文章目录
- 一、热量传递的三种基本方式
- 二、(总)传热过程
- 三、温度场、稳态的概念
- 四、导热基本定律
- 五、热导率
- 六、导热微分方程
- 七、热扩散率 a
- 八、定解条件
- 九、热阻
- 十、圆筒壁的导热热阻
- 十一、延伸体的稳态导热
- 十二、肋片效率、肋壁效率、肋化系数
- 十三、接触热阻的概念
- 十四、集总参数法
- 十五、内部热阻不可忽略的非稳态导热的控制方程
- 十六、非正规阶段与正规阶段
- 十七、有限差分方程
- 十八、影响对流传热(热对流+导热)系数的因素
- 十九、流动边界层和热边界层
- 二十、普朗特数Pr
- 二十一、对流传热微分方程
- 二十二、对流传热温差
- 二十三、湍流的入口段和充分发展段
- 二十四、层流的入口段和充分发展段
- 二十五、特征长度、特征温度和特征流速
- 二十六、横掠单管强迫运动
- 二十七、横掠管束的对流传热
- 二十八、导热等价于对流,Nu=1
- 二十九、凝结传热的分类
- 三十、影响凝结传热的因素
一、热量传递的三种基本方式
热传导=导热、热对流、热辐射
【区别】
- 导热+热对流 =(表面)对流传热:流体经过固体壁 第五六七章
- 总传热过程:高温流体→固体壁→低温流体 第九章
1. 导热的特点
- 必须有温差
- 物体直接接触
- 依靠分子、原子及自由电子等微观粒子热运动而传递热量
- 在引力场下单纯的导热一般只发生在密实的固体中,无相对位移
- 温差越大,传热效果越好
- 最简单的导热:一维平板,条件:稳态,无限大平板一维,无内热源
【做法】从控制方程出发,解出温度分布,再利用傅里叶导热定律求解热流量(速度梯度由偏导数简化成了简单的除法运算)
2. 对流(热对流Convection)的概念
流体中(气体或液体)温度不同的各部分之间,由于发生相对的宏观运动而把热量由一处传递到另一处的现象。
2.1 对流传热的分类

第五章 对流传热原理
第六章 无相变对流(强迫/自然对流,考一道大题)
第七章 有相变对流(凝结和沸腾)【区分】
第五章 对流传热:流体流经固体壁
第九章 换热器:总传热过程(高温流体→固体壁→低温流体)
2.2 对流传热系数

【几点说明】
- 水的的对流传热效果优于空气
- 强迫的对流传热效果优于自然对流传热
【对比】
强迫:机械:泵与风机的作用或者其他压差主动,调节性能好,耗能多
自然:密度差异引起的,被动,调节性能差,耗能少
- 凝结传热效果优于沸腾传热
2.3 对流换热的特点
当流体流过一个固体表面时的热量传递过程,它与单纯的对流不同,具有如下特点:
- 导热与热对流同时存在的复杂热传递过程
- 必须有直接接触(流体与壁面)和宏观运动
- 必须有温差
- 壁面处会形成速度梯度很大的边界层
3. 热辐射的特点
- 任何物体,只要温度高于0 K,就会不停地向周围空间发出热辐射
- 可以在真空中传播(可以不接触)
- 伴随能量形式的转变(内能→电磁波)
- 具有强烈的方向性
- 辐射能与温度和波长均有关
- 发射辐射取决于温度的4次方
【区别】
(表面)辐射传热:物体发出和接收辐射能进行物体间的热量传递
同一温度下,黑体的辐射能力最强表面传热系数:
二、(总)传热过程



热阻串联的条件:一维稳态且无内热源,否则会有很大的偏差
(比如一条电路变成了多条串并联电路,加了电源,不能用电阻串联公式了)热阻串联:热流量传递方向是相等的(一条电路中,电流一样)
系数相加:热流量相加(辐射和对流是并联电路,电流相加)
三、温度场、稳态的概念
温度场:某一瞬间物体内各点温度分布的总称
稳态:温度不随时间变化
非稳态:温度随时间变化
温度梯度:在等温面法线方向上的温度变化率
四、导热基本定律

