Cramer-Shoup 密码系统
密码学可证明安全推荐书目(系列博客内容为这两本书学习笔记与内容小结):
《密码学中的可证明安全性》杨波 清华大学出版社
《Introduction to Security Reduction》Fuchun Guo;Willy Susilo;Yi Mu Springer
Cramer-Shoup 方案描述
Setup:
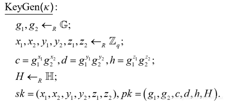
存在大素数群G,模素数为q,g1,g2 为群的生成元,明文消息为群G的元素,使用哈希函数将任意长度的字符映射到群中的元素。需要注意的是:这里的明文消息不是任意的字符串,而必须是群G上的元素,这就限制了该方案的灵活性,因为需要其他的辅助编码或者明文约定。
Keygen:

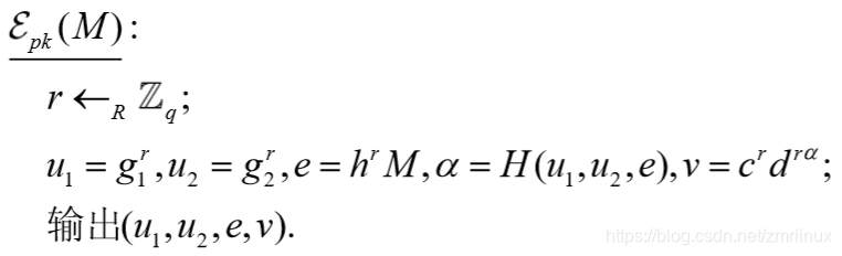
Enc:

Dec:

Cramer-Shoup的安全性证明
1. CPA安全性
由方案可知,Cramer-Shoup方案加密是变相的EIGameal 加密方案,而EIGameal 方案是IND-CPA安全的,那么可得Cramer-Shoup 也是IND-CPA安全的。
2. CCA安全性
由方案可知,Cramer-Shoup方案中的u2,v 这两个参数,实际上是用于数据的完整性检验,在之前学习CCA安全时,一个最为根本的问题就是如何消除密文的延展性,可以使用一次性签名保证密文的唯一与不可伪造有效性。这里用这个参数来保证密文的唯一性与不可伪造有效性。也就是说,敌手获得挑战密文后,难以伪造出与明文相关的密文,从而发动有效的攻击。所以,这个方案具备CCA2安全性。
3. 证明过程
定理声明:

IND-CCA