{11}),同样也迭代该邻接表(行{12}),将相邻顶点加入我们的字符串。邻接表迭代完成后,给我们的字符串添加一个换行符(行{13}),这样就可以在控制台看到一个漂亮的输出了。

8.4 图的遍历
        和树数据结构类似,我们可以访问图的所有节点。有两种算法可以对图进行遍历:广度优先
搜索(Breadth-First Search,BFS)和深度优先搜索(Depth-First Search,DFS)。图遍历可以用来寻找特定的顶点或寻找两个顶点之间的路径,检查图是否连通,检查图是否含有环等。
        在实现算法之前,让我们来更好地理解一下图遍历的思想方法。
        图遍历算法的思想是必须追踪每个第一次访问的节点,并且追踪有哪些节点还没有被完全探
索。对于两种图遍历算法,都需要明确指出第一个被访问的顶点。
        完全探索一个顶点要求我们查看该顶点的每一条边。对于每一条边所连接的没有被访问过的
顶点,将其标注为被发现的,并将其加进待访问顶点列表中。
        为了保证算法的效率,务必访问每个顶点至多两次。连通图中每条边和顶点都会被访问到。
        广度优先搜索算法和深度优先搜索算法基本上是相同的,只有一点不同,那就是待访问顶点
列表的数据结构。
        当要标注已经访问过的顶点时,我们用三种颜色来反映它们的状态。
         白色:表示该顶点还没有被访问。
         灰色:表示该顶点被访问过,但并未被探索过。
         黑色:表示该顶点被访问过且被完全探索过。
        这就是之前提到的务必访问每个顶点最多两次的原因。
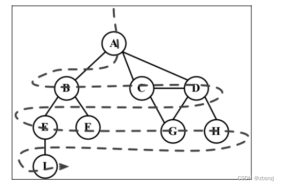
8.4.1 广度优先搜索
        广度优先搜索算法会从指定的第一个顶点开始遍历图,先访问其所有的相邻点,就像一次访
问图的一层。换句话说,就是先宽后深地访问顶点,如下图所示:

以下是从顶点v开始的广度优先搜索算法所遵循的步骤。
(1) 创建一个队列Q。
(2) 将v标注为被发现的(灰色),并将v入队列Q。
(3) 如果Q非空,则运行以下步骤:
        (a) 将u从Q中出队列;
        (b) 将标注u为被发现的(灰色);
        (c) 将u所有未被访问过的邻点(白色)入队列;
        (d) 将u标注为已被探索的(黑色)。
让我们来实现广度优先搜索算法:
 var initializeColor = function(){
        var color = []
        for(var i=0;i<vertices.length;i++){
            color[vertices[i]] = 'white'  //{1}
        }
        return color
    }
    this.bfs = function(v){
        var color = initializeColor(), //{2}
        queue = new Queue()     //{3}
        queue.enqueue(v)        //{4}
        while(!queue.isEmpty()){    //{5}
            var u = queue.dequeue(),    //{6}
            neighbors = adjList.get(u)  //{7}
            color[u]='grey'         //{8}
            for(var i=0;i<neighbors.length;i++){  //{9}
                var w = neighbors[i]    //{10}
                if(color[w]==='white'){  //{11}
                    color[w]='grey'     //{12}
                    queue.enqueue(w)      //{13}
                }
            }
            color[u]='black'    //{14}
            console.log('Visited vertex: ' + u) //{15}
        }
    }
        广度优先搜索和深度优先搜索都需要标注被访问过的顶点。为此,我们将使用一个辅助数组
color。由于当算法开始执行时,所有的顶点颜色都是白色(行{1}),所以我们可以创建一个辅
助函数initializeColor,为这两个算法执行此初始化操作。
        让我们深入学习广度优先搜索方法的实现。我们要做的第一件事情是用initializeColor
函数来将color数组初始化为white(行{2})。我们还需要声明和创建一个Queue实例(行{3}),
它将会存储待访问和待探索的顶点。
        照着本章开头解释过的步骤,bfs方法接受一个顶点作为算法的起始点。起始顶点是必要的,
我们将此顶点入队列(行{4})。
        如果队列非空(行{5}),我们将通过出队列(行{6})操作从队列中移除一个顶点,并取得
一个包含其所有邻点的邻接表(行{7})。该顶点将被标注为grey(行{8}),表示我们发现了它
(但还未完成对其的探索)。
        对于u(行{9})的每个邻点,我们取得其值(该顶点的名字——行{10}),如果它还未被访
问过(颜色为white——行{11}),则将其标注为我们已经发现了它(颜色设置为grey——行
{12}),并将这个顶点加入队列中(行{13}),这样当其从队列中出列的时候,我们可以完成对
其的探索。
        当完成 探索该顶点 和其相邻顶 点后,我们 将该顶点标 注为已探索 过的(颜色设置为
black——行{14})