- 在实验的基础上总结的
- 表明数值上,在各向同性均质的导热物体中,通过某导热面积的热流密度正比于该导热面法向温度变化率(即温度梯度)
- 使用场合:一维稳态场合,不适用于深冷/高热流密度情况
- 由傅里叶导热定律推导出导热微分方程
五、热导率
- 材料的固有的热物理性质,表示导热能力的大小
- 固体导热率 > 气体导热率
- 影响因素:
- 状态和结构:气体靠分子热运动和相互碰撞,液体靠不规则的弹性振动,非导电固体靠晶格结构,金属靠自由电子
- 成分:纯铜398,但是掺杂了锌导热率下降很多
- 密度:“表观导热率”,在最佳密度下,导热率最小(应用:保温材料)
- 温度:温度上升,固体导热率下降,气体导热率上升

- 含水率:多孔材料容易吸收水分,使得导热率增大
保温材料采用空隙结构
- [1]空气的导热率比较小,[2]骨架的存在也削弱了辐射传热,[3]介质在保温材料中很少流动/不流动。保温材料的导热率低,是综合导热率低,是导热、对流、辐射的综合效果。
- 但是空隙中加了水,如果再结成冰,会增大导热率,需采取防水措施,与大气隔绝,可以增加保温材料的厚度
- 并非空隙越大越好,因为空隙太大,会形成自然对流换热,辐射的影响也会增强,
纯铜:398 W/(mK)
纯铝:236 W/(mK)
水:0.599 W/(mK)
保温材料:0.12 W/(mK)
空气:0.0258 W/(m*K)
六、导热微分方程
实质:导热能量方程,由能量守恒定律和傅里叶导热定律推导出
不适用于:流动的流体,因为导热微分方程仅考虑导入和导出微元体的热流量,而不考虑由于宏观流动流入和流出微元体的热流量

七、热扩散率 a
- 是物性参数,仅对非稳态导热有意义
- 又称“导温系数”,物理意义:物体传播温度变化能力的大小,反映了导热过程中材料的导热能力与沿途物质储热能力之间的关系,物体的热扩散率越大,物体内部各处的温度差别越小
热导率小的,如气体,热扩散率和金属相当。
八、定解条件
完整数学描述:导热微分方程 + 定解条件(包括时间条件和边界条件)
四类边界条件:
-
定温边界

-
定热流边界

-
对流换热


-
辐射换热(折算成hr)


