MathML是数学标记语言,是一种基于XML(标准通用标记语言的子集)的标准。用来在互联网上书写数学符号和公式的置标语言。
注意:大部分浏览器都支持MathML标签,如果你的浏览器不支持该标签,可以使用最新版的Firefox或Safari浏览器查看。
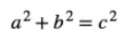
<!DOCTYPE html>
<html>
<head>
<meta charset="UTF-8" name="author" content="赵慧娟">
</head>
<body>
<math>
<mrow>
<msup><mi>a</mi><mn>2</mn></msup>
<mo>+</mo>
<msup><mi>b</mi><mn>2</mn></msup>
<mo>=</mo>
<msup><mi>c</mi><mn>2</mn></msup>
</mrow>
</math>
</body>
</html>
运行结果:

下面添加了一些运算符
<!DOCTYPE html>
<html>
<head>
<meta charset="UTF-8">
<title></title>
</head>
<body>
<math>
<mrow>
<mrow>
<msup>
<mi>x</mi>
<mn>2</mn>
</msup>
<mo>+</mo>
<mrow>
<mn>4</mn>
<mo></mo>
<mi>x</mi>
</mrow>
<mo>+</mo>
<mn>4</mn>
</mrow>
<mo>=</mo>
<mn>0</mn>
</mrow>
</math>
</body>
</html>
运行结果:

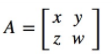
2×2矩阵
<!DOCTYPE html>
<html>
<head>
<meta charset="UTF-8" name="author" content="赵慧娟">
</head>
<body>
<math>
<mrow>
<mi>A</mi>
<mo>=</mo>
<mfenced open="[" close="]">
<mtable>
<mtr>
<mtd><mi>x</mi></mtd>
<mtd><mi>y</mi></mtd>
</mtr>
<mtr>
<mtd><mi>z</mi></mtd>
<mtd><mi>w</mi></mtd>
</mtr>
</mtable>
</mfenced>
</mrow>
</math>
</body>
</html>
运行结果:


463

被折叠的 条评论
为什么被折叠?



