题目描述
给定一个二叉搜索树的根节点
root,和一个整数k,请你设计一个算法查找其中第k个最小元素(从 1 开始计数)。示例 1:
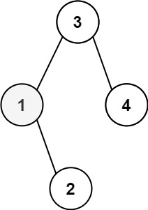
输入:root = [3,1,4,null,2], k = 1 输出:1示例 2:
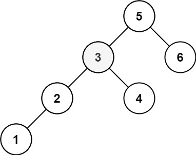
输入:root = [5,3,6,2,4,null,null,1], k = 3 输出:3提示:
- 树中的节点数为
n。1 <= k <= n <= 1040 <= Node.val <= 104进阶:如果二叉搜索树经常被修改(插入/删除操作)并且你需要频繁地查找第
k小的值,你将如何优化算法?
方法一
思路:
搜索树中序遍历的结果是升序的。
代码:
/**
* Definition for a binary tree node.
* public class TreeNode {
* int val;
* TreeNode left;
* TreeNode right;
* TreeNode() {}
* TreeNode(int val) { this.val = val; }
* TreeNode(int val, TreeNode left, TreeNode right) {
* this.val = val;
* this.left = left;
* this.right = right;
* }
* }
*/
class Solution {
List<Integer> list=new ArrayList<Integer>();
public int kthSmallest(TreeNode root, int k) {
zhongxu(root);
return list.get(k-1);
}
public void zhongxu(TreeNode root){
if(root!=null){
zhongxu(root.left);
list.add(root.val);
zhongxu(root.right);
}
}
}
方法二
思路:
中序遍历,每访问一个节点就k--,k==0时就找到第k小的
代码:
/**
* Definition for a binary tree node.
* public class TreeNode {
* int val;
* TreeNode left;
* TreeNode right;
* TreeNode() {}
* TreeNode(int val) { this.val = val; }
* TreeNode(int val, TreeNode left, TreeNode right) {
* this.val = val;
* this.left = left;
* this.right = right;
* }
* }
*/
class Solution {//中序遍历第k个
int k, res;
public int kthSmallest(TreeNode root, int k) {
this.k = k;
inorder(root);
return res;
}
public void inorder(TreeNode root){
if(root==null) return;
inorder(root.left);
k--;
if(k==0){
res = root.val;
return;
}
inorder(root.right);
}
}
文章介绍了在二叉搜索树中查找第k小元素的两种方法:常规的中序遍历存储并返回,以及在遍历时动态减少目标k的版本。后一种方法在频繁插入/删除操作下更优。


184

被折叠的 条评论
为什么被折叠?