九、热阻


注意:单位导热面积的热阻反而没有除以A
记忆方法:导热面积为A的导热热阻,需要除以A
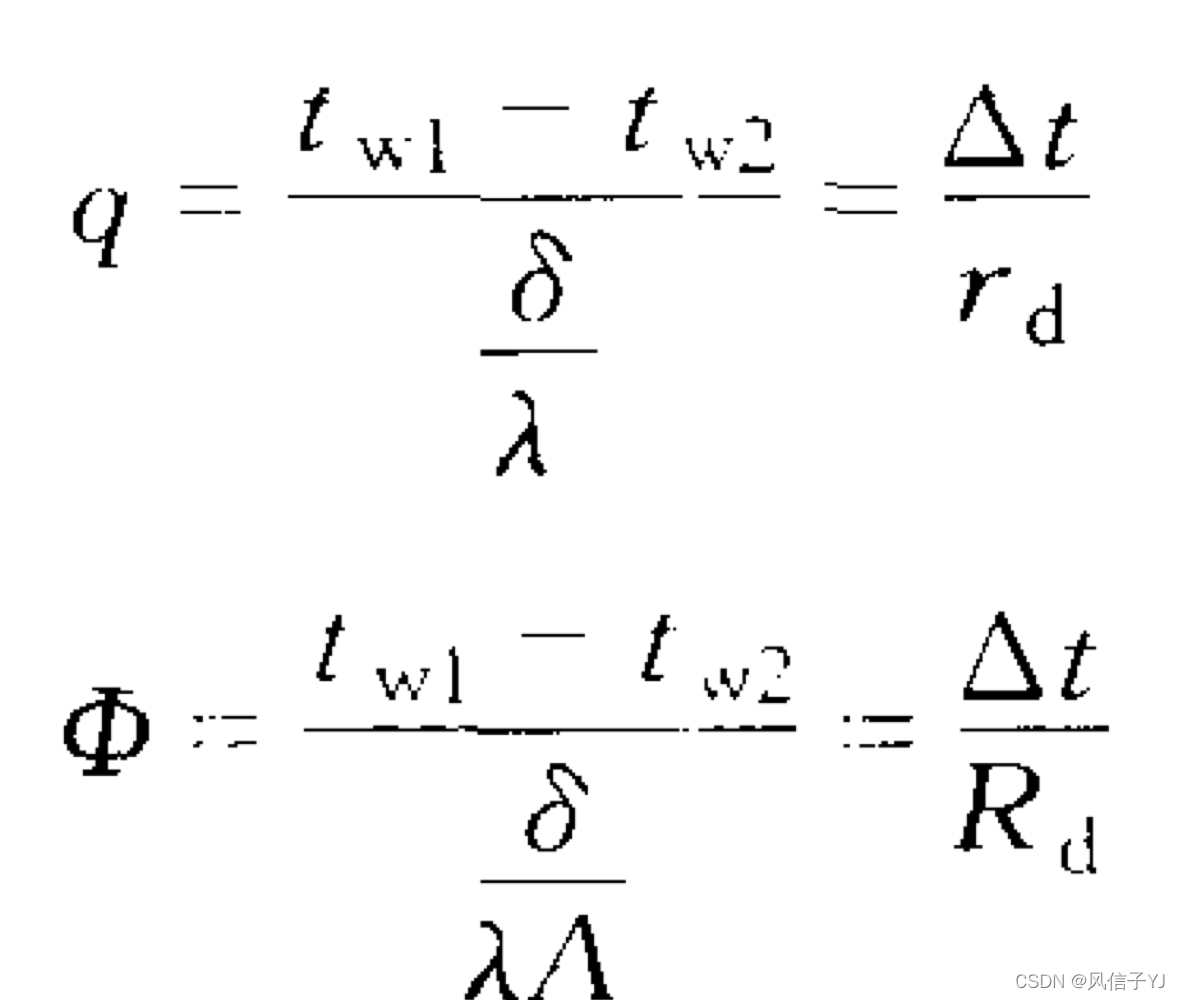
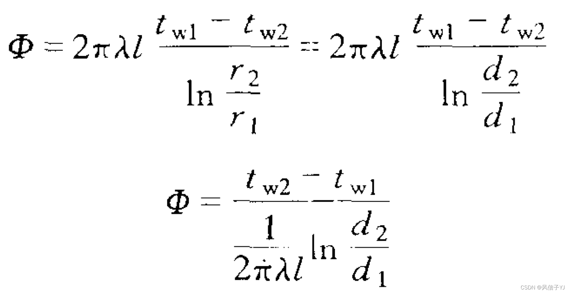
十、圆筒壁的导热热阻

球体的导热热阻:

十一、延伸体的稳态导热
书上以等截面矩形直肋为例,求解温度分布和热流量
思路:利用导热微分方程,完整的数学描述(包括控制方程+边界条件)



- 肋片的周围向外散热,沿高度x方向Φ不断减小,把对外散热当成负的内热源
- 引入过余温度,θ=t - t∞
- 温度和流量的计算公式也适用于端部绝热的圆柱形肋
- 端部散热:用Hc=H+Ac / P(等截面直肋Ac / P = δ/2)
- 只有当Bi<1,即内部导热热阻小于外部表面传热热阻时,加肋对传热有利。考虑到实际肋片并不是严格的一维稳态导热,将Bi<0.2作为肋片对传热有利的依据
- 加肋为什么有时对传热有利,使传热得到强化,为什么有时对传热不利,反而使传热削弱呢?
因为加肋片时一方面使表面传热热阻减小,另一方面增加了本身的导热热阻,因此总的传热热阻既有可能减小也有可能增加。当Bi较小时,导热热阻的增加小于表面传热热阻的减小,总热阻减小,对传热有利;反之则对传热不利。
这种情况在小圆管外加保温层时也可能发生,只有在do比较大时,加保温层才能减小传热量
十二、肋片效率、肋壁效率、肋化系数
肋片效率ηf:(期中考试)
f:fin

