传统全参考图像质量衡量标准FSIM(feature similarity)
ssim一经提出引来了很多人的研究,并在其上进行一系列的变种,其中一种比较成功的变种是FSIM,该算法认为一张图片中的所有像素并非具有相同的重要性,比如物体边缘的像素点对于界定物体的结构肯定比其他背景区域的像素点更为重要;另外一种重要的评价指标VIF尽管在不同的子带上具有不同的权重,但是在具体的某一子带上参与计算的像素点均具有相同的权重;根据图像本身的特性,这样不加区分并不合适。因此改进的方向实际上重在如何区分这些重要点并给与合适的权重
关键问题:什么样的特征足以描述图像,并且用于评估
基于心理学和脑科学的一些研究,发现不同频率的傅里叶波具有相同的相位时,往往会对应着视觉上可辨认的重要特征。这就意味着从某些一致性的相位上能够提取出特征信息来。
另外图像梯度幅值也是一个用于衡量对比度的标准
计算PC(phase congruency) 相位一致
这里计算PC采用的是前人的研究结果,引用论文是[P. Kovesi, “Image features from phase congruency”, Videre: J. Comp. Vis. Res., vol. 1, no. 3, pp. 1-26, 1999.],计算公式如下:

具体的计算过程可以参考FSIM的matlab源代码中的相关部分
计算GM
对于GM的计算可以采用一些常规的算法,比如sobel和prewitt等
文中采用的是Scharr算子,如下所示:

最终的GM为

至此FSIM所需的重要指标可以依据上述计算得到
FSIM的计算
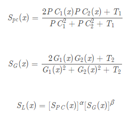
这里实际上也是仿效SSIM的计算构成,同样由两部分耦合的幂指数
FSIM由PC项和GM项耦合

按照惯例alpha和beta取1
这样计算出来的值是将整张图像的像素权重看成是一样的情况,基于前人的结果,认为PC可以用来做权重衡量因子,并且图像中某一位置是否具有超过其他位置的重要性跟它的PC值成正相关。所以真正的FSIM是如下定义

源代码如下(Matlab):
%function [FSIM, FSIMc] = FeatureSIM(imageRef, imageDis)
function [FSIM, FSIMc] = FSIM(imageRef, imageDis)
% ========================================================================
% FSIM Index with automatic downsampling, Version 1.0
% Copyright(c) 2010 Lin ZHANG, Lei Zhang, Xuanqin Mou and David Zhang
% All Rights Reserved.
%
% ----------------------------------------------------------------------
% Permission to use, copy, or modify this software and its documentation
% for educational and research purposes only and without fee is here
% granted, provided that this copyright notice and the original authors'
% names appear on all copies and supporting documentation. This program
% shall not be used, rewritten, or adapted as the basis of a commercial
% software or hardware product without first obtaining permission of the
% authors. The authors make no representations about the suitability of
% this software for any purpose. It is provided "as is" without express
% or implied warranty.
%----------------------------------------------------------------------
%
% This is an implementation of the algorithm for calculating the
% Feature SIMilarity (FSIM) index between two images.
%
% Please refer to the following paper
%
% Lin Zhang, Lei Zhang, Xuanqin Mou, and David Zhang,"FSIM: a feature similarity
% index for image qualtiy assessment", IEEE Transactions on Image Processing, vol. 20, no. 8, pp. 2378-2386, 2011.
%
%----------------------------------------------------------------------
%
%Input : (1) imageRef: the first image being compared
% (2) imageDis: the second image being compared
%
%Output: (1) FSIM: is the similarty score calculated using FSIM algorithm. FSIM
% only considers the luminance component of images. For colorful images,
% they will be converted to the grayscale at first.
% (2) FSIMc: is the similarity score calculated using FSIMc algorithm. FSIMc
% considers both the grayscale and the color information.
%Note: For grayscale images, the returned FSIM and FSIMc are the same.
%
%-----------------------------------------------------------------------
%
%Usage:
%Given 2 test images img1 and img2. For gray-scale images, their dynamic range should be 0-255.
%For colorful images, the dynamic range of each color channel should be 0-255.