1. 使用BFS寻找最短路径
        到目前为止,我们只展示了BFS算法的工作原理。我们可以用该算法做更多事情,而不只是
输出被访问顶点的顺序。例如,考虑如何来解决下面这个问题。
        给定一个图G和源顶点v,找出对每个顶点u,u和v之间最短路径的距离(以边的数量计)。
        对于给定顶点v,广度优先算法会访问所有与其距离为1的顶点,接着是距离为2的顶点,
以此类推。所以,可以用广度优先算法来解这个问题。我们可以修改bfs方法以返回给我们一
些信息:
         从v到u的距离d[u];
         前溯点pred[u],用来推导出从v到其他每个顶点u的最短路径。
        让我们来看看改进过的广度优先方法的实现:
this.BFS = function(v){
        var color = initializeColor(),
        queue=new Queue(),
        d=[],    //{1}
        pred=[]
        queue.enqueue(v)
        for(var i=0;i<vertices.length;i++){  //{3}
            d[vertices[i]]=0            //{4}
            pred[vertices[i]]=null      //{5}
        }
        while(!queue.isEmpty()){
            var u=queue.dequeue(),
            neighbors=adjList.get(u)
            color[u]='grey'
            for(i=0;i<neighbors.length;i++){
                var w = neighbors[i]
                if(color[w]==='white'){
                    color[w]='grey'
                    d[w]=d[u]+1     //{6}
                    pred[w]=u       //{7}
                    queue.enqueue(w)
                }
            }
            color[u]='black'
        }
        return{     //{8}
            distance:d,
            predecessors:pred
        }
    }
        我们还需要声明数组d(行{1})来表示距离,以及pred数组来表示前溯点。下一步则是对
图中的每一个顶点,用0来初始化数组d(行{4}),用null来初始化数组pred。
        当我们发现顶点u的邻点w时,则设置w的前溯点值为u(行{7})。我们还通过给d[u]加1来
设置v和w之间的距离(u是w的前溯点,d[u]的值已经有了)。
        方法最后返回了一个包含d和pred的对象(行{8})。

通过前溯点数组,我们可以用下面这段代码来构建从顶点A到其他顶点的路径:
var fromVertex = myVertices[0]; //{9}
for (var i=1; i<myVertices.length; i++){ //{10}
    var toVertex = myVertices[i], //{11}
    path = new Stack(); //{12}
    for (var v=toVertex; v!== fromVertex;
        v=shortestPathA.predecessors[v]) { //{13}
        path.push(v); //{14}
    }
    path.push(fromVertex); //{15}
    var s = path.pop(); //{16}
    while (!path.isEmpty()){ //{17}
        s += ' - ' + path.pop(); //{18}
    }
    console.log(s); //{19}
}
        我们用顶点A作为源顶点(行{9})。对于每个其他顶点(除了顶点A——行{10}),我们会计
算顶点A到它的路径。我们从顶点数组得到toVertex(行{11}),然后会创建一个栈来存储路径
值(行{12})。
        接着,我们追溯toVertex到fromVertex的路径(行{13})。变量v被赋值为其前溯点的值,
这样我们能够反向追溯这条路径。将变量v添加到栈中(行{14})。最后,源顶点也会被添加到
栈中,以得到完整路径。
        这之后,我们创建了一个s字符串,并将源顶点赋值给它(它是最后一个加入栈中的,所以
它是第一个被弹出的项 ——行{16})。当栈是非空的,我们就从栈中移出一个项并将其拼接到字
符串s的后面(行{18})。最后(行{19})在控制台上输出路径。
        执行该代码段,我们会得到如下输出:

2. 深入学习最短路径算法
        本章中的图不是加权图。如果要计算加权图中的最短路径(例如,城市A和城市B之间的最短路径——GPS和Google Maps中用到的算法),广度优先搜索未必合适。
        举些例子,Dijkstra算法解决了单源最短路径问题。Bellman-Ford算法解决了边权值为负的
单源最短路径问题。A*搜索算法解决了求仅一对顶点间的最短路径问题,它用经验法则来加速搜
索过程。Floyd-Warshall算法解决了求所有顶点对间的最短路径这一问题。
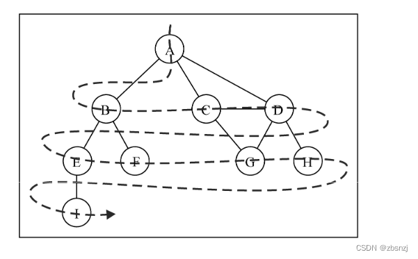
8.4.2 深度优先搜索
        深度优先搜索算法将会从第一个指定的顶点开始遍历图,沿着路径直到这条路径最后一个顶
点被访问了,接着原路回退并探索下一条路径。换句话说,它是先深度后广度地访问顶点,如下
图所示:

        深度优先搜索算法不需要一个源顶点。在深度优先搜索算法中,若图中顶点v未访问,则访
问该顶点v。
        要访问顶点v,照如下步骤做。
        (1) 标注v为被发现的(灰色)。
        (2) 对于v的所有未访问的邻点w,访问顶点w,标注v为已被探索的(黑色)。
        如你所见,深度优先搜索的步骤是递归的,这意味着深度优先搜索算法使用栈来存储函数调
用(由递归调用所创建的栈)。
        让我们来实现一下深度优先算法:
     this.dfs = function(){
        var color = initializeColor() //{1}
        for(var i=0;i<vertices.length;i++){  //{2}
            if(color[vertices[i]]==='white'){  //{3}
                dfsVisit(vertices[i],color) //{4}
            }
        }
    }
    var dfsVisit = function(u,color){
        color[u]='grey' //{5}
        console.log('Visited vertex: ' + u) //{6}
        var neighbors = adjList.get(u)    //{7}
        for(var i=0;i<neighbors.length;i++){   //{8}
            var w = neighbors[i]    //{9}
            if(color[w]==='white'){ //{10}
                dfsVisit(w,color)   //{11}
            }
        }
        color[u]='black' //{12}
    }
        首先,我们创建颜色数组(行{1}),并用值white为图中的每个顶点对其做初始化,广度优
先搜索也这么做的。接着,对于图实例中每一个未被访问过的顶点(行{2}和{3}),我们调用私
有的递归函数dfsVisit,传递的参数为顶点、颜色数组以及回调函数(行{4})。
        当访问u顶点时,我们标注其为被发现的(grey——行{5})。如果有callback函数的话(行
{6}),则执行该函数输出已访问过的顶点。接下来一步是取得包含顶点u所有邻点的列表(行
{7})。对于顶点u的每一个未被访问过(颜色为white——行{10}和行{8})的邻点w(行{9}),
我们将调用dfsVisit函数,传递w和其他参数(行{11}——添加顶点w入栈,这样接下来就能访
问它)。最后,在该顶点和邻点按深度访问之后,我们回退,意思是该顶点已被完全探索,并将
其标注为black(行{12})。
        让我们执行下面的代码段来测试一下dfs方法:


1. 探索深度优先算法
        到目前为止,我们只是展示了深度优先搜索算法的工作原理。我们可以用该算法做更多的事
情,而不只是输出被访问顶点的顺序。
        对于给定的图G,我们希望深度优先搜索算法遍历图G的所有节点,构建“森林”(有根树的
一个集合)以及一组源顶点(根),并输出两个数组:发现时间和完成探索时间。我们可以修改
dfs方法来返回给我们一些信息:
         顶点u的发现时间d[u];
         当顶点u被标注为黑色时,u的完成探索时间f[u];
         顶点u的前溯点p[u]。
        让我们来看看改进了的DFS方法的实现:
    var time = 0 //{1}
    this.DFS = function(){
        var color = initializeColor(), //{2}
        d = [],
        f = [],
        p = [];
        time = 0;
        for (var i=0; i<vertices.length; i++){ //{3}
            f[vertices[i]] = 0
            d[vertices[i]] = 0
            p[vertices[i]] = null
        }
        for (i=0; i<vertices.length; i++){
            if (color[vertices[i]] === 'white'){
                DFSVisit(vertices[i], color, d, f, p);
            }
        }
        return { //{4}
            discovery: d,
            finished: f,
            predecessors: p
        }   
    }
    var DFSVisit = function(u, color, d, f, p){
        console.log('discovered ' + u)
        color[u] = 'grey'
        d[u] = ++time //{5}
        var neighbors = adjList.get(u)
        for (var i=0; i<neighbors.length; i++){
            var w = neighbors[i]
            if (color[w] === 'white'){
                p[w] = u // {6}
                DFSVisit(w,color, d, f, p);
            }
        }
        color[u] = 'black'
        f[u] = ++time //{7}
        console.log('explored ' + u)
    }
        我们需要一个变量来要追踪发现时间和完成探索时间(行{1})。时间变量不能被作为参数
传递,因为非对象的变量不能作为引用传递给其他JavaScript方法(将变量作为引用传递的意思是
如果该变量在其他方法内部被修改,新值会在原始变量中反映出来)。接下来,我们声明数组d、
f和p(行{2})。我们需要为图的每一个顶点来初始化这些数组(行{3})。在这个方法结尾处返
回这些值(行{4}),之后我们要用到它们。
        当一个顶点第一次被发现时,我们追踪其发现时间(行{5})。当它是由引自顶点u的边而被
发现的,我们追踪它的前溯点(行{6})。最后,当这个顶点被完全探索后,我们追踪其完成时
间(行{7})。
        深度优先算法背后的思想是什么?边是从最近发现的顶点u处被向外探索的。只有连接到未
发现的顶点的边被探索了。当u所有的边都被探索了,该算法回退到u被发现的地方去探索其他的
边。这个过程持续到我们发现了所有从原始顶点能够触及的顶点。如果还留有任何其他未被发现
的顶点,我们对新源顶点重复这个过程。重复该算法,直到图中所有的顶点都被探索了。
        对于改进过的深度优先搜索,有两点需要我们注意:
         时间(time)变量值的范围只可能在图顶点数量的一倍到两倍之间;
         对于所有的顶点u,d[u]<f[u](意味着,发现时间的值比完成时间的值小,完成时间意思
是所有顶点都已经被探索过了)。
        在这两个假设下,我们有如下的规则:
                                                        1 ≤ d [u] < f [u] ≤ 2|V|
        如果对同一个图再跑一遍新的深度优先搜索方法,对图中每个顶点,我们会得到如下的发现
/完成时间:


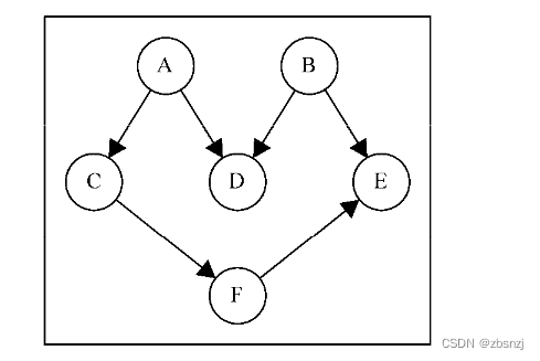
2. 拓扑排序——使用深度优先搜索
给定下图,假定每个顶点都是一个我们需要去执行的任务:

        当我们需要编排一些任务或步骤的执行顺序时,这称为拓扑排序(topological sorting,英文
亦写作topsort或是toposort)。在日常生活中,这个问题在不同情形下都会出现。例如,当我们开
始学习一门计算机科学课程,在学习某些知识之前得按顺序完成一些知识储备(你不可以在上算
法I前先上算法II)。当我们在开发一个项目时,需要按顺序执行一些步骤,例如,首先我们得从
客户那里得到需求,接着开发客户要求的东西,最后交付项目。你不能先交付项目再去收集需求。
        拓扑排序只能应用于DAG(有向无环图)。那么,如何使用深度优先搜索来实现拓扑排序呢?让我们在本节开头的示意图上执行一下深度优先搜索。
创建有向图要注意把图结构中添加边的方法的第二行给注释掉
    this.addEdge = function(v,w){
        adjList.get(v).push(w)  //{5}
        //adjList.get(w).push(v)  //{6}
    }


8.5 最短路径算法
8.5.1 Dijkstra算法
        Dijkstra算法是一种计算从单个源到所有其他源的最短路径的贪心算法(你可以在第11章了
解到更多关于贪心算法的内容),这意味着我们可以用它来计算从图的一个顶点到其余各顶点的
最短路径。
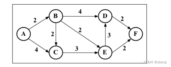
        考虑下图:

我们来看看如何找到顶点A和其余顶点之间的最短路径。但首先,我们需要声明表示上图的
邻接矩阵,如下所示:

现在,通过下面的代码来看看Dijkstra算法是如何工作的:
  var INF = Number.MAX_SAFE_INTEGER
    this.graph = [  [0, 2, 4, 0, 0, 0],
                    [0, 0, 2, 4, 2, 0],
                    [0, 0, 0, 0, 3, 0],
                    [0, 0, 0, 0, 0, 2],
                    [0, 0, 0, 3, 0, 2],
                    [0, 0, 0, 0, 0, 0] ]
    this.dijkstra = function(src) {
        var dist = [], visited = [],
        length = this.graph.length
        for (var i = 0; i < length; i++) { //{1}
            dist[i] = INF
            visited[i] = false;
        }
        dist[src] = 0; //{2}
        for (var i = 0; i < length-1; i++) { //{3}
            var u = minDistance(dist, visited) //{4}
            visited[u] = true; //{5}
            for (var v = 0; v < length; v++) {
                if (!visited[v] &&
                    this.graph[u][v] != 0 && dist[u] != INF &&
                    dist[u] + this.graph[u][v] < dist[v]) { //{6}
                         dist[v] = dist[u] + this.graph[u][v] //{7}
                }
            }
        }
        return dist //{8}
    }
    var minDistance = function(dist, visited) {
        var min = INF, minIndex = -1;
        for (var v = 0; v < dist.length; v++) {
            if (visited[v] == false && dist[v] <= min) {
                min = dist[v];
                minIndex = v;
            }
        }
        return minIndex;
    }
        下面是对算法过程的描述。
 行{1}:首先,把所有的距离(dist)初始化为无限大(JavaScript最大的数INF = Number.
MAX_SAFE_INTEGER),将visited[]初始化为false。
 行{2}:然后,把源顶点到自己的距离设为0。
 行{3}:接下来,要找出到其余顶点的最短路径。
 行{4}:为此,我们需要从尚未处理的顶点中选出距离最近的顶点。
 行{5}:把选出的顶点标为visited,以免重复计算。
 行{6}:如果找到更短的路径,则更新最短路径的值(行{7})。
 行{8}:处理完所有顶点后,返回从源顶点(src)到图中其他顶点最短路径的结果。
        要计算顶点间的minDistance,就要搜索dist数组中的最小值,返回它在数组中的索引