用途:
实际上的温度是逐渐减小的,实际散热量需要先求出肋片的温度分布,而假设整个肋片都处于肋根的温度下的散热量好求
现在通过肋片的几何尺寸,求出肋片效率,就是实际散热量和假设整个肋片都处于肋根的温度下的散热量的比值。
当导热率大,传热系数小,肋片效率较高
通过肋壁的传热
肋壁=平壁+肋片


肋壁效率ηo<1:

肋化系数:
o侧多了肋片,面积会大大增加,β远远大于1

十三、接触热阻的概念
两固体接触表面间的大部分空隙都充满了热导率很小的介质(空气),在界面上有热量传递时,界面上将产生一定的温度降落,引起这种温度降落的热阻称为接触热阻
虽然λ比较小,但是dx也很小,故dt不是很大,但有时候也要考虑
面接触热阻的大小:10-4,说明温度降落是不大的
十四、集总参数法
定义:忽略物体内部导热热阻、认为物体温度均匀一致的分析方法。此时,温度分布只与时间有关,与空间位置无关。
应用条件:Βi﹤0.1(也是肋片对传热有利的条件)
在使用集总参数法的时候,一定要检验Bi是否小于0.1
假设条件:
无内热源(这里的内热源是物体自身的内热源,不包括等效内热源)的任意形状的固体,突然置于温度恒定的环境中加热或者冷却

- 广义的内热源:物体表面的传热量等效于均布于物体内部的热产生的热量(对流散热→等效内热源)
- 从控制方程出发,引入过余温度
- 热量Q公式比较好记,Q=cmΔt,从τ=0时刻到τ时刻,通过物体传热表面传递的热量Q=Q0*(θ / θ0)
【区分】两个Bi
时间常数 τr = ρcV / hA:
★用来确定固体达到某个温度T所需的时间,也可以反向计算可以计算在某一个时间t到达的温度
既反映物体热容量的大小(分子),又反映表面传热情况(分母)
数值越小表示测温元件越能迅速地反映流体的温度变化:表明物体的表面传热好,hA大,热流量大,本身的热容量小,升温 / 降温快
十五、内部热阻不可忽略的非稳态导热的控制方程
- 当内部导热热阻不可忽略时,物体内部的温度分布不仅仅和时间有关,也和位置有关
- 在处理这类问题时,由于多了一项:a*t对x的二次导数,因此对流传热写成了第三类边界条件,而不是等效内热源
- 非稳态多了初始条件


十六、非正规阶段与正规阶段
非正规状况阶段:物体的温度分布主要受初始温度分布的影响
正规状况阶段:非稳态导热进行到一定时间后,初始温度分布的影响逐渐消失,物体中不同时刻的温度分布主要取决于热边界条件及物性
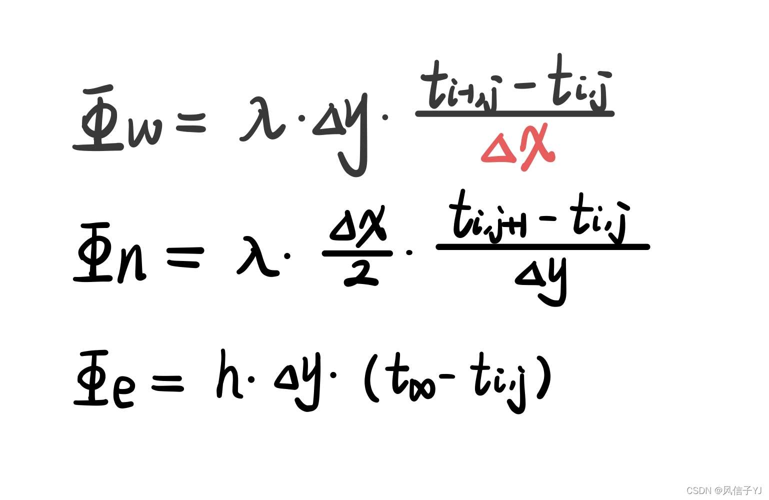
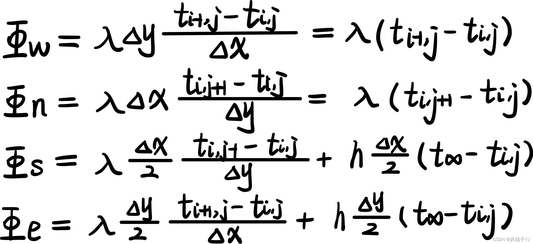
十七、有限差分方程
上北n,下南s,左西w,右东e,分开写热流量
利用单元体的热平衡法,一般考边界节点的有限差分方程
厚度方向为单位1
第一类边界条件:定温,不需要建立有限差分方程
第二类边界条件:定热流,q=const
第三类边界条件:对流换热,q=hΔt
第四类边界条件:辐射换热,q=εsσb(T14-T24)=hrΔt
【注意点】
- 边界节点的厚度都是Δx或者Δy,不会因为它在边界外面,就是Δx/2,Δy/2
- 但是导热面积和对流换热面积要除以2










