
二次函数的顶点式 用n表示y,以此得出y与x的关系式
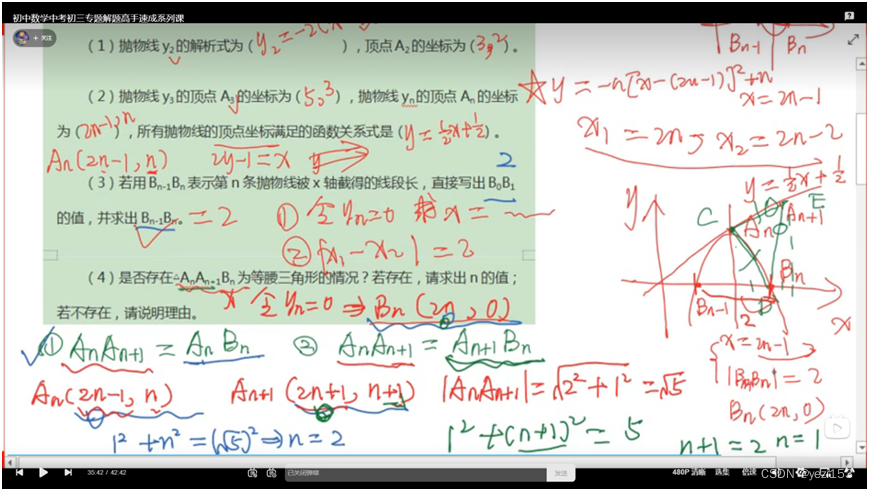
第三问可以令y=0,

这里的点都满足顶点的直线公式
用距离公式求点存不存在

十字相乘法和待定系数

常数,先考虑2X,再考虑14Y

这里存在相同的部分,相同的部分还是一个二次函数,应该使用换元使式子更加简单

这里有2倍的数,可以往完全平方公式这里想想

把括号里面的变成公共的部分,可以用到a+b+c=0这个条件
类似这样的式子才能用双十字相乘法
分式计算的方法
合理运用逐项通分求解

恰当使用拆项解题

鸡兔同笼之假设法,假设有35只鸡,每只兔子少算了两只脚
1万+

被折叠的 条评论
为什么被折叠?