8.5.2 Floyd-Warshall 算法
        Floyd-Warshall算法是一种计算图中所有最短路径的动态规划算法。通过该算法,我们可以找出从所有源到所有顶点的最短路径。
        Floyd-Warshall算法实现如下:
    this.floydWarshall = function() {
        var dist = [],
        length = this.graph.length,
        i, j, k
        for (i = 0; i < length; i++) { //{1}
            dist[i] = []
            for (j = 0; j < length; j++) {
                if(this.graph[i][j]===0){
                    dist[i][j]=999
                }else{
                    dist[i][j] = this.graph[i][j]
                }
                if(i===j){
                    dist[i][j]=0
                }
            }
        }
        for (k = 0; k < length; k++) { //{2}
            for (i = 0; i < length; i++) {
                for (j = 0; j < length; j++) {
                    if (dist[i][k] + dist[k][j] < dist[i][j]) { //{3}
                        dist[i][j] = dist[i][k] + dist[k][j] //{4}
                    }
                }
            }
        }
        return dist;
    }
下面是对算法过程的描述。
 行{1}:首先,把dist数组初始化为每个顶点之间的权值,因为i到j可能的最短距离就
是这些顶点间的权值。
 行{2}:通过k,得到i途径顶点0至k,到达j的最短路径。
 行{3}:判断i经过顶点k到达j的路径是否比已有的最短路径更短。
 行{4}:如果是更短的路径,则更新最短路径的值。
行{3}是Floyd-Warshall算法的核心。对本节开始的图执行以上算法,会得到如下输出:

其中,999代表顶点i到j的最短路径不存在。
8.6 最小生成树
        最小生成树(MST)问题是网络设计中常见的问题。想象一下,你的公司有几间办公室,要
以最低的成本实现办公室电话线路相互连通,以节省资金,最好的办法是什么?
        这也可以应用于岛桥问题。设想你要在n个岛屿之间建造桥梁,想用最低的成本实现所有岛
屿相互连通。
        这两个问题都可以用MST算法来解决,其中的办公室或者岛屿可以表示为图中的一个顶点,
边代表成本。这里我们有一个图的例子,其中较粗的边是一个MST的解决方案。

8.6.1 Prim 算法
        Prim算法是一种求解加权无向连通图的MST问题的贪心算法。它能找出一个边的子集,使得
其构成的树包含图中所有顶点,且边的权值之和最小。
        现在,通过下面的代码来看看Prim算法是如何工作的:
   this.prim = function() {
        var parent = [],
        key = [],
        visited = []
        length = this.graph.length,
        i
        for (i = 0; i < length; i++) { //{1}
            key[i] = INF
            visited[i] = false
        }
        key[0] = 0 //{2}
        parent[0] = -1
        for (i = 0; i < length-1; i++) { //{3}
            var u = minKey(key, visited) //{4}
            visited[u] = true //{5}
            for (var v = 0; v < length; v++) {
                if (this.graph[u][v] && visited[v] == false && this.graph[u][v] < key[v]) { //{6}
                    parent[v] = u //{7}
                    key[v] = this.graph[u][v] //{8}
                }
            }
        }
        return parent //{9}
    }
下面是对算法过程的描述。
 行{1}:首先,把所有顶点(key)初始化为无限大(JavaScript最大的数INF = Number.MAX_
SAFE_INTEGER),visited[]初始化为false。
 行{2}:其次,选择第一个key作为第一个顶点,同时,因为第一个顶点总是MST的根节点,所以parent[0] = -1。
 行{3}:然后,对所有顶点求MST。
 行{4}:从未处理的顶点集合中选出key值最小的顶点(与Dijkstra算法中使用的函数一样,只是名字不同)。
 行{5}:把选出的顶点标为visited,以免重复计算。
 行{6}:如果得到更小的权值,则保存MST路径(parent,行{7})并更新其权值(行{8})。
 行{9}:处理完所有顶点后,返回包含MST的结果。