非稳态问题的有限节点差分方程:
仍用热平衡法:导入/流入的热流量=单位时间内焓的增量


十八、影响对流传热(热对流+导热)系数的因素
- 流动的起因
强迫对流传热系数比自然对流传热系数大
强迫对流传热:6-1、6-2
自由对流传热:6-3
- 流动速度
流速增加,层流边界层厚度减小,湍流边界层中的层流底层的厚度也减小,对流传热热阻减小,对流传热系数增加。达到雷诺数之后,层流变成湍流,由湍流的掺混作用,对流传热增强
不管什么形式的对流传热,都要计算雷诺数/Gr,判断是层流还是湍流
- 流体有无相变
有相变时对流传热系数一般要比无相变时大:无相变时,流体仅改变显热,但是有相变时,流体吸收或者放出汽化潜热,同一种流体,汽化潜热比比热容大得多
单相:第六章
有相变:第七章
- 壁面的几何形状、大小和位置
由于传热面的几何形状和位置不同,流动情况也不同,传热面的大小、管束排列方式、管间距离、流体冲刷管子角度也影响着流动情况 - 流体的热物理性质
h=f(v,l,λ,ρ,cp,η)
对流传热是导热和流动着的流体携带能量的综合作用,因此h与反映流体导热能力的热导率λ,反映流体携带能量能力的密度ρ和定压比热容cp有关。
流体的粘度η会引起雷诺数Re的变化,从而影响影响流态和流动边界层厚度/用特征数关联式,用公式说话:粘度在Re数中出现在分母上,在Pr数中出现在分子上。结论:粘度越小,h越大
体膨胀系数aV影响自然对流传热时浮升力的大小和边界层内的速度分布
十九、流动边界层和热边界层
- 流动边界层:当流体沿着平壁流动时,由于流体的粘性作用,使得壁面附近流体流速降低,人们通常用相对流速u/u∞=0.99作为流动边界层边缘
- 热边界层;当流体沿着壁面流动时,流体与壁面之间存在着传热温差,在垂直于壁面的方向上,靠近壁面处流体的温度变化很激烈,在y=0处,流体的温度等于壁面温度tw,将过余温度=0.99作为热边界层的边缘

【对比】流动阻力主要发生在流动边界内,实际的的对流换热主要发生在热边界层内
对流换热的几点理解:
- 导热和热对流的综合作用,导热:本应该是相对静止的固体内部或者两个相对静止的物体之间,在层流边界层中,沿y方向的热量传递靠的是导热,但是这是对流条件下的导热,相邻层之间有相对滑动,并且滑动的速度不一样,由于外层的流动速度大,因此原本一维平壁导热是线性的,现在变成了抛物线形状。在湍流边界层内,层流底层沿y方向的热量传递也是靠的导热。层流底层很薄,温度分布近似为直线。
- 在层流边界层中/层流底层,沿y方向是没有速度的,所以是导热。但是在湍流核心区,y方向有脉动,所以以对流换热为主。
- 湍流边界层的热阻主要在层流底层,所以在湍流核心区,温度变化很平缓的。
- 当壁面温度等于流体温度时,只存在流动边界层而不存在热边界层。
二十、普朗特数Pr

