目标:找到一个超平面,使他能够尽可能多的将两类数据点正确分开,同时使分开的两类数据点距离分类平面最远。
SVM是一种二分类模型,它的基本模型是定义在特征空间的间隔最大化的分类器
函数间隔和几何间隔
-
样本点的函数间隔:
-
样本点的几何间隔(点到平面的距离):
间隔最大化:
线性可分SVM
-
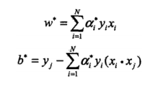
求解过程
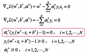
KKT条件:
2. 支持向量
在线性可分情况下,训练数据集的样本点中与分离超平面距离最近的样本点的实例称为支持向量
最终模型仅与支持向量有关
3. 线性可分SVM学习算法
4. SMO算法
软间隔最大化
-
求解过程
KKT条件:
2. 软间隔线性SVM算法
3. 软间隔的支持向量
核函数与核方法
-
核函数
2. 表示定理
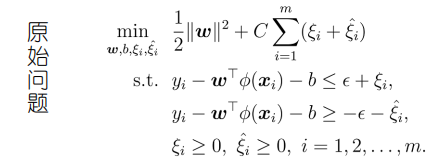
支持向量回归
SVM(支持向量机)是一种二分类模型,其目标是找到能最大化间隔的超平面,确保两类数据点被正确分开且距离超平面最远。支持向量是离超平面最近的数据点,在线性可分情况下,模型只与这些点相关。SVM通过KKT条件求解,软间隔处理非线性问题,而核函数则允许SVM进行非线性变换,实现高效分类。此外,SVM还应用于支持向量回归等任务。

被折叠的 条评论
为什么被折叠?