8.6.2 Kruskal 算法
        和Prim算法类似,Kruskal算法也是一种求加权无向连通图的MST的贪心算法。
        现在,通过下面的代码来看看Kruskal算法是如何工作的:
    this.kruskal = function() {
        var length = this.graph.length,
        parent = [], cost,
        ne = 0, a, b, u, v, i, j, min
        cost = initializeCost() //{1}
        while (ne < length-1) { //{2}
            for (i = 0, min = INF; i < length; i++) { //{3}
                for (j = 0; j < length; j++) {
                    if (cost[i][j] < min) {
                        min = cost[i][j]
                        u = i
                        v = j
                    }
                }
            }
            u = find(u, parent) //{4}
            v = find(v, parent) //{5}
            if (union(u, v, parent)) { //{6}
                ne++
            }
            cost[u][v] = cost[v][u] = INF //{7}
        }
        return parent
    }
    var find = function(i, parent) {
        while (parent[i]) {
            i = parent[i]
        }
        return i
    }
        
    var union = function(i, j, parent) {
        if (i != j) {
            parent[j] = i
            return true
        }
        return false
    }
下面是对算法过程的描述。
 行{1}:首先,把邻接矩阵的值复制到cost数组,以方便修改且可以保留原始值行{7}。
 行{2}:当MST的边数小于顶点总数减1时。
 行{3}:找出权值最小的边。
 行{4}和行{5}:检查MST中是否已存在这条边,以避免环路。
 行{6}:如果u和v是不同的边,则将其加入MST。
 行{7}:从列表中移除这些边,以免重复计算。
 行{8}:返回MST。
8.7 小结
function Dictionary(){
    var items={}
 
    this.has = function(key){
        return key in items
    }
 
    this.set = function(key,value){
        items[key]=value
    }
 
    this.delete = function(key){
        if(this.has(key)){
            delete items[key]
            return true
        }
        return false
    }
 
    this.get = function(key){
        return this.has(key)?items[key]:undefined
    }
 
    this.values = function(){
        var values=[]
        for(var k in items){
            if(this.has(k)){
                values.push(items[k])
            }
        }
        return values
    }
 
    this.clear = function(){
        items={}
    }
 
    this.size = function(){
        return Object.keys(items).length
    }
 
    this.keys = function(){
        return Object.keys(items)
    }
 
    this.getItems = function(){
        return items
    }
}
function Queue(){
    let items = []
    this.enqueue = function (element){
        items.push(element)
    }
    this.dequeue = function(){
        return items.shift()
    }
    this.front = function(){
        return items[0]
    }
    this.isEmpty = function(){
        return items.length==0
    }
 
    this.size = function(){
        return items.length
    }
    this.print = function(){
        console.log(items.toString())
    }
}
function Stack(){
    let items=[]
    this.push = function(element){
        items.push(element)
    }
    this.pop = function(){
        return items.pop()
    }
    this.peek = function(){
        return items[items.length-1]
    }
    this.isEmpty = function(){
        return items.length == 0
    }
 
    this.size = function(){
        return items.length
    }
    this.clear = function(){
        items=[]
    }
 