流动边界层厚度δ反映动量扩散能力,和运动粘度有关
热边界层厚度δt反映热量扩散能力,和热扩散率有关

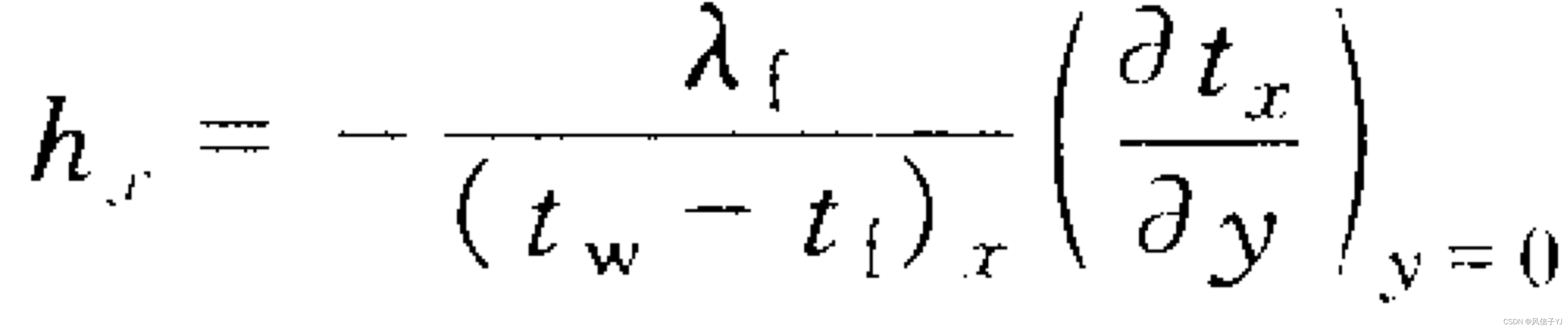
二十一、对流传热微分方程

hx:x处局部对流传热系数
(tw-tf)x:x处的对流传热温差
λf:流体的热导率
最后一项:壁面处,流体的温度变化率
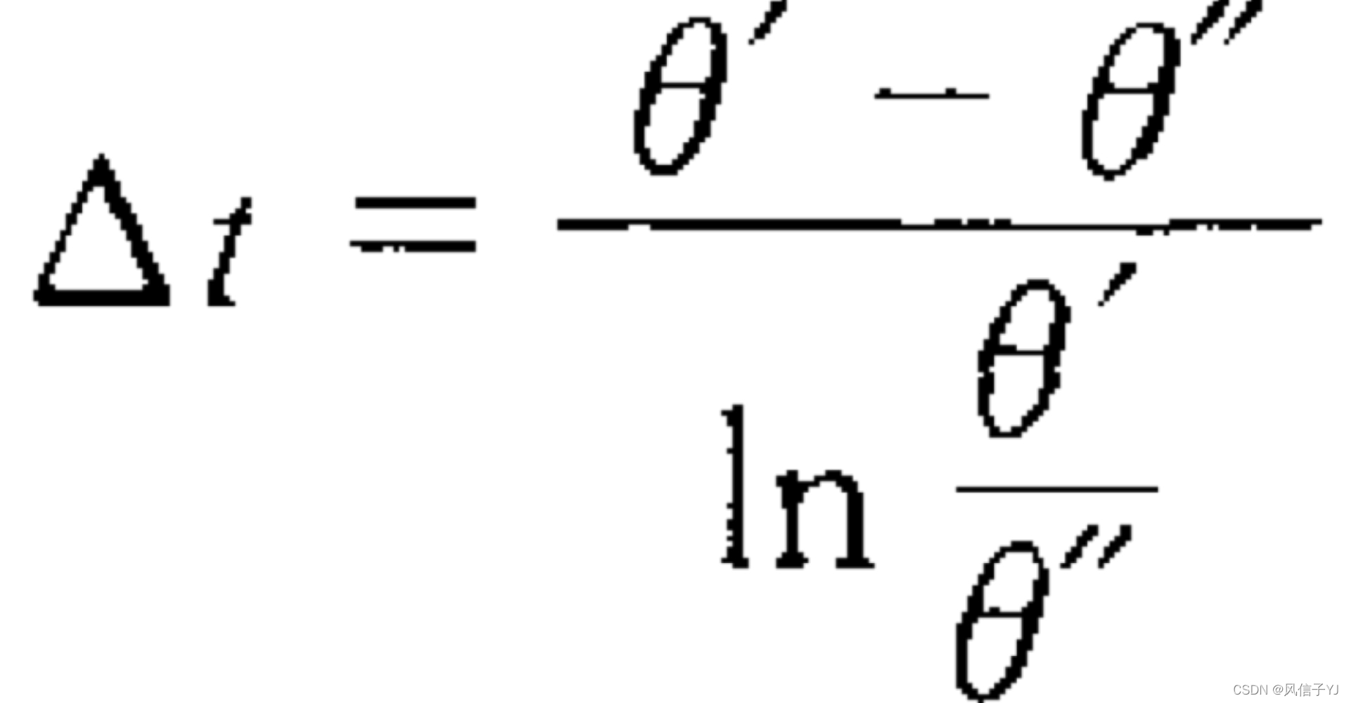
二十二、对流传热温差

