物质波波波
码龄3年
关注
提问 私信
  • 博客:69,421
    社区:31
    问答:41
    动态:1,327
    70,820
    总访问量
  • 23
    原创
  • 65,072
    排名
  • 4,176
    粉丝
  • 49
    铁粉
  • 学习成就

个人简介:善书者不择纸笔

IP属地以运营商信息为准,境内显示到省(区、市),境外显示到国家(地区)
IP 属地:北京市
  • 毕业院校: 北京化工大学
  • 目前就职: 北京化工大学
  • 加入CSDN时间: 2021-12-25
博客简介:

wzbbbb的博客

查看详细资料
  • 原力等级
    成就
    当前等级
    4
    当前总分
    819
    当月
    13
个人成就
  • 获得98次点赞
  • 内容获得21次评论
  • 获得344次收藏
  • 代码片获得121次分享
创作历程
  • 1篇
    2024年
  • 19篇
    2023年
  • 3篇
    2022年
成就勋章
TA的专栏
  • 计算机体系结构
    8篇
  • 数据结构与算法
    10篇
  • 机器学习
    4篇
  • 数学原理
    1篇
兴趣领域 设置
  • 数据结构与算法
    算法数据结构
  • 嵌入式
    单片机mcu嵌入式硬件
  • 硬件开发
    fpga开发arm开发
  • 操作系统
    risc-v
  • 数学
    矩阵
TA的社区
  • 计算机体系结构交流社区
    3 成员 5 内容
    创建者
创作活动更多

仓颉编程语言体验有奖征文

仓颉编程语言官网已上线,提供版本下载、在线运行、文档体验等功能。为鼓励更多开发者探索仓颉编程语言,现诚邀各位开发者通过官网在线体验/下载使用,参与仓颉体验有奖征文活动。

368人参与 去创作
  • 最近
  • 文章
  • 代码仓
  • 资源
  • 问答
  • 帖子
  • 视频
  • 课程
  • 关注/订阅/互动
  • 收藏
搜TA的内容
搜索 取消

基于FPGA的最大特征值求解

计算矩阵的最大特征值是AHP(analytic hierarchy process)、PCA(Principal components analysis)的核心步骤之一。使用FPGA计算特征值,可以实现算法的优化与加速
原创
发布博客 2024.10.24 ·
910 阅读 ·
15 点赞 ·
0 评论 ·
12 收藏

LeetCode数据结构_C语言题解系列-23.合并k个有序链表

23. 合并 K 个升序链表https://leetcode.cn/problems/merge-k-sorted-lists/困难示例 1:输入:lists = [[1,4,5],[1,3,4],[2,6]]输出:[1,1,2,3,4,4,5,6]解释:链表数组如下:[ 1->4->5, 1->3->4, 2->6]将它们合并到一个有序链表中得到。1->1->2->3->4->4->5->6示例 2:
原创
发布博客 2023.10.24 ·
184 阅读 ·
0 点赞 ·
0 评论 ·
1 收藏

LeetCode数据结构_C语言题解系列-155. 最小栈

LeetCode数据结构_C语言题解系列-155. 最小栈
原创
发布博客 2023.10.08 ·
141 阅读 ·
0 点赞 ·
0 评论 ·
0 收藏

pynq?启动! pynq开发板连接宿主机+初始配置

pynq?启动! pynq开发板连接宿主机+初始配置
原创
发布博客 2023.10.05 ·
1631 阅读 ·
1 点赞 ·
0 评论 ·
14 收藏

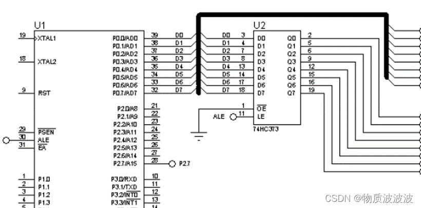
《微机接口原理》A+学习笔记系列--接口并行

《微机接口原理》A+学习笔记系列--接口并行
原创
发布博客 2023.05.14 ·
620 阅读 ·
0 点赞 ·
0 评论 ·
2 收藏

《微机接口原理》A+学习笔记系列--外设定时

《微机接口原理》A+学习笔记系列--外设定时
原创
发布博客 2023.05.09 ·
625 阅读 ·
1 点赞 ·
1 评论 ·
3 收藏

翻遍了评论区 ,这题我是第一个用C手搓数对栈+非递归实现的 有意思 非常有意思

发布动态 2023.05.06

《微机接口原理》A+学习笔记系列--概论&端口寻址

该课程中涉及的计算机体系结构层次是软件层与硬件层的交界面,抽象层级高的语言是“面向对象编程”,类比固件编程就是“面向硬件编程”
原创
发布博客 2023.05.03 ·
606 阅读 ·
1 点赞 ·
0 评论 ·
0 收藏

