目录
题目来源:牛客网(NewCoder)
对于一个链表,请设计一个时间复杂度为O(n),额外空间复杂度为O(1)的算法,判断其是否为回文结构。给定一个链表的头指针A,请返回一个bool值,代表其是否为回文结构。保证链表长度小于等于900。
测试样例:
1->2->2->1
返回:true
一、解题思路
什么是回文链表?
回文链表指的是链表节点值从前往后读和从后往前读完全一致,例如:
1->2->2->1
1->2->3->2->1
1(单个节点)
空链表
对于这种题型,我们可以通过快慢指针+链表反转进行解决,主要分为以下三步:
二、完整代码
/*
struct ListNode {
int val;
struct ListNode *next;
ListNode(int x) : val(x), next(NULL) {}
};
*/
typedef struct ListNode Node;
class PalindromeList {
public:
bool chkPalindrome(ListNode* A) {
// 空链表或单个节点链表都是回文
if (A == NULL || A->next == NULL)
{
return true;
}
//使用快慢指针找到链表中点
Node* fast = A;
Node* slow = A;
Node* prev = NULL;
// 快指针每次走两步,慢指针每次走一步
// 当快指针到达链表末尾时,慢指针正好到达中点(或中点前一个)
while (fast != NULL && fast->next != NULL)
{
prev = slow; // 记录慢指针的前一个节点
fast = fast->next->next;
slow = slow->next;
}
// 将链表从中间断开,分为前后两部分
// 注意:prev可能是NULL(当链表只有两个节点时)
if (prev != NULL)
{
prev->next = NULL;
}
// 反转后半部分链表
Node* l1 = NULL; // 反转后新链表的头节点
Node* l2 = slow; // 当前待反转的节点
Node* l3 = NULL; // 临时保存下一个节点
while (l2 != NULL)
{
l3 = l2->next; // 保存下一个节点
l2->next = l1; // 当前节点指向前一个节点
l1 = l2; // 更新新链表的头节点
l2 = l3; // 移动到下一个待反转节点
}
// 此时l1是反转后的后半部分链表的头节点
slow = l1;
// 比较前后两部分链表
Node* front = A;
while (front != NULL && slow != NULL)
{
if (front->val != slow ->val)
{
return false; // 发现不匹配,不是回文
}
front = front->next;
slow = slow ->next;
}
// 注意:链表长度可能是奇数,此时后半部分会比前半部分多一个节点
// 但这个多出来的节点是原链表的中间节点,不需要比较
return true; // 所有节点都匹配,是回文
}
};
三、图解
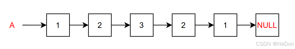
假设有链表A:
1.初始化

2.获取中间节点
fast指针每次向后走两步,slow指针每次往后走一步,当fast指针到达最后一个节点或者NULL到达NULL时,slow正好落于链表的中间节点,prev指针指向前链表的末端。
fast = NULL || fast->next = NULL;

此时:
prev = 节点2,正好是前链表的最后一个节点,需要将其next指向NULL;
slow作为后一个链表反转的初始头(后面将是尾);

3.反转后链表

参考反转链表的实现,我们可以得到以下新链表

至此,我们已经获取了两个链表,分别为前链表和后链表

4.比较链表
这里为了避免更改原链表头指针,我们可以将slow指针重新指向后一个链表的头节点,然后创建一个指针指向前链表的头节点。

比较过程:
1. front=1, back=1 → 相等
2. front=2, back=2 → 相等
3. front=NULL, back=3 → 前半部分结束
虽然后半部分还有节点3,但这是原链表的中间节点,不需要比较,所以链表是回文结构
四、常见错误与注意事项
1.边界处理
// 错误:没有处理空链表或单节点链表
// 正确做法:
if (A == NULL || A->next == NULL)
{
return true;
}
2.快慢指针终止条件
// 错误:只检查fast->next,可能访问空指针
while (fast->next) // 如果fast为NULL,会访问空指针的next
{
fast = fast->next->next;
slow = slow->next;
}
// 正确:同时检查fast和fast->next
while (fast != NULL && fast->next != NULL)
{
fast = fast->next->next;
slow = slow->next;
}
3.链表断开时空指针问题
// 错误:假设prev总是非空
prev->next = NULL; // 如果链表只有两个节点,prev可能是NULL
// 正确:检查prev是否为空
if (prev != NULL)
{
prev->next = NULL;
}
4.比较的终止信号
// 错误:只比较到其中一个链表结束
while (front != NULL) // 如果后半部分比前半部分短,会访问空指针
{
if (front->val != slow->val)
{
return false;
}
front = front->next;
slow= slow->next;
}
// 正确:两个链表都要检查
while (front != NULL && slow!= NULL)
{
if (front->val != slow->val)
{
return false;
}
front = front->next;
slow= slow->next;
}
五、复杂度分析
时间复杂度:O(n)
O(n) + O(n) + O(n) = O(3n) = O(n)
空间复杂度:O(1)
六、总结
通过快指针每次走两步、慢指针每次走一步的方式,在单次遍历中找到链表中点。将链表的后半部分原地反转,这样我们就可以从两端向中间比较。同时遍历前半部分和反转后的后半部分,比较对应位置的节点值。
虽然需要多次遍历链表,但每次遍历都是O(n)时间复杂度。
1229

被折叠的 条评论
为什么被折叠?