%
%[FSIM, FSIMc] = FeatureSIM(img1, img2);
%-----------------------------------------------------------------------
[rows, cols] = size(imageRef(:,:,1));
I1 = ones(rows, cols);
I2 = ones(rows, cols);
Q1 = ones(rows, cols);
Q2 = ones(rows, cols);
if ndims(imageRef) == 3 %images are colorful
Y1 = 0.299 * double(imageRef(:,:,1)) + 0.587 * double(imageRef(:,:,2)) + 0.114 * double(imageRef(:,:,3));
Y2 = 0.299 * double(imageDis(:,:,1)) + 0.587 * double(imageDis(:,:,2)) + 0.114 * double(imageDis(:,:,3));
I1 = 0.596 * double(imageRef(:,:,1)) - 0.274 * double(imageRef(:,:,2)) - 0.322 * double(imageRef(:,:,3));
I2 = 0.596 * double(imageDis(:,:,1)) - 0.274 * double(imageDis(:,:,2)) - 0.322 * double(imageDis(:,:,3));
Q1 = 0.211 * double(imageRef(:,:,1)) - 0.523 * double(imageRef(:,:,2)) + 0.312 * double(imageRef(:,:,3));
Q2 = 0.211 * double(imageDis(:,:,1)) - 0.523 * double(imageDis(:,:,2)) + 0.312 * double(imageDis(:,:,3));
else %images are grayscale
Y1 = imageRef;
Y2 = imageDis;
end
Y1 = double(Y1);
Y2 = double(Y2);
%%%%%%%%%%%%%%%%%%%%%%%%%
% Downsample the image
%%%%%%%%%%%%%%%%%%%%%%%%%
minDimension = min(rows,cols);
F = max(1,round(minDimension / 256));
aveKernel = fspecial('average',F);
aveI1 = conv2(I1, aveKernel,'same');
aveI2 = conv2(I2, aveKernel,'same');
I1 = aveI1(1:F:rows,1:F:cols);
I2 = aveI2(1:F:rows,1:F:cols);
aveQ1 = conv2(Q1, aveKernel,'same');
aveQ2 = conv2(Q2, aveKernel,'same');
Q1 = aveQ1(1:F:rows,1:F:cols);
Q2 = aveQ2(1:F:rows,1:F:cols);
aveY1 = conv2(Y1, aveKernel,'same');
aveY2 = conv2(Y2, aveKernel,'same');
Y1 = aveY1(1:F:rows,1:F:cols);
Y2 = aveY2(1:F:rows,1:F:cols);
%%%%%%%%%%%%%%%%%%%%%%%%%
% Calculate the phase congruency maps
%%%%%%%%%%%%%%%%%%%%%%%%%
PC1 = phasecong2(Y1);
PC2 = phasecong2(Y2);
%%%%%%%%%%%%%%%%%%%%%%%%%
% Calculate the gradient map
%%%%%%%%%%%%%%%%%%%%%%%%%
dx = [3 0 -3; 10 0 -10; 3 0 -3]/16;
dy = [3 10 3; 0 0 0; -3 -10 -3]/16;
IxY1 = conv2(Y1, dx, 'same');
IyY1 = conv2(Y1, dy, 'same');
gradientMap1 = sqrt(IxY1.^2 + IyY1.^2);
IxY2 = conv2(Y2, dx, 'same');
IyY2 = conv2(Y2, dy, 'same');
gradientMap2 = sqrt(IxY2.^2 + IyY2.^2);
%%%%%%%%%%%%%%%%%%%%%%%%%
% Calculate the FSIM
%%%%%%%%%%%%%%%%%%%%%%%%%
T1 = 0.85; %fixed
T2 = 160; %fixed
PCSimMatrix = (2 * PC1 .* PC2 + T1) ./ (PC1.^2 + PC2.^2 + T1);
gradientSimMatrix = (2*gradientMap1.*gradientMap2 + T2) ./(gradientMap1.^2 + gradientMap2.^2 + T2);
PCm = max(PC1, PC2);
SimMatrix = gradientSimMatrix .* PCSimMatrix .* PCm;
FSIM = sum(sum(SimMatrix)) / sum(sum(PCm));
%%%%%%%%%%%%%%%%%%%%%%%%%
% Calculate the FSIMc
%%%%%%%%%%%%%%%%%%%%%%%%%
T3 = 200;
T4 = 200;
ISimMatrix = (2 * I1 .* I2 + T3) ./ (I1.^2 + I2.^2 + T3);
QSimMatrix = (2 * Q1 .* Q2 + T4) ./ (Q1.^2 + Q2.^2 + T4);
lambda = 0.03;
SimMatrixC = gradientSimMatrix .* PCSimMatrix .* real((ISimMatrix .* QSimMatrix) .^ lambda) .* PCm;
FSIMc = sum(sum(SimMatrixC)) / sum(sum(PCm));
return;
%%%%%%%%%%%%%%%%%%%%%%%%%%%%%%%%%%%%%%%%%%%%%%%%%%%%%%%%%%%%%%%%%%%%%%%%%%%%%%%%%%
function [ResultPC]=phasecong2(im)
% ========================================================================
% Copyright (c) 1996-2009 Peter Kovesi
% School of Computer Science & Software Engineering
% The University of Western Australia
% http://www.csse.uwa.edu.au/
%
% Permission is hereby granted, free of charge, to any person obtaining a copy
% of this software and associated documentation files (the "Software"), to deal
% in the Software without restriction, subject to the following conditions:
%
% The above copyright notice and this permission notice shall be included in all
% copies or substantial portions of the Software.
