题目描述
给你一个整数数组
nums,其中元素已经按 升序 排列,请你将其转换为一棵平衡
二叉搜索树。示例 1:
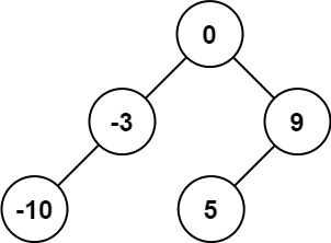
输入:nums = [-10,-3,0,5,9] 输出:[0,-3,9,-10,null,5] 解释:[0,-10,5,null,-3,null,9] 也将被视为正确答案:
示例 2:
输入:nums = [1,3] 输出:[3,1] 解释:[1,null,3] 和 [3,1] 都是高度平衡二叉搜索树。提示:
1 <= nums.length <= 104-104 <= nums[i] <= 104nums按 严格递增 顺序排列
方法一
思路:
要把数组转换为平衡数,左右两侧的深度相差不能超过1,所以很自然的选择中位数当作当前子树的根。
代码:
/**
* Definition for a binary tree node.
* public class TreeNode {
* int val;
* TreeNode left;
* TreeNode right;
* TreeNode() {}
* TreeNode(int val) { this.val = val; }
* TreeNode(int val, TreeNode left, TreeNode right) {
* this.val = val;
* this.left = left;
* this.right = right;
* }
* }
*/
class Solution {
public TreeNode sortedArrayToBST(int[] nums) {
return helper(nums,0,nums.length-1);
}
public TreeNode helper(int[] nums,int left,int right){
if(left>right) return null;
int mid=(left+right)/2;
TreeNode root=new TreeNode(nums[mid]);
root.left=helper(nums,left,mid-1);
root.right=helper(nums,mid+1,right);
return root;
}
}
参考链接:
文章讲述了如何将一个已按升序排列的整数数组转换为一棵高度平衡的二叉搜索树,通过选择数组的中位数作为根节点并递归地构建左右子树实现这一过程。



1016

被折叠的 条评论
为什么被折叠?



