
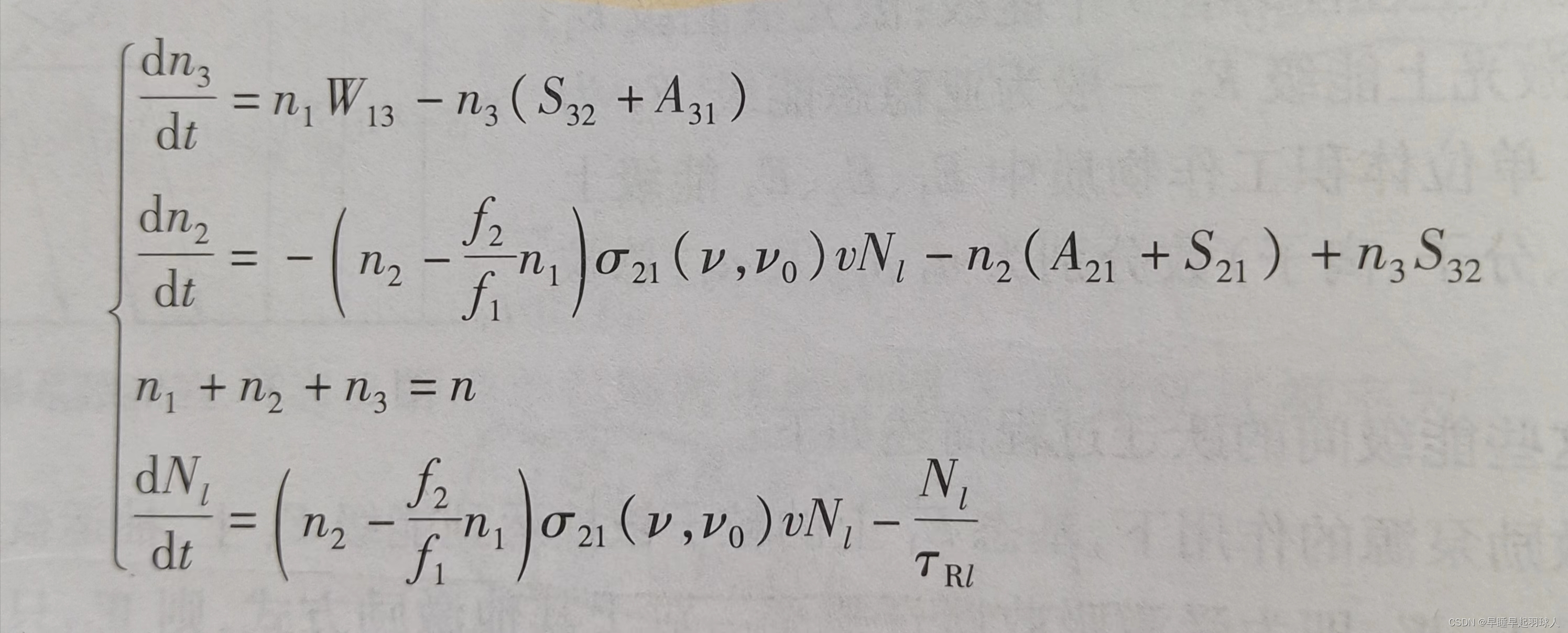
matlab用ode15s求解红宝石三能级速率方程
为简化起见已令n1,n2能级统计权重f1=f2,其中代码里NT为图片中n,taoL为taoRL。(仅做学习记录使用,不能保证绝对正确)
TA关注的专栏 0
TA关注的收藏夹 0
TA关注的社区 0
TA参与的活动 0

王者杯·14天创作挑战营·第2期
这是一个以写作博客为目的的创作活动,旨在鼓励码龄大于4年的博主们挖掘自己的创作潜能,展现自己的写作才华。如果你是一位热爱写作的、想要展现自己创作才华的小伙伴,那么,快来参加吧!我们一起发掘写作的魅力,书写出属于我们的故事。 注: 1、参赛者可以进入活动群进行交流、分享创作心得,互相鼓励与支持(开卷),答疑及活动群请见https://bbs.csdn.net/topics/619735097 2、文章质量分查询:https://www.csdn.net/qc 我们诚挚邀请你们参加为期14天的创作挑战赛!


最近
文章
专栏
代码仓
资源
收藏
关注/订阅/互动
社区
帖子
问答
课程
视频