    this.print = function(){
        console.log(items.toString())
    }
}
function Graph(){
    var vertices=[] //{1}
    var adjList  = new Dictionary()  //{2}
    this.addVertex = function(v){
        vertices.push(v)  //{3}
        adjList.set(v,[])  //{4}
    }
    this.addEdge = function(v,w){
        adjList.get(v).push(w)  //{5}
        //adjList.get(w).push(v)  //{6}
    }
    this.toString = function(){
        var s = ''
        for(var i=0;i<vertices.length;i++){     //{10}
            s+=vertices[i]+' -> '
            var neighbors = adjList.get(vertices[i])  //{11}
            for(var j=0;j<neighbors.length;j++){   //{12}
                s+=neighbors[j]+' '
            }
            s+='\n'    //{13}
        }
        return s
    }
    var initializeColor = function(){
        var color = []
        for(var i=0;i<vertices.length;i++){
            color[vertices[i]] = 'white'  //{1}
        }
        return color
    }
    this.bfs = function(v){
        var color = initializeColor(), //{2}
        queue = new Queue()     //{3}
        queue.enqueue(v)        //{4}
        while(!queue.isEmpty()){    //{5}
            var u = queue.dequeue(),    //{6}
            neighbors = adjList.get(u)  //{7}
            color[u]='grey'         //{8}
            for(var i=0;i<neighbors.length;i++){  //{9}
                var w = neighbors[i]    //{10}
                if(color[w]==='white'){  //{11}
                    color[w]='grey'     //{12}
                    queue.enqueue(w)      //{13}
                }
            }
            color[u]='black'    //{14}
            console.log('Visited vertex: ' + u) //{15}
        }
    }
    this.BFS = function(v){
        var color = initializeColor(),
        queue=new Queue(),
        d=[],    //{1}
        pred=[]
        queue.enqueue(v)
        for(var i=0;i<vertices.length;i++){  //{3}
            d[vertices[i]]=0            //{4}
            pred[vertices[i]]=null      //{5}
        }
        while(!queue.isEmpty()){
            var u=queue.dequeue(),
            neighbors=adjList.get(u)
            color[u]='grey'
            for(i=0;i<neighbors.length;i++){
                var w = neighbors[i]
                if(color[w]==='white'){
                    color[w]='grey'
                    d[w]=d[u]+1     //{6}
                    pred[w]=u       //{7}
                    queue.enqueue(w)
                }
            }
            color[u]='black'
        }
        return{     //{8}
            distance:d,
            predecessors:pred
        }
    }
    this.dfs = function(){
        var color = initializeColor() //{1}
        for(var i=0;i<vertices.length;i++){  //{2}
            if(color[vertices[i]]==='white'){  //{3}
                dfsVisit(vertices[i],color) //{4}
            }
        }
    }
    var dfsVisit = function(u,color){
        color[u]='grey' //{5}
        console.log('Visited vertex: ' + u) //{6}
        var neighbors = adjList.get(u)    //{7}
        for(var i=0;i<neighbors.length;i++){   //{8}
            var w = neighbors[i]    //{9}
            if(color[w]==='white'){ //{10}
                dfsVisit(w,color)   //{11}
            }
        }
        color[u]='black' //{12}
    }
    var time = 0 //{1}
    this.DFS = function(){
        var color = initializeColor(), //{2}
        d = [],
        f = [],
        p = [];
        time = 0;
        for (var i=0; i<vertices.length; i++){ //{3}
            f[vertices[i]] = 0
            d[vertices[i]] = 0
            p[vertices[i]] = null
        }
        for (i=0; i<vertices.length; i++){
            if (color[vertices[i]] === 'white'){
                DFSVisit(vertices[i], color, d, f, p);
            }
        }
        return { //{4}
            discovery: d,
            finished: f,
            predecessors: p
        }   
    }
    var DFSVisit = function(u, color, d, f, p){
        console.log('discovered ' + u)
        color[u] = 'grey'
        d[u] = ++time //{5}
        var neighbors = adjList.get(u)
        for (var i=0; i<neighbors.length; i++){
            var w = neighbors[i]
            if (color[w] === 'white'){
                p[w] = u // {6}
                DFSVisit(w,color, d, f, p);
            }
        }
        color[u] = 'black'
        f[u] = ++time //{7}
        console.log('explored ' + u)
    }
    var INF = Number.MAX_SAFE_INTEGER
    this.graph = [  [0, 2, 4, 0, 0, 0],
                    [0, 0, 2, 4, 2, 0],
                    [0, 0, 0, 0, 3, 0],
                    [0, 0, 0, 0, 0, 2],
                    [0, 0, 0, 3, 0, 2],
                    [0, 0, 0, 0, 0, 0] ]
    this.dijkstra = function(src) {
        var dist = [], visited = [],
        length = this.graph.length
        for (var i = 0; i < length; i++) { //{1}
            dist[i] = INF
            visited[i] = false;
        }
        dist[src] = 0; //{2}
        for (var i = 0; i < length-1; i++) { //{3}
            var u = minDistance(dist, visited) //{4}
            visited[u] = true; //{5}
            for (var v = 0; v < length; v++) {
                if (!visited[v] &&
                    this.graph[u][v] != 0 && dist[u] != INF &&
                    dist[u] + this.graph[u][v] < dist[v]) { //{6}
                         dist[v] = dist[u] + this.graph[u][v] //{7}
                }
            }
        }
        return dist //{8}
    }
    var minDistance = function(dist, visited) {
        var min = INF, minIndex = -1;
        for (var v = 0; v < dist.length; v++) {
            if (visited[v] == false && dist[v] <= min) {
                min = dist[v];
                minIndex = v;
            }
        }
        return minIndex;
    }
    this.floydWarshall = function() {
        var dist = [],
        length = this.graph.length,
        i, j, k
        for (i = 0; i < length; i++) { //{1}
            dist[i] = []
            for (j = 0; j < length; j++) {
                if(this.graph[i][j]===0){
                    dist[i][j]=999
                }else{
                    dist[i][j] = this.graph[i][j]
                }
                if(i===j){
                    dist[i][j]=0
                }
            }
        }
        for (k = 0; k < length; k++) { //{2}
            for (i = 0; i < length; i++) {
                for (j = 0; j < length; j++) {
                    if (dist[i][k] + dist[k][j] < dist[i][j]) { //{3}
                        dist[i][j] = dist[i][k] + dist[k][j] //{4}
                    }
                }
            }
        }
        return dist;
    }
    this.prim = function() {
        var parent = [],
        key = [],
        visited = []
        length = this.graph.length,
        i
        for (i = 0; i < length; i++) { //{1}
            key[i] = INF
            visited[i] = false
        }
        key[0] = 0 //{2}
        parent[0] = -1
        for (i = 0; i < length-1; i++) { //{3}
            var u = minKey(key, visited) //{4}
            visited[u] = true //{5}
            for (var v = 0; v < length; v++) {
                if (this.graph[u][v] && visited[v] == false && this.graph[u][v] < key[v]) { //{6}
                    parent[v] = u //{7}
                    key[v] = this.graph[u][v] //{8}
                }
            }
        }
        return parent //{9}
    }
    this.kruskal = function() {
        var length = this.graph.length,
        parent = [], cost,
        ne = 0, a, b, u, v, i, j, min
        cost = initializeCost() //{1}
        while (ne < length-1) { //{2}
            for (i = 0, min = INF; i < length; i++) { //{3}
                for (j = 0; j < length; j++) {
                    if (cost[i][j] < min) {
                        min = cost[i][j]
                        u = i
                        v = j
                    }
                }
            }
            u = find(u, parent) //{4}
            v = find(v, parent) //{5}
            if (union(u, v, parent)) { //{6}
                ne++
            }
            cost[u][v] = cost[v][u] = INF //{7}
        }
        return parent
    }
    var find = function(i, parent) {
        while (parent[i]) {
            i = parent[i]
        }
        return i
    }
        
