描述
给定一个二叉树,返回该二叉树层序遍历的结果,(从左到右,一层一层地遍历)
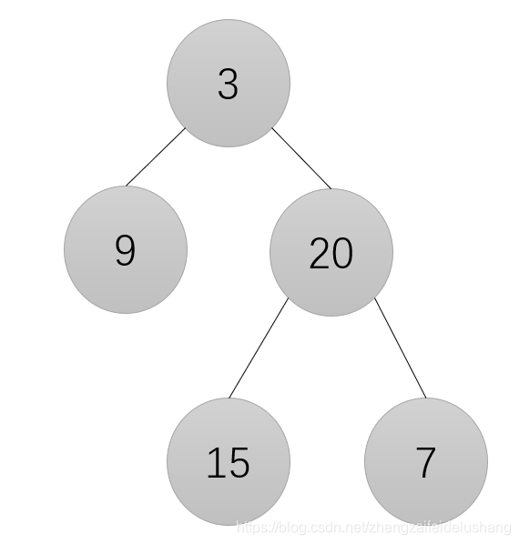
例如:
给定的二叉树是{3,9,20,#,#,15,7},

该二叉树层序遍历的结果是
[
[3],
[9,20],
[15,7]
]
示例1
输入:
{1,2}
返回值:
[[1],[2]]
示例2
输入:
{1,2,3,4,#,#,5}
返回值:
[[1],[2,3],[4,5]]
解题思路:
层序遍历:
- 就是从根节点(第一层)开始,依次向下,获取每一层所有结点的值,有二叉树如下:
实现步骤:
- 1.创建队列,存储每一层的结点;
- 2.使用循环从队列中弹出一个结点:
- 3.获取当前结点的key;
- 4.如果当前结点的左子结点不为空,则把左子结点放入到队列中
- 5.如果当前结点的右子结点不为空,则把右子结点放入到队列中
import java.util.*;
/*
* public class TreeNode {
* int val = 0;
* TreeNode left = null;
* TreeNode right = null;
* }
*/
public class Solution {
/**
*
* @param root TreeNode类
* @return int整型ArrayList<ArrayList<>>
*/
//[[1],[2,3],[4,5]]
public ArrayList<ArrayList<Integer>> levelOrder (TreeNode root) {
// write code here
ArrayList<ArrayList<Integer>> res = new ArrayList<ArrayList<Integer>>();
//根节点为空,直接返回res
if(root == null)
return res;
if(root !=null){
Queue<TreeNode> queue = new LinkedList<>();
queue.offer(root);
while(!queue.isEmpty()){
int size = queue.size();
ArrayList<Integer> level = new ArrayList<Integer>();
while(size-->0){
TreeNode temp = queue.poll();
level.add(temp.val);
if(temp.left!=null)
queue.offer(temp.left);
if(temp.right!=null)
queue.offer(temp.right);
}
res.add(level);
}
}
return res;
}
}

370

被折叠的 条评论
为什么被折叠?



