题目描述
二叉树中的 路径 被定义为一条节点序列,序列中每对相邻节点之间都存在一条边。同一个节点在一条路径序列中 至多出现一次 。该路径 至少包含一个 节点,且不一定经过根节点。
路径和 是路径中各节点值的总和。
给你一个二叉树的根节点
root,返回其 最大路径和 。示例 1:
输入:root = [1,2,3] 输出:6 解释:最优路径是 2 -> 1 -> 3 ,路径和为 2 + 1 + 3 = 6示例 2:
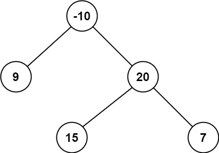
输入:root = [-10,9,20,null,null,15,7] 输出:42 解释:最优路径是 15 -> 20 -> 7 ,路径和为 15 + 20 + 7 = 42提示:
- 树中节点数目范围是
[1, 3 * 104]-1000 <= Node.val <= 1000
方法一
思路:
最大贡献值:以该节点为根节点的子树中寻找以该节点为起点的一条路径,使得该路径上的节点值之和最大。
递归地求出每个节点的最大贡献值,穿过该节点的最大路径和就是左最大贡献值+右最大贡献值+节点值。若当前路径和大于最大路径和,替换。
代码:
/**
* Definition for a binary tree node.
* public class TreeNode {
* int val;
* TreeNode left;
* TreeNode right;
* TreeNode() {}
* TreeNode(int val) { this.val = val; }
* TreeNode(int val, TreeNode left, TreeNode right) {
* this.val = val;
* this.left = left;
* this.right = right;
* }
* }
*/
class Solution {
int maxSum=Integer.MIN_VALUE;
public int maxPathSum(TreeNode root) {
maxGain(root);
return maxSum;
}
public int maxGain(TreeNode node){
if(node==null) return 0;
int leftGain=Math.max(maxGain(node.left),0);
int rightGain=Math.max(maxGain(node.right),0);
int priceNewpath=node.val+leftGain+rightGain;
maxSum=Math.max(maxSum,priceNewpath);
return node.val+Math.max(leftGain,rightGain);
}
}
本文介绍了一种解决二叉树中最大路径和问题的方法,利用递归计算每个节点的贡献值,找出路径和最大的路径。


542

被折叠的 条评论
为什么被折叠?