过余温度:θ’=tf’-tw,θ’’=tf’'tw
二十三、湍流的入口段和充分发展段

充分发展段边界层厚度=管半径,流速沿轴向几乎不变,流速分布在管道截面中心部分比较平坦,管壁附近层流底层中流速变化很大。
二十四、层流的入口段和充分发展段

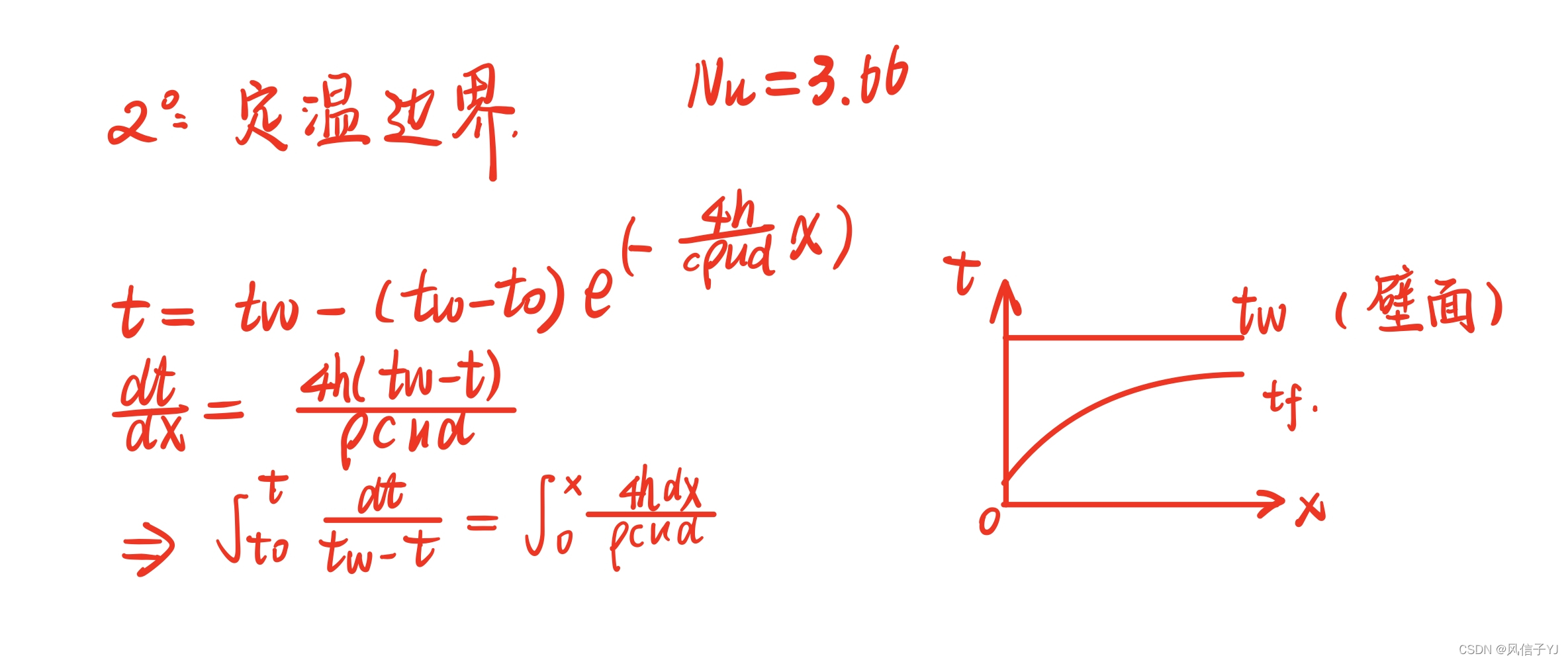
进入充分发展段后,边界层会在管中心线处汇合,对于常物性的流体来说,Nu数保持不变。对于圆管,恒壁温,Nu=3.66;恒热流时,Nu=4.36
定壁温
定热流
【结论】定热流传热效果比定壁温效果好:定热流传热温差大,传热效果好
二十五、特征长度、特征温度和特征流速
- 管内强迫对流传热:
di
tf = (tf’+tf’’) / 2
vf:平均温度下的流速 - 纵掠平壁:
l
tm = (tf+tw) / 2
v∞ - 横掠单管:
do
tm = (tf+tw) / 2
v0(自由流速) - 竖平壁/竖圆柱:
H
tm = (tf+tw) / 2 - 横圆柱:
d0
tm = (tf+tw) / 2
二十六、横掠单管强迫运动
- 沿曲面流动:压力先减小,后增加;流速先增加,后减小,会发生边界层的分离,掺混作用,导热变成了对流换热,h增大。
- Re数不同,发生边界层分离的点位置不同;当Re<10,不发生边界层分离
- 湍流区边界层分离传热效果比层流边界层分离的传热效果好
- 横掠的效果比纵掠好,根本原因:速度场和温度场的夹角最小,为0

