textrank抽取式文本摘要
写在最前面
最近在做文本摘要任务,将持续更新以下方法及代码

参考:https://blog.csdn.net/sinat_21843047/article/details/89458435
https://my.oschina.net/letiantian/blog/351154?fromerr=MH7VMUJY
原理
TextRank 算法基于 PageRank,用于为文本生成关键字和摘要。其论文是:
Mihalcea R, Tarau P. TextRank: Bringing order into texts[C]. Association for Computational Linguistics, 2004.
pagerank算法
该方法起源于pagerank
PageRank 最开始用来计算网页的重要性。整个 www 可以看作一张有向图图,节点是网页。如果网页 A 存在到网页 B 的链接,那么有一条从网页 A 指向网页 B 的有向边。
构造完图后,使用下面的公式:

S (Vi) 是网页 i 的中重要性(PR 值)。d 是阻尼系数,一般设置为 0.85。In (Vi) 是存在指向网页 i 的链接的网页集合。Out (Vj) 是网页 j 中的链接存在的链接指向的网页的集合。|Out (Vj)| 是集合中元素的个数。
PageRank 需要使用上面的公式多次迭代才能得到结果。初始时,可以设置每个网页的重要性为 1。上面公式等号左边计算的结果是迭代后网页 i 的 PR 值,等号右边用到的 PR 值全是迭代前的。
关键词提取
将原文本拆分为句子,在每个句子中过滤掉停用词(可选),并只保留指定词性的单词(可选)。
由此可以得到句子的集合和单词的集合。
每个单词作为pagerank中的一个节点。设定窗口大小为k,假设一个句子依次由下面的单词组成:
w1,w2,w3,w4,w5,..., wn
w1,w2,…, wk、 w2,w3,… .,wk+1、 w3,w4,… ,wk+2等都是一个窗口。在一个窗口中的任两个单词对应的节点之间存在一个无向无权的边。
基于上面构成图,可以计算出每个单词节点的重要性。最重要的若干单词可以作为关键词。
关键短语提取
参照关键词提取提取出若干关键词。若原文本中存在若干个关键词相邻的情况,那么这些关键词可以构成一个关键词组。
例如,在一篇介绍支持向量机的文章中,可以找到关键词支持、向量、机,通过关键词组提取,可以得到支持向量机。
摘要生成
将每个句子看成图中的一个节点,若两个句子之间有相似性,认为对应的两个节点之间有一个无向有权边,权值是相似度。
通过pagerank 算法计算得到的重要性最高的若干句子可以当作摘要。
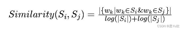
论文中使用下面的公式计算两个句子 Si 和 Sj 的相似度:

分子是在两个句子中都出现的单词的数量。|Si | 是句子 i 的单词数。
由于是有权图,PageRank 公式略做修改:

代码
关于TextRank4ZH
TextRank一算法可以用来从文本中提取关键词和摘要(重要的句子)。TextRank4ZH是针对中文文本的TextRank算法的python算法一实现。
https://github.com/letiantian/TextRank4ZH
安装
依赖
jieba >= 0.35
numpy >= 1.7.1
networkx >= 1.9.1
pip install textrank4zh
使用示例
类TextRank4Keyword、TextRank4Sentence在处理一段文本时会将文本拆分成4种格式:
sentences:由句子组成的列表。
words_no_filter:对sentences中每个句子分词而得到的两级列表。
words_no_stop_words:去掉words_no_filter中的停止词而得到的二维列表。
words_all_filters:保留words_no_stop_words中指定词性的单词而得到的二维列表。
代码1:抽取200字以内摘要
from textrank4zh import TextRank4Sentence
import pandas as pd
tr4s = TextRank4Sentence()
# 抽取200字摘要
def sample_generate(text):
tr4s.analyze(text=text, lower=True, source = 'all_filters')
print()
print( '摘要:' )
lennum = 0
summary = ''
for item in tr4s.get_key_sentences(num=3):
lennum = lennum + len(item.sentence)
if lennum > 200:
break
summary = summary + item.sentence + '。'
# print(summary)
return summary
def generate_file(df):
df = df.copy()
generate_diagnosis = []
i = 1
for description in df.iloc[:,0]:
summary = sample_generate(description)
generate_diagnosis.append(summary)
print(i,"摘要:",summary)
i = i + 1
df.loc[:, "generate_diagnosis"] = generate_diagnosis
df.to_excel("textrank生成1.xlsx", sheet_name='Sheet1', index=False)
if __name__ == '__main__':
filepath = './data/test.tsv'
file = pd.read_csv(filepath, sep='\t')
generate_file(file)
代码2:摘要词、句
from textrank4zh import TextRank4Keyword, TextRank4Sentence
# text = open('./data/1.txt', 'r', 'gbk').read()
text = '需要摘要的句子'
tr4w = TextRank4Keyword()
tr4w.analyze(text=text, lower=True, window=2) # py2中text必须是utf8编码的str或者unicode对象,py3中必须是utf8编码的bytes或者str对象
print( '关键词:' )
for item in tr4w.get_keywords(20, word_min_len=1):
print(item.word, item.weight)
print()
print( '关键短语:' )
for phrase in tr4w.get_keyphrases(keywords_num=20, min_occur_num= 2):
print(phrase)
tr4s = TextRank4Sentence()
tr4s.analyze(text=text, lower=True, source = 'all_filters')
print()
print( '摘要:' )
for item in tr4s.get_key_sentences(num=3):
print(item.index, item.weight, item.sentence) # index是语句在文本中位置,weight是权重
报错处理
报错1:AttributeError: module ‘networkx’ has no attribute ‘from_numpy_matrix’
使用networkx 3.0及以上版本,可能会报这个错误;暂时可将版本降低到1.9.1。
pip3 install networkx==1.9.1
报错2lmportError: cannot import name ‘escape’ from ‘cgi’(Users/xx/miniconda3/iblpython3.8/cgi.py)
解决方法:修改文件
/Users/xx/miniconda3/lib/python3.8/site-packages/networkx/readwrite/gm1. py
vim进入到该.py文件
vim /root/anaconda3/envs/wyt_1.10/lib/python3.8/cgi.py

将
from cgi import escape
替换为(或者直接增加)
from html import escape

注意:
输入 i 进入编辑insert模式
esc退出编辑模式
:wq保存退出
linux系统里的vim是编辑文本的命令,在vi里查找相应关键字的方法如下:
例如搜索 the写法:/the +回车
/+关键字 ,回车即可。此为从文档当前位置向下查找关键字,按n键查找关键字下一个位置;
?+关键字,回车即可。此为从文档挡圈位置向上查找关键字,按n键向上查找关键字;

文章介绍了TextRank算法,它是基于PageRank的一种文本处理技术,用于生成关键词和摘要。通过建立句子之间的关系图,使用pagerank计算重要性,从而提取文本的关键信息。TextRank4ZH是一个Python实现的中文版本,适用于关键词提取和摘要生成。文章还提供了代码示例和错误处理方法。
1063

被折叠的 条评论
为什么被折叠?



