Xiaoxiaodawei
摘要:
同步旋转的合成磁场是由三项定子绕组在气隙中产生的,而Park变换就是用一个假想的、随转子同步旋转的绕组来等效替代原来的三相定子绕组。根据等效的原则,不论使用什么样的绕组系统,只要可以在气隙中产生相同的合成旋转磁场,这个绕组系统就能和原来的三相定子绕组等效。Park变换将参考坐标从旋转电机的定子一侧转移到转子一侧的坐标变换。假定旋转电机的定子三相绕组在空间上互相差120度呈正弦分布,转子d、q两轴绕组通直流电流,产生磁场沿气隙呈现正弦分布形式。定子绕组通均衡的三相交流电流产生的旋转磁场,与定子绕组通直流电流并且用同步角频率顺着相序旋转所产生的旋转磁场有相同效应。
- 两种Park变换
当电动机的三相绕组通以对称的三相正弦电流时,就会产生合成磁动势,它是一个在空间以w速度旋转的空间矢量,在实际的交流电机以及系统分析中,可以通过Park变换将参考坐标从旋转电机的定子一侧转移到转子一侧的坐标表示,包括经典Park变换与正交Park变换。
经典Park变换的核心思想是,在两相静止坐标系变换到两相旋转坐标系的过程中电流的空间合成矢量不发生变化;
正交Park变换的核心思想是,在两相静止坐标系变换到两相旋转坐标系的过程中磁动势保持不变。
二、在PMSM中建立合适的坐标系
图1-1中有两相静止坐标系和以同步电机同步转速w旋转的坐标系,沿静止坐标系方向通以两相电流,沿旋转坐标系dq方向通以电流id、iq产生的合成电流矢量I相等。

图1-1 Park坐标变换
三、Park变换原理
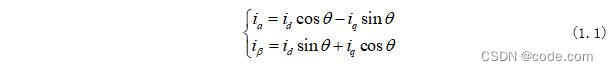
两相静止坐标系和两相同步旋转坐标系的各个电流存在如下关系:

写成矩阵形式为:

式(1.2)中变换矩阵为Park矩阵的逆矩阵:

将式(1.3)代入式(1.2)可求得两相旋转坐标系下各个电流的关系式为:

所以Park变换矩阵为:

四、如何应用
如何得到永磁同步电机在两相同步旋转坐标系下的电机电压方程?
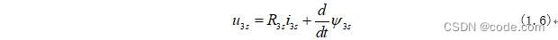
永磁同步电机的定子电压方程在三相静止坐标系下为:

将式(1.6)乘以Clarke矩阵可以得到永磁同步电机在两相静止坐标系下的电机电压方程为:

同理,将式(1.7)乘以Park矩阵就可以得到永磁同步电机在两相旋转坐标系下的电机电压方程为:

五、思考题
为啥永磁同步电机从三相静止坐标系经过Clarke变换和Park变换后,存在两种系数?
第一种:

第二种:

哪种是正确的?答案留给下期解答,敬请关注!
1万+

被折叠的 条评论
为什么被折叠?



