题目描述
给你一个链表,两两交换其中相邻的节点,并返回交换后链表的头节点。你必须在不修改节点内部的值的情况下完成本题(即,只能进行节点交换)。
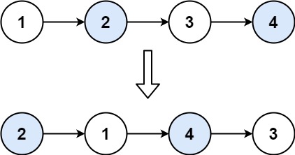
示例 1:
输入:head = [1,2,3,4] 输出:[2,1,4,3]示例 2:
输入:head = [] 输出:[]示例 3:
输入:head = [1] 输出:[1]提示:
- 链表中节点的数目在范围
[0, 100]内0 <= Node.val <= 100
方法一
思路:
只有一个节点或者节点为null时直接返回。
其他情况就是把第二个节点放到第一个位置上,第一个节点放到第二个位置,把原本的第二个以及之后整理好的挂在现在的第二个上。
代码:
/**
* Definition for singly-linked list.
* public class ListNode {
* int val;
* ListNode next;
* ListNode() {}
* ListNode(int val) { this.val = val; }
* ListNode(int val, ListNode next) { this.val = val; this.next = next; }
* }
*/
class Solution {
public ListNode swapPairs(ListNode head) {
if(head==null|| head.next==null) return head;
ListNode newHead=head.next;
head.next=swapPairs(newHead.next);
newHead.next=head;
return newHead;
}
}

969

被折叠的 条评论
为什么被折叠?