LeetCode数据结构_C语言题解系列-树II

LeetCode数据结构_C语言题解系列-树II
原创
发布博客 2023.05.01 ·
105 阅读 ·
0 点赞 ·
0 评论 ·
0 收藏

LeetCode数据结构_C语言题解系列-树

LeetCode数据结构_C语言题解系列-树
原创
发布博客 2023.04.29 ·
143 阅读 ·
0 点赞 ·
0 评论 ·
1 收藏

基于FPGA的按键控制小灯实验

答:

同步控制非常简单 有两种设计方法
1.用库器件布线设计,双击逻辑图输入“input”输入接口,“jkff”放置jk-trigger,输入按键接入JK触发器时钟,输出直接与八个led灯连接,达到锁存目的。

img


2.用verilog编写一个模块:逻辑类似JK触发器,,直接锁存输入即可。
仿真如下,每按一次翻转一次

img

回答问题 2023.04.26

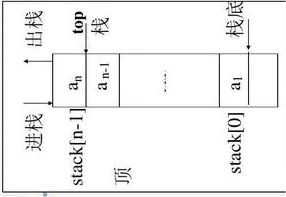
LeetCode数据结构_C语言题解系列-栈/队列

LeetCode数据结构_C语言题解系列-栈/队列
原创
发布博客 2023.04.25 ·
133 阅读 ·
1 点赞 ·
0 评论 ·
0 收藏

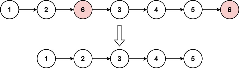
LeetCode数据结构_C语言题解系列-链表II

LeetCode数据结构_C语言题解系列-链表II
原创
发布博客 2023.04.23 ·
135 阅读 ·
1 点赞 ·
0 评论 ·
0 收藏

系统结构杂谈-计算机底层学习如何入门(CS-EE通用)

结合我本科期间的学习经验和心得,对原理型学习路径总结如下,供大家参考:
原创
发布博客 2023.04.22 ·
393 阅读 ·
2 点赞 ·
0 评论 ·
2 收藏

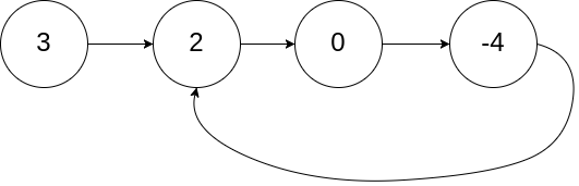
LeetCode数据结构_C语言题解系列-链表

LeetCode数据结构_C语言题解系列-链表
原创
发布博客 2023.04.22 ·
147 阅读 ·
1 点赞 ·
0 评论 ·
0 收藏

LeetCode数据结构_C语言题解系列-串

LeetCode数据结构_C语言题解系列-串
原创
发布博客 2023.04.19 ·
398 阅读 ·
1 点赞 ·
0 评论 ·
0 收藏

LeetCode数据结构_C语言题解系列-数组III

LeetCode_C语言题解系列-数组III
原创
发布博客 2023.04.16 ·
456 阅读 ·
1 点赞 ·
0 评论 ·
0 收藏

LeetCode数据结构_C语言题解系列-数组II&动态规划

LeetCode_C语言题解系列-数组II
原创
发布博客 2023.04.13 ·
600 阅读 ·
1 点赞 ·
0 评论 ·
0 收藏

LeetCode数据结构_C语言题解系列-数组

LeetCode_C语言题解系列-数组
原创
发布博客 2023.04.10 ·
366 阅读 ·
1 点赞 ·
0 评论 ·
0 收藏

基于MIPS指令集的处理器工程文件

发布资源 2023.04.05 ·
zip
加载更多