概念:
十字链表是为了便于求得图中顶点的度(出度和入度)而提出来的。它是综合邻接表和逆邻接表形式的一种链式存储结构。
在十字链表存储结构中,有向图中的顶点的结构如下所示:
![]()
其中data表示顶点的具体数据信息,而firstIn则表示指向以该顶点为弧头的第一个弧节点。而firstOut则表示指向以该顶点为弧尾的第一个弧节点。为了表示有向图中所有的顶点,采用一个顶点数组存储每一个结点,如下图所示。

从十字链表的数据结构来看,每一个顶点对应两个链表:以该顶点为弧尾的弧结点所组成的链表以及以该顶点为弧头的弧结点所组成的链表。
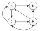
如下图所示的一个有向图:


代码如下:
package day37;
public class OrthogonalList {
class OrthogonalNode {
//行数
int row;
//列数
int column;
//出节点
OrthogonalNode nextOut;
//入节点
OrthogonalNode nextIn;
public OrthogonalNode(int row, int column) {
this.row = row;
this.column = column;
nextIn = null;
nextOut = null;
}
}
//节点的数量
int numNodes;
//每行的起始节点
OrthogonalNode[] headers;
public OrthogonalList(int[][] paraMatrix) {
numNodes = paraMatrix.length;
//第一步初始化。头节点中数据是无特殊意义的
OrthogonalNode tpPreNode, tpNode;
headers = new OrthogonalNode[numNodes];
//第二步链接出节点
for (int i = 0; i < numNodes; i++) {
headers[i] = new OrthogonalNode(i, -1);
tpPreNode = headers[i];
for (int j = 0; j < numNodes; j++) {
if (paraMatrix[i][j] == 0) {
continue;
}
tpNode = new OrthogonalNode(i, j);
tpPreNode.nextOut = tpNode;
tpPreNode = tpNode;
}
}
//第三步链接入节点
OrthogonalNode[] tpColumnNodes = new OrthogonalNode[numNodes];
for (int i = 0; i < numNodes; i++) {
tpColumnNodes[i] = headers[i];
}
for (int i = 0; i < numNodes; i++) {
tpNode = headers[i].nextOut;
while(tpNode!=null){
tpColumnNodes[tpNode.column].nextIn = tpNode;
tpColumnNodes[tpNode.column] = tpNode;
tpNode = tpNode.nextOut;
}
}
}
public String toString() {
String resultString = "Out arcs: \n";
OrthogonalNode tempNode;
for (int i = 0; i < numNodes; i++) {
tempNode = headers[i].nextOut;
while (tempNode != null) {
resultString += " (" + tempNode.row + ", " + tempNode.column + ")";
tempNode = tempNode.nextOut;
}
resultString += "\r\n";
}
resultString += "\r\nIn arcs: \n";
for (int i = 0; i < numNodes; i++) {
tempNode = headers[i].nextIn;
while (tempNode != null) {
resultString += " (" + tempNode.row + ", " + tempNode.column + ")";
tempNode = tempNode.nextIn;
}
resultString += "\r\n";
}
return resultString;
}
public static void main(String args[]) {
int[][] tempMatrix = { { 0, 1, 0, 0 }, { 0, 0, 0, 1 }, { 1, 0, 0, 0 }, { 0, 1, 1, 0 } };
OrthogonalList tempList = new OrthogonalList(tempMatrix);
System.out.println("The data are:\r\n" + tempList);
}
}
运行结果:
The data are:
Out arcs:
(0, 1)
(1, 3)
(2, 0)
(3, 1) (3, 2)
In arcs:
(2, 0)
(0, 1) (3, 1)
(3, 2)
(1, 3)
4915

被折叠的 条评论
为什么被折叠?



