线性倒立摆(Linear Inverted Pendulum, LIP)模型是用于描述和控制人形机器人步态的重要工具。LIP模型假设质心沿着一条固定的直线运动,并且所有质量集中在质心上。这简化了计算,使得模型更容易用于控制和稳定分析。
LIP模型动力学方程
LIP模型的基本假设是:
- 机器人的质心(Center of Mass, CoM)在一个固定的高度 z𝑐上移动。
- 支撑面是水平的,且没有任何摩擦。
- 所有的质量集中在质心上。
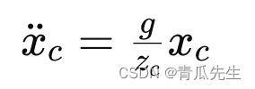
LIP模型的动力学方程基于牛顿第二定律和力矩平衡,可以描述为:

其中: - x𝑐是质心在水平面上的位置。
- ¨x𝑐是质心的水平加速度。
- g 是重力加速度。
- z𝑐是质心的高度。
示例代码
该示例展示了如何使用CasADi库来实现MPC控制倒立摆模型
本文介绍了线性倒立摆(LIP)模型在人形机器人步态控制中的应用,详细阐述了LIP模型的基本假设,并提供了一个使用CasADi库实现MPC控制LIP模型的代码示例,包括状态变量定义、动力学方程、离散化、优化问题构建以及结果展示。
订阅专栏 解锁全文
538

被折叠的 条评论
为什么被折叠?



