随机变量的数字特征
本文内容主要参考自
1、《概率论与数理统计》第2版,徐全智、吕恕编,高等教育出版社;
2、黄庆明老师课件。
第一部分 数学期望
一、随机变量的数学期望
定义 1 设离散型随机变量的分布律为
若,则称
为随机变量的数学期望或均值。
定义 2 设连续型随机变量的概率密度为
,若
,则称
为随机变量的数学期望或均值。
二、随机变量的函数的数学期望
定理 1 设是随机变量
的函数
(
是连续函数)。
(1)若是离散型随机变量,其分布律为
如果绝对收敛,则有
(2)若是连续性随机变量,其密度函数是
,如果
则
利用定理1,我们可不必求出随机变量的分布(分布律或概率密度),直接利用随机变量
的已知分布即可。
定理推广到多个随机变量的情况。
定理 2 设是二维随机变量,
也是随机变量。
(1)若是离散型随机变量,其联合分布律为
则当时,
(2)若是连续型随机变量,其联合概率密度为
,则当
有
三、数学期望的性质
(1)设是常数,则有
;
(2)设是随机变量,
是常数,则有
;
(3)设、
是两个随机变量,则有
;
(4)设、
是相互独立的随机变量,则有
.
第二部分 随机变量的方差
一、随机变量的方差
定义 1 设是随机变量,若
存在,则称
为的方差,称
为
的标准差(或均方差)。
方差是随机变量
的数学期望,当
是离散型随机变量,则
当是连续型随机变量,则
方差常用计算公式:
证
二、方差的性质
(1)若是常数,则
;
(2)设随机变量的方差存在,
是常数,有
;
(3)设随机变量与
的方差存在,有
又若与
独立,则
(4)随机变量的方差为零的充分必要条件是
以概率为1取常数
,即
三、标准化随机变量
设随机变量的数学期望存在,方差
,令
则有
其中,称为随机变量
的标准化随机变量,
证
第三部分 协方差
一、协方差的定义
现描述两个随机变量之间关系的数字特征。
定义 1 若关于随机变量的数学期望
存在,则称
为随机变量与
的协方差。
特别有
另外,方差的性质(3),又可以写作
二、协方差的性质
(1)对称性:
(2)齐性:是常数;
(3)可加性:
常利用下述公式
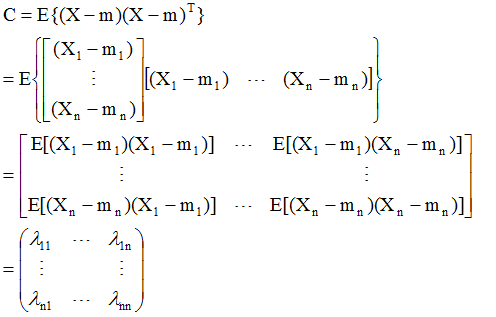
三、协方差矩阵
定义 2 设n维随机变量的协方差存在,称矩阵
为n维随机变量的协方差矩阵。
协方差矩阵满足:
(1)
(2)
可见协方差矩阵是一个对称矩阵。
协方差矩阵说明随机向量X的各分量的分散情况,也可这样写:
其中,协方差矩阵的各分量为:
若i!=j,则λij是X的第i个分量与第j个分量的协方差;
若i = j,则λii是随机变量Xi的方差,即协方差矩阵的对角分量。
第四部分 相关系数
若随机变量的协方差及方差均存在,而且
,则称
为随机变量与
的相关系数。
上述公式可以写成下面的形式
即相关系数是
与
相应的标准化随机变量的协方差。
定义 若随机变量相关系数存在,且
,则称
、
不相关;若
,则称
、
正相关;若
,则称
、
负相关。
需要特别指出:称随机变量与
不相关,仅指它们不存在线性相关关系。
定理 如果随机变量与
相互独立,则
与
不相关。
此定理的逆定理不存在。
补充:
若,可得到
。
由于二维正态随机变量相互独立的充分必要条件是,亦即它们相互独立等价于它们不相关。
后续会添加一些对常见分布的总结,敬请期待
!
本文介绍了随机变量的数学期望、方差、协方差及相关系数等数字特征的基本概念、计算方法及其性质,并讨论了这些统计量之间的关系。
979

被折叠的 条评论
为什么被折叠?



