daima交响曲
码龄4年
求更新 关注
提问 私信
  • 博客:39,472
    社区:3
    39,475
    总访问量
  • 20
    原创
  • 223
    粉丝
  • 50
    关注
IP属地以运营商信息为准,境内显示到省(区、市),境外显示到国家(地区)
IP 属地:河南省
加入CSDN时间: 2020-12-26

个人简介:个人标签: 蜕变,迎接未来 作品形式: 依据规则,以例题运用规则,避免枯燥乏味,且内容以提亮重点部分实现快速阅读 总体来说:内容以简洁易观,规则,技巧为主

  • 毕业院校: 黄河科技学院
博客简介:

weixin_54009581的博客

查看详细资料
个人成就
  • 获得318次点赞
  • 内容获得12次评论
  • 获得528次收藏
  • 代码片获得312次分享
  • 原力等级
    原力等级
    3
    原力分
    283
    本月获得
    6
创作历程
  • 19篇
    2024年
  • 1篇
    2022年
成就勋章
TA的专栏
  • 软件测试
    1篇
  • python
    1篇
  • Mysql

TA关注的专栏 2

TA关注的收藏夹 0

TA关注的社区 3

TA参与的活动 0

兴趣领域 设置
  • Python
    python
  • Java
    java
  • 前端
    html5javascriptcssbootstrap
  • 最近
  • 文章
  • 专栏
  • 代码仓
  • 资源
  • 收藏
  • 关注/订阅/互动
更多
  • 最近

  • 文章

  • 专栏

  • 代码仓

  • 资源

  • 收藏

  • 关注/订阅/互动

  • 社区

  • 帖子

  • 问答

  • 课程

  • 视频

搜索 取消

微信开发者工具审查界面元素

打开调试器,点击左边的箭头,将鼠标放在界面上即可审查元素。
原创
发布博客 2024.09.25 ·
778 阅读 ·
9 点赞 ·
0 评论 ·
1 收藏

问题:机器字长为n位的二进制数可以用补码来表示()个不同的有符号定点整数。

概念:无论原码、反码、补码,n位二进制数可以表示2^n个数值。
原创
发布博客 2024.09.25 ·
513 阅读 ·
6 点赞 ·
0 评论 ·
4 收藏

postman中百度preview无法加载的解决方案

在使用postman关联时,百度接口与天气接口已使用glb_city关联,但在百度接口发送请求时,发现preview无法加载。不填内容,直接点击百度一下,会发现多出了一个www.baidu.com,左键单击。5、向下滑动,找到Request Headers,复制到百度接口的Header中。提醒:若无法使用F快捷键,可使用Fn+esc退出工具模式,再使用。或者右键点击页面——>检查。
原创
发布博客 2024.05.03 ·
791 阅读 ·
5 点赞 ·
0 评论 ·
8 收藏

软件测试(实验五)——Jmeter的使用

取样器、监听器、配置元件、断言、前置处理器、后置处理器、逻辑控制器、定时器。
原创
发布博客 2024.05.03 ·
1824 阅读 ·
20 点赞 ·
0 评论 ·
50 收藏

编绎原理 - 构造LR(0)分析表与输入串分析过程表

包括:什么是LR(0)文法,——例题讲解LR(0)分析表与过程的实现步骤。——最后提供练习与答案以供掌握。——LR(0)是LR分析的基础,因此解释的较为详细。——可以直接跳转到未掌握的地方阅读。
原创
发布博客 2024.04.27 ·
3740 阅读 ·
37 点赞 ·
1 评论 ·
102 收藏

编绎原理 - 某些非LL(1)文法到LL(1)文法的等价变换

包括:什么是左公因子、左递归,——为什么非LL(1)文法要消除左公因子、左递归,——以及消除左公因子、左递归的技巧
原创
发布博客 2024.04.25 ·
1265 阅读 ·
9 点赞 ·
1 评论 ·
25 收藏

编绎原理 - LL(1)预测分析表与预测分析过程表

课本看不懂?老师讲得听不懂?没关系,一篇技巧文章让你轻松掌握
原创
发布博客 2024.04.25 ·
1854 阅读 ·
15 点赞 ·
1 评论 ·
38 收藏

软件测试(实验三)

postman断言、postman关联、postman参数化、postman生成测试报告。iHRM人力资源管理系统测试+postman接口ppt资源链接
原创
发布博客 2024.04.22 ·
1650 阅读 ·
22 点赞 ·
1 评论 ·
35 收藏

BootStrap中导航(代码+结果展示)

导航内容:标签式导航,胶囊导航,面包屑导航,下拉菜单的实现。形式:适用情况+效果+代码+代码解释+运行结果。
原创
发布博客 2024.04.15 ·
1518 阅读 ·
28 点赞 ·
1 评论 ·
22 收藏

