题目描述
给你一个链表,删除链表的倒数第
n个结点,并且返回链表的头结点。示例 1:
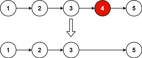
输入:head = [1,2,3,4,5], n = 2 输出:[1,2,3,5]示例 2:
输入:head = [1], n = 1 输出:[]示例 3:
输入:head = [1,2], n = 1 输出:[1]提示:
- 链表中结点的数目为
sz1 <= sz <= 300 <= Node.val <= 1001 <= n <= sz进阶:你能尝试使用一趟扫描实现吗?
方法一
思路:
先数总长度,然后推出是正数第几个。
代码:
/**
* Definition for singly-linked list.
* public class ListNode {
* int val;
* ListNode next;
* ListNode() {}
* ListNode(int val) { this.val = val; }
* ListNode(int val, ListNode next) { this.val = val; this.next = next; }
* }
*/
class Solution {
public ListNode removeNthFromEnd(ListNode head, int n) {
ListNode aheadHead= new ListNode(0,head);
int length=getLength(head);
ListNode cur=aheadHead;
for(int i=1;i<length-n+1;i++){
cur=cur.next;
}
cur.next=cur.next.next;
return aheadHead.next;
}
public int getLength(ListNode head){
int length=0;
while(head!=null){
length++;
head=head.next;
}
return length;
}
}


被折叠的 条评论
为什么被折叠?



