老卫带你学—SVM支持向量机
学习目标:
- 理解支持向量机的知识结构
- 理解支持向量机的原理与目标
- 理解算法推导的核心过程和意义(关键是损失函数与约束条件的意义)
- 理解核函数的意义与方法
知识结构
hard margin SVM:可以容易的找到一条划分超平面来将两类分开;
soft margin SVM:不容易找到划分超平面,但是可以寻找到一条相对最好的;
Kelnel:将核函数应用于 SVM,增加其内积计算速度;(核函数只是一种计算方法,也可以用于其他方面)
对偶函数:将原来的问题转化为对偶形式,方便计算。
下面黄色的部分是重要的地方。

各种概念如下:

我们谈一谈支持向量机与逻辑回归的区别:
逻辑回归的损失函数是L=-ylog(y’)-(1-y)log(1-y’)
它所代表的含义就是,计算样本与划分面的距离损失,通过计算向量与边界法向量的内积来求距离(也就是投影),判断这个样本是否分类正确
而SVM对其进行一定的改造,认为超过一定的距离的样本是没有损失的,只需要计算划分面周围的向量,这些向量我们也称为支持向量
这就是逻辑回归与SVM最核心的区别
(逻辑回归图)
(SVM函数图像)
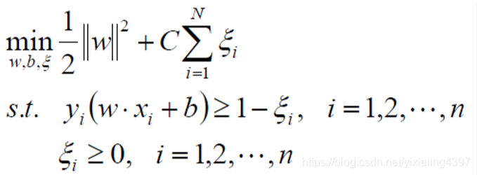
SVM的目标函数是:
左边的是原始SVM的目标函数,右边是对于松弛变量所加入的代价变量
下面的约束条件也引进松弛变量,使函数间隔加上松弛变量大于等于1.

这里要注意一个地方,在hard margin中没有损失函数,而在逻辑回归中损失函数与目标函数一样
下面我们看一下划分超平面:


但是SVM仅仅只需要考虑关于那几个支持向量(红线包括),不需要将所有的样本进行计算。

我们将分类问题中的输入空间与特征空间看作两个空间
老卫语录:输入空间为欧式空间或离散空间;特征空间为欧式空间或希尔伯特空间
线性可分支持向量机(Hard Margin SVM)与线性支持向量机(Soft Margin SVM)将输入空间与特征空间元素一一对应;
非线性支持向量机将输入空间通过非线性映射映射为特征空间。
总体来说,支持向量机的学习都是在特征空间中进行

超平面的函数与决策函数如下
其中W是超平面的法向量,法向量指向的是正类;
x就是样本向量;
b为截距。
φ(x)就是前面说的映射函数

下面我们开始推导目标函数:


在这里我们将min后面的一坨通过约束条件处理掉,因为约束条件是大于等于1,而目标函数中是min,我们干脆直接取1

然后求W分之1的最大值,其实就是求W的平方的最小值。1/2是为了后面的求导方便而设计的。
W的绝对值就是L1正则化;W的平方就是L2正则化。

对偶函数
有时候为了计算方便,我们将原始问题转换为对偶问题来解决。(详情请看蓝皮书p103)
转换对偶函数

L对W,b分别求偏导

然后再将偏导结果带入上式

继续求对a的极大

添加负号,转化为min问题

最后可以由a求得w,b的解。

线性支持向量机
对于有的时候,我们的问题是线性不可分的,我们需要对相关细节进行改造。
通常情况是,训练数据中有一些特异点,将这些特异点去除后,剩下大部分的样本点组成的集合还是线性可分的。
老卫语录:线性不可分指的是某些样本点不能满足函数间隔大于等于1的约束条件。
为了解决这样的问题,我们对每个样本引进一个松弛变量,使函数间隔加上松弛变量大于等于1.

所以线性SVM的目标函数如下:

和Hard Margin问题一样,为了计算方便,我们将原始问题转化为对偶函数,然后对w,b,松弛变量进行求导。



所以线性支持向量机的学习算法如下:


LR与SVM的损失函数图像对比:

非线性支持向量机
有的时候我们的问题不是线性的,我们需要通过映射函数φ,将非线性问题转化为线性问题,数据从低维映射至高维。


对于核函数的类别可以看蓝皮书p122常用的核函数。
LR与SVM的区别:
- 损失函数不同,SVM采用的Hinge损失,而LR采用的是交叉熵损失;
- SVM仅考虑支持向量;
- SVM有约束条件;
- LR的可解释性更强;
- SVM不能给出概率结果;
- SVM对非线性问题采用核函数的方法速度更快。
107

被折叠的 条评论
为什么被折叠?