BootStrap按钮——避免繁琐,快速掌握

效果图+源代码,可理解,可上手练习,主打一个速速掌握~
原创
发布博客 2024.04.15 ·
444 阅读 ·
12 点赞 ·
2 评论 ·
2 收藏

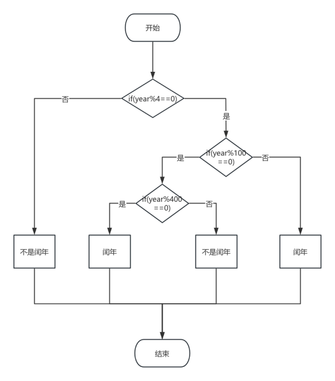
软件测试(实验二)-白盒测试

题目一:基本路径法,判断是否为闰年,题目二:三角形的逻辑覆盖,题目三:代码插桩法
原创
发布博客 2024.04.12 ·
2848 阅读 ·
37 点赞 ·
0 评论 ·
56 收藏

计算机网络(实验三 - 虚拟局域网-跨交换机相同VLAN间通信)

一. 实验目的控制PC实现相同vlan可跨交换机通信二. 实验要求按照要求进行连线,并根据要求设置联通测试结果。1. IP设置:S-A 192.168.2.11 255.255.255.0S-B 192.168.2.12 255.255.255.02.PC与交换机连接端口PC机 ip地址 子网掩码 连线位置PC1 192.168.2.101 255.255.255.0 A-0
原创
发布博客 2024.04.12 ·
1103 阅读 ·
28 点赞 ·
0 评论 ·
20 收藏

小白福利(PS快捷键桌面壁纸来啦~请签收) \ (๑> ◡<๑) /

看不了吃亏,看不了上当,看到就是赚到!————PS快捷键桌面壁纸+桌面壁纸使用方式教程(限win11)+资源链接+PSD文件图片样式处理
原创
发布博客 2024.04.07 ·
1435 阅读 ·
9 点赞 ·
0 评论 ·
11 收藏

编译原理-LL(1)文法判别-避免繁琐,依据规则进行掌握

课本看不懂?老师讲得听不懂?没关系,一篇技巧文章让你轻松掌握
原创
发布博客 2024.04.07 ·
2014 阅读 ·
25 点赞 ·
2 评论 ·
58 收藏

计算机网络(实验二-控制PC间的通信)

2. 测试要求1. 内容在交换机S-A上划分3个基于端口的 VLAN: VLAN10 1-6 VLAN20 7-12 VLAN30 13-16使得 VLAN10的成员能够互相访问;VLAN20的成员能够互相访问;VLAN30的成员能够互相访问;VLAN10,VLAN20和VLAN30成员之间不能互相访问;
原创
发布博客 2024.03.31 ·
958 阅读 ·
8 点赞 ·
1 评论 ·
13 收藏

计算机网络(实验二) - 控制PC之间的通信

2. 测试要求1. 内容在交换机S-A上划分3个基于端口的 VLAN: VLAN10 1-6 VLAN20 7-12 VLAN30 13-16使得 VLAN10的成员能够互相访问;VLAN20的成员能够互相访问;VLAN30的成员能够互相访问;VLAN10,VLAN20和VLAN30成员之间不能互相访问.
原创
发布博客 2024.03.31 ·
757 阅读 ·
15 点赞 ·
1 评论 ·
27 收藏

通过例题练习Java中for循环与while循环的规律

1.规律无论是数学也好,编程也好,其本质上都是找规律,并且运用规律for循环的规律是获取循环的次数或范围,以及获取循环的过程while循环的规律是获取结束条件(可通过先循环后判断的思路,即刚开始可以先不写循环条件),以及获取循环的过程而这些可以通过泛举来推导
原创
发布博客 2024.03.31 ·
411 阅读 ·
7 点赞 ·
1 评论 ·
6 收藏

计算机软考报名网

软考报名网站,可通过报名入口查看具体考试时间
原创
发布博客 2024.03.22 ·
232 阅读 ·
3 点赞 ·
1 评论 ·
0 收藏

数据库表结构转Excel(Mysql workbench)

1. describe 表名; 显示表结构2. 选择表进行复制3. 打开WPS,粘贴。4.点击上方插入选择表格,依据需要内容行列数进行创建。5.选择sql表列或者行,进行复制。6.按照行或者列粘贴至WPS表格。
原创
发布博客 2024.03.15 ·
1065 阅读 ·
7 点赞 ·
1 评论 ·
13 收藏

python实现空行,换行(简单易懂)

换行的简单应用
原创
发布博客 2022.03.18 ·
13240 阅读 ·
15 点赞 ·
0 评论 ·
28 收藏
加载更多