题目描述
给你一个链表的头节点
head,判断链表中是否有环。如果链表中有某个节点,可以通过连续跟踪
next指针再次到达,则链表中存在环。 为了表示给定链表中的环,评测系统内部使用整数pos来表示链表尾连接到链表中的位置(索引从 0 开始)。注意:pos不作为参数进行传递 。仅仅是为了标识链表的实际情况。如果链表中存在环 ,则返回
true。 否则,返回false。示例 1:
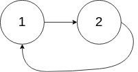
输入:head = [3,2,0,-4], pos = 1 输出:true 解释:链表中有一个环,其尾部连接到第二个节点。示例 2:
输入:head = [1,2], pos = 0 输出:true 解释:链表中有一个环,其尾部连接到第一个节点。示例 3:
输入:head = [1], pos = -1 输出:false 解释:链表中没有环。提示:
- 链表中节点的数目范围是
[0, 104]-105 <= Node.val <= 105pos为-1或者链表中的一个 有效索引 。进阶:你能用
O(1)(即,常量)内存解决此问题吗?
方法一
思路:
用哈希表,遍历判断有无出现过。
代码:
/**
* Definition for singly-linked list.
* class ListNode {
* int val;
* ListNode next;
* ListNode(int x) {
* val = x;
* next = null;
* }
* }
*/
public class Solution {
public boolean hasCycle(ListNode head) {
Set<ListNode> vis= new HashSet<ListNode>();
while(head!=null){
if(!vis.add(head)){
return true;
}
head=head.next;
}
return false;
}
}
方法二 快慢指针
思路:
如果一个链表存在环,那么快慢指针必然会相遇。
代码:
/**
* Definition for singly-linked list.
* class ListNode {
* int val;
* ListNode next;
* ListNode(int x) {
* val = x;
* next = null;
* }
* }
*/
public class Solution {
public boolean hasCycle(ListNode head) {
if(head==null ||head.next==null) return false;
ListNode fast=head;
ListNode slow=head;
while(fast!=null){
fast=fast.next;
if(fast!=null) fast=fast.next;
slow=slow.next;
if(slow==fast) return true;
}
return false;
}
}
快慢指针可以解决好多链表的问题,看上面的题解。
无法高效获取长度,无法根据偏移快速访问元素,是链表的两个劣势。然而面试的时候经常碰见诸如获取倒数第k个元素,获取中间位置的元素,判断链表是否存在环,判断环的长度等和长度与位置有关的问题。这些问题都可以通过灵活运用双指针来解决。



268

被折叠的 条评论
为什么被折叠?



