若变量间存在显式的因果关系,常使用贝叶斯网。
若变量间存在相关性但难以获取显式的因果关系,常使用马尔可夫网。
一、贝叶斯网
贝叶斯网 亦称“信念网”它借助有向无环图来刻画属性间的依赖关系,并使用条件概率表
来表述属性的联合概率分布。
二、隐马尔可夫模型
1、马尔可夫模型
例子:
2、隐马尔可夫模型
3、隐马尔可夫模型三种类型的问题
-
评价问题
前向算法:
后向算法:
-
解码问题
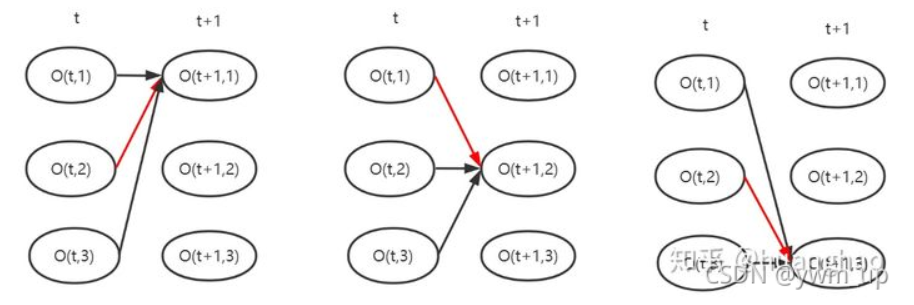
维特比算法:
Viterbi算法是每次记录到当前时刻,每个观察标签的最优序列,如下图,假设在t时刻已经保存了从0到t时刻的最优路径,那么t+1时刻只需要计算从t到t+1的最优就可以了,图中红箭头表示从t时刻到t+1时刻,观测标签为1,2,3的最优。
每次只需要保存到当前位置最优路径,之后循环向后走。到结束时,从最后一个时刻的最优值回溯到开始位置,回溯完成后,这个从开始到结束的路径就是最优的
-
学习问题
鲍姆-韦尔奇算法流程:
1439

被折叠的 条评论
为什么被折叠?