%
% The software is provided "as is", without warranty of any kind.
% References:
%
% Peter Kovesi, "Image Features From Phase Congruency". Videre: A
% Journal of Computer Vision Research. MIT Press. Volume 1, Number 3,
% Summer 1999 http://mitpress.mit.edu/e-journals/Videre/001/v13.html
nscale = 4; % Number of wavelet scales.
norient = 4; % Number of filter orientations.
minWaveLength = 6; % Wavelength of smallest scale filter.
mult = 2; % Scaling factor between successive filters.
sigmaOnf = 0.55; % Ratio of the standard deviation of the
% Gaussian describing the log Gabor filter's
% transfer function in the frequency domain
% to the filter center frequency.
dThetaOnSigma = 1.2; % Ratio of angular interval between filter orientations
% and the standard deviation of the angular Gaussian
% function used to construct filters in the
% freq. plane.
k = 2.0; % No of standard deviations of the noise
% energy beyond the mean at which we set the
% noise threshold point.
% below which phase congruency values get
% penalized.
epsilon = .0001; % Used to prevent division by zero.
thetaSigma = pi/norient/dThetaOnSigma; % Calculate the standard deviation of the
% angular Gaussian function used to
% construct filters in the freq. plane.
[rows,cols] = size(im);
imagefft = fft2(im); % Fourier transform of image
zero = zeros(rows,cols);
EO = cell(nscale, norient); % Array of convolution results.
estMeanE2n = [];
ifftFilterArray = cell(1,nscale); % Array of inverse FFTs of filters
% Pre-compute some stuff to speed up filter construction
% Set up X and Y matrices with ranges normalised to +/- 0.5
% The following code adjusts things appropriately for odd and even values
% of rows and columns.
if mod(cols,2)
xrange = [-(cols-1)/2:(cols-1)/2]/(cols-1);
else
xrange = [-cols/2:(cols/2-1)]/cols;
end
if mod(rows,2)
yrange = [-(rows-1)/2:(rows-1)/2]/(rows-1);
else
yrange = [-rows/2:(rows/2-1)]/rows;
end
[x,y] = meshgrid(xrange, yrange);
radius = sqrt(x.^2 + y.^2); % Matrix values contain *normalised* radius from centre.
theta = atan2(-y,x); % Matrix values contain polar angle.
% (note -ve y is used to give +ve
% anti-clockwise angles)
radius = ifftshift(radius); % Quadrant shift radius and theta so that filters
theta = ifftshift(theta); % are constructed with 0 frequency at the corners.
radius(1,1) = 1; % Get rid of the 0 radius value at the 0
% frequency point (now at top-left corner)
% so that taking the log of the radius will
% not cause trouble.
sintheta = sin(theta);
costheta = cos(theta);
clear x; clear y; clear theta; % save a little memory
% Filters are constructed in terms of two components.
% 1) The radial component, which controls the frequency band that the filter
% responds to
% 2) The angular component, which controls the orientation that the filter
% responds to.
% The two components are multiplied together to construct the overall filter.
% Construct the radial filter components...