二十七、横掠管束的对流传热
- 影响因素:管径、管距、管排数、排列方式
- 流体在管间交替地加速和减速
- 排数越多,h越大,但是经过几排之后,h就会稳定不变了:后排管子都处于前排管子的尾流中,在尾流漩涡的作用下,h增大
- Re数不大的情况下,叉排效果比顺排好:顺排的部分管面没有受到来流的直接冲刷
- Re数较高时,顺排效果反而好
二十八、导热等价于对流,Nu=1
导热等价于对流→导热热阻δ/λ=对流热阻1/h→Nu=1
二十九、凝结传热的分类
- 蒸气与低于其相应压力下的饱和温度的壁面接触时,会发生凝结过程
- 膜状凝结:当液体能润湿壁面,凝结液和壁面的润湿角θ<90,凝结液在壁面上形成一层完整的液膜
- 珠状凝结:当凝结液不能润湿壁面,凝结液在壁面上形成许多液滴,而不形成连续的液膜
- 珠状凝结的传热系数是膜状凝结的5~10倍
原因:液珠的直径很小,流出大量壁面与蒸汽直接接触
液珠不断增大,会在重力作用下滚下,过程中扫除了沿途的液珠
膜状凝结产生连续的液膜,随着重力增大厚度变厚
三十、影响凝结传热的因素
- 不凝结气体:不利因素,如空气,会产生气相热阻,使凝结热阻大大增加,传热系数大大减小
- 水蒸气流速:向下,且速度较大时(液膜被吹薄,不凝结气体被吹散,对流增强)向上,且流速不大(液膜变厚)向上,且流速很大(液膜被吹散,热阻减小)
- 传热面
- 蒸汽的过热度
- 冷凝液的过冷度










255

被折叠的 条评论
为什么被折叠?



