题目描述
给你二叉树的根结点
root,请你将它展开为一个单链表:
- 展开后的单链表应该同样使用
TreeNode,其中right子指针指向链表中下一个结点,而左子指针始终为null。- 展开后的单链表应该与二叉树 先序遍历 顺序相同。
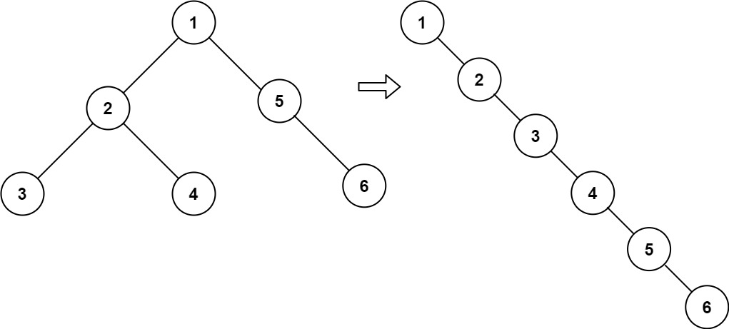
示例 1:
输入:root = [1,2,5,3,4,null,6] 输出:[1,null,2,null,3,null,4,null,5,null,6]示例 2:
输入:root = [] 输出:[]示例 3:
输入:root = [0] 输出:[0]提示:
- 树中结点数在范围
[0, 2000]内-100 <= Node.val <= 100进阶:你可以使用原地算法(
O(1)额外空间)展开这棵树吗?
方法一
思路:
先序遍历先得到一个List,然后将List变化为链表,
代码:
/**
* Definition for a binary tree node.
* public class TreeNode {
* int val;
* TreeNode left;
* TreeNode right;
* TreeNode() {}
* TreeNode(int val) { this.val = val; }
* TreeNode(int val, TreeNode left, TreeNode right) {
* this.val = val;
* this.left = left;
* this.right = right;
* }
* }
*/
class Solution {
public void flatten(TreeNode root) {
List<TreeNode> list=new ArrayList<TreeNode>();
preorder(root,list);
int size=list.size();
for(int i=1;i<size;i++){
TreeNode preNode=list.get(i-1);
TreeNode currentNode=list.get(i);
preNode.left=null;
preNode.right=currentNode;
}
}
public void preorder(TreeNode root,List<TreeNode> list){
if(root!=null) {
list.add(root);
preorder(root.left,list);
preorder(root.right,list);
}
}
}
文章描述了如何将给定的二叉树按照先序遍历顺序展开成一个单链表,使用递归方法实现,并要求使用O(1)额外空间。给出了一段Java代码示例作为解决方案。

247

被折叠的 条评论
为什么被折叠?



