(创作不易,感谢有你,你的支持,就是我前行的最大动力,如果看完对你有帮助,请留下您的足迹)
目录
初识图:
图G(graph)是一些点和线的集合。

图中的这些点叫作顶点( vertices)
两个顶点的连线叫作边( edges)
定义:
图:Graph = ( V , E )
V:顶点(数据元素)的有穷非空集合
E:边的有穷集合
有向图和无向图:
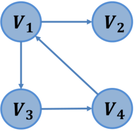
有向图:
每一条边都是有方向的<V1,V3>,<V3,V4>....
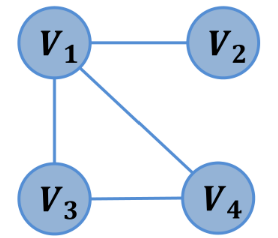
无向图:

每一条边都是无方向的(V1,V3),(V3,V1)......
完全图:
任意两个顶点都有一条边相连的图叫做完全图

无向完全图
n(n-1)/2条边
有向完全图
n(n-1)条边
网:
定义:网是边或弧带权的图。
图的边或弧所具有的相关数称为权

无向网
有向网
图的常用术语:
邻接:有边/弧相连的两个顶点之间的关系。
存在(𝑉 𝑗 ,𝑉𝑘 ),则称𝑉 𝑗 和𝑉 𝑘 互为邻接点;
存在<𝑉 𝑗 ,𝑉𝑘 >,则称𝑉 𝑗 邻接到𝑉 𝑘 ,𝑉 𝑘 邻接于𝑉 𝑗顶点的度:与该顶点相关联的边的数目,记为TD(v)
(无向图的边数为各顶点度数和的一半)
(有向图顶点的度为出度+入度)
路径:连续的边构成的顶点序列
路径长度:路径上边或弧的数目/权值之和
回路(环):第一个顶点和最后一个顶点相同的路径。
简单路径:除路径起点和重点可以相同外,其余顶点均不相同的路径。
简单回路:除路径起点和终点相同外,其余顶点均不相同的路径。
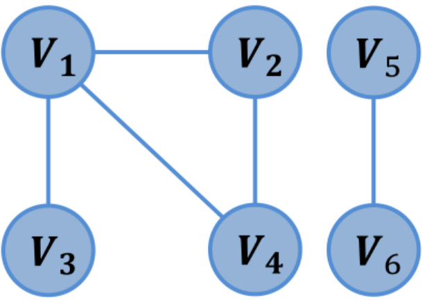
连通图:
在图G=(V,E)中,若对任何两个顶点v、u都存在从v到u的路径,则称G是连通图(强连通图)

连通图

非连通图

强连通图

非强连通图
本文介绍了图论的基本概念,包括图的定义,如顶点和边,以及有向图和无向图的区别。完全图是指任意两个顶点间都有边相连的图,分为有向和无向两种情况。网是有权图,边或弧带有特定的数值(权重)。此外,文章还讨论了图的连通性,连通图意味着图中任意两个顶点都能通过路径到达。
1万+

被折叠的 条评论
为什么被折叠?