    var union = function(i, j, parent) {
        if (i != j) {
            parent[j] = i
            return true
        }
        return false
    }
}
// var graph = new Graph()
// var myVertices = ['A','B','C','D','E','F','G','H','I']
// for(var i=0;i<myVertices.length;i++){
//     graph.addVertex(myVertices[i])
// }
// graph.addEdge('A', 'B') //{9}
// graph.addEdge('A', 'C')
// graph.addEdge('A', 'D')
// graph.addEdge('C', 'D')
// graph.addEdge('C', 'G')
// graph.addEdge('D', 'G')
// graph.addEdge('D', 'H')
// graph.addEdge('B', 'E')
// graph.addEdge('B', 'F')
// graph.addEdge('E', 'I')
// graph.bfs(myVertices[0])
// var shortestPathA = graph.BFS(myVertices[0]);
// console.log(shortestPathA);
// var fromVertex = myVertices[0]; //{9}
// for (var i=1; i<myVertices.length; i++){ //{10}
//     var toVertex = myVertices[i], //{11}
//     path = new Stack(); //{12}
//     for (var v=toVertex; v!== fromVertex;
//         v=shortestPathA.predecessors[v]) { //{13}
//         path.push(v); //{14}
//     }
//     path.push(fromVertex); //{15}
//     var s = path.pop(); //{16}
//     while (!path.isEmpty()){ //{17}
//         s += ' - ' + path.pop(); //{18}
//     }
//     console.log(s); //{19}
// }
//console.log(graph.DFS())
// var graph = new Graph();
// myVertices = ['A','B','C','D','E','F'];
// for (i=0; i<myVertices.length; i++){
//     graph.addVertex(myVertices[i]);
// }
// graph.addEdge('A', 'C');
// graph.addEdge('A', 'D');
// graph.addEdge('B', 'D');
// graph.addEdge('B', 'E');
// graph.addEdge('C', 'F');
// graph.addEdge('F', 'E');
// var result = graph.DFS();
// console.log(result)
var graph = new Graph()
myVertices = ['A','B','C','D','E','F'];
for(var i=0;i<myVertices.length;i++){
    graph.addVertex(myVertices[i])
}
graph.addEdge('A', 'B');
graph.addEdge('A', 'C');
graph.addEdge('B', 'D');
graph.addEdge('B', 'E');
graph.addEdge('B', 'C');
graph.addEdge('C', 'E');
graph.addEdge('E', 'D');
graph.addEdge('E', 'F');
graph.addEdge('D', 'F');
console.log(graph.floydWarshall())
                
                  
                  
                  
                  
                            
本文围绕图数据结构展开,介绍了图的相关术语、表示方法,如邻接矩阵、邻接表和关联矩阵。还阐述了图的遍历算法,包括广度优先搜索和深度优先搜索,以及最短路径算法(Dijkstra、Floyd - Warshall)和最小生成树算法(Prim、Kruskal),并给出了JavaScript实现思路。
          
      
          
                
                
                
                
              
                
                
                
                
                
              
                
                
              
            
                  
被折叠的  条评论
		 为什么被折叠?
		 
		 
		
    
  
    
  
            


            