% First construct a low-pass filter that is as large as possible, yet falls
% away to zero at the boundaries. All log Gabor filters are multiplied by
% this to ensure no extra frequencies at the 'corners' of the FFT are
% incorporated as this seems to upset the normalisation process when
% calculating phase congrunecy.
lp = lowpassfilter([rows,cols],.45,15); % Radius .45, 'sharpness' 15
logGabor = cell(1,nscale);
for s = 1:nscale
wavelength = minWaveLength*mult^(s-1);
fo = 1.0/wavelength; % Centre frequency of filter.
logGabor{s} = exp((-(log(radius/fo)).^2) / (2 * log(sigmaOnf)^2));
logGabor{s} = logGabor{s}.*lp; % Apply low-pass filter
logGabor{s}(1,1) = 0; % Set the value at the 0 frequency point of the filter
% back to zero (undo the radius fudge).
end
% Then construct the angular filter components...
spread = cell(1,norient);
for o = 1:norient
angl = (o-1)*pi/norient; % Filter angle.
% For each point in the filter matrix calculate the angular distance from
% the specified filter orientation. To overcome the angular wrap-around
% problem sine difference and cosine difference values are first computed
% and then the atan2 function is used to determine angular distance.
ds = sintheta * cos(angl) - costheta * sin(angl); % Difference in sine.
dc = costheta * cos(angl) + sintheta * sin(angl); % Difference in cosine.
dtheta = abs(atan2(ds,dc)); % Absolute angular distance.
spread{o} = exp((-dtheta.^2) / (2 * thetaSigma^2)); % Calculate the
% angular filter component.
end
% The main loop...
EnergyAll(rows,cols) = 0;
AnAll(rows,cols) = 0;
for o = 1:norient % For each orientation.
sumE_ThisOrient = zero; % Initialize accumulator matrices.
sumO_ThisOrient = zero;
sumAn_ThisOrient = zero;
Energy = zero;
for s = 1:nscale, % For each scale.
filter = logGabor{s} .* spread{o}; % Multiply radial and angular
% components to get the filter.
ifftFilt = real(ifft2(filter))*sqrt(rows*cols); % Note rescaling to match power
ifftFilterArray{s} = ifftFilt; % record ifft2 of filter
% Convolve image with even and odd filters returning the result in EO
EO{s,o} = ifft2(imagefft .* filter);
An = abs(EO{s,o}); % Amplitude of even & odd filter response.
sumAn_ThisOrient = sumAn_ThisOrient + An; % Sum of amplitude responses.
sumE_ThisOrient = sumE_ThisOrient + real(EO{s,o}); % Sum of even filter convolution results.
sumO_ThisOrient = sumO_ThisOrient + imag(EO{s,o}); % Sum of odd filter convolution results.
if s==1 % Record mean squared filter value at smallest
EM_n = sum(sum(filter.^2)); % scale. This is used for noise estimation.
maxAn = An; % Record the maximum An over all scales.
else
maxAn = max(maxAn, An);
end
end % ... and process the next scale
% Get weighted mean filter response vector, this gives the weighted mean
% phase angle.
XEnergy = sqrt(sumE_ThisOrient.^2 + sumO_ThisOrient.^2) + epsilon;
MeanE = sumE_ThisOrient ./ XEnergy;
MeanO = sumO_ThisOrient ./ XEnergy;
% Now calculate An(cos(phase_deviation) - | sin(phase_deviation)) | by
% using dot and cross products between the weighted mean filter response
% vector and the individual filter response vectors at each scale. This
% quantity is phase congruency multiplied by An, which we call energy.
for s = 1:nscale,
E = real(EO{s,o}); O = imag(EO{s,o}); % Extract even and odd
% convolution results.
Energy = Energy + E.*MeanE + O.*MeanO - abs(E.*MeanO - O.*MeanE);
end
% Compensate for noise
% We estimate the noise power from the energy squared response at the
% smallest scale. If the noise is Gaussian the energy squared will have a
% Chi-squared 2DOF pdf. We calculate the median energy squared response
% as this is a robust statistic. From this we estimate the mean.
% The estimate of noise power is obtained by dividing the mean squared
% energy value by the mean squared filter value
medianE2n = median(reshape(abs(EO{1,o}).^2,1,rows*cols));
meanE2n = -medianE2n/log(0.5);
estMeanE2n(o) = meanE2n;
noisePower = meanE2n/EM_n; % Estimate of noise power.
% Now estimate the total energy^2 due to noise
% Estimate for sum(An^2) + sum(Ai.*Aj.*(cphi.*cphj + sphi.*sphj))
EstSumAn2 = zero;
for s = 1:nscale
EstSumAn2 = EstSumAn2 + ifftFilterArray{s}.^2;
end
EstSumAiAj = zero;
for si = 1:(nscale-1)
for sj = (si+1):nscale
EstSumAiAj = EstSumAiAj + ifftFilterArray{si}.*ifftFilterArray{sj};
end
end
sumEstSumAn2 = sum(sum(EstSumAn2));
sumEstSumAiAj = sum(sum(EstSumAiAj));
EstNoiseEnergy2 = 2*noisePower*sumEstSumAn2 + 4*noisePower*sumEstSumAiAj;
tau = sqrt(EstNoiseEnergy2/2); % Rayleigh parameter
EstNoiseEnergy = tau*sqrt(pi/2); % Expected value of noise energy
EstNoiseEnergySigma = sqrt( (2-pi/2)*tau^2 );
T = EstNoiseEnergy + k*EstNoiseEnergySigma; % Noise threshold
% The estimated noise effect calculated above is only valid for the PC_1 measure.
% The PC_2 measure does not lend itself readily to the same analysis. However
% empirically it seems that the noise effect is overestimated roughly by a factor
% of 1.7 for the filter parameters used here.
T = T/1.7; % Empirical rescaling of the estimated noise effect to
% suit the PC_2 phase congruency measure
Energy = max(Energy - T, zero); % Apply noise threshold
EnergyAll = EnergyAll + Energy;
AnAll = AnAll + sumAn_ThisOrient;
end % For each orientation
ResultPC = EnergyAll ./ AnAll;
return;
%%%%%%%%%%%%%%%%%%%%%%%%%%%%%%%%%%%%%%%%%%%%%%%%%%%%%%%%%%%%%%%%%%%%%%%%%%%%
% LOWPASSFILTER - Constructs a low-pass butterworth filter.
%
% usage: f = lowpassfilter(sze, cutoff, n)
%
% where: sze is a two element vector specifying the size of filter
% to construct [rows cols].
% cutoff is the cutoff frequency of the filter 0 - 0.5
% n is the order of the filter, the higher n is the sharper
% the transition is. (n must be an integer >= 1).
% Note that n is doubled so that it is always an even integer.
%
% 1
% f = --------------------
% 2n
% 1.0 + (w/cutoff)
%
% The frequency origin of the returned filter is at the corners.
%
% See also: HIGHPASSFILTER, HIGHBOOSTFILTER, BANDPASSFILTER
%
% Copyright (c) 1999 Peter Kovesi
% School of Computer Science & Software Engineering
% The University of Western Australia
% http://www.csse.uwa.edu.au/
%
% Permission is hereby granted, free of charge, to any person obtaining a copy
% of this software and associated documentation files (the "Software"), to deal
% in the Software without restriction, subject to the following conditions:
%
% The above copyright notice and this permission notice shall be included in
% all copies or substantial portions of the Software.
%
% The Software is provided "as is", without warranty of any kind.
% October 1999
% August 2005 - Fixed up frequency ranges for odd and even sized filters
% (previous code was a bit approximate)
function f = lowpassfilter(sze, cutoff, n)
if cutoff < 0 || cutoff > 0.5
error('cutoff frequency must be between 0 and 0.5');
end
if rem(n,1) ~= 0 || n < 1
error('n must be an integer >= 1');
end
if length(sze) == 1
rows = sze; cols = sze;
else
rows = sze(1); cols = sze(2);
end
% Set up X and Y matrices with ranges normalised to +/- 0.5
% The following code adjusts things appropriately for odd and even values
% of rows and columns.
if mod(cols,2)
xrange = [-(cols-1)/2:(cols-1)/2]/(cols-1);
else
xrange = [-cols/2:(cols/2-1)]/cols;
end
if mod(rows,2)
yrange = [-(rows-1)/2:(rows-1)/2]/(rows-1);
else
yrange = [-rows/2:(rows/2-1)]/rows;
end
[x,y] = meshgrid(xrange, yrange);
radius = sqrt(x.^2 + y.^2); % A matrix with every pixel = radius relative to centre.
f = ifftshift( 1 ./ (1.0 + (radius ./ cutoff).^(2*n)) ); % The filter
return;
附:原文链接
5万+

被折叠的 条评论
为什么被折叠?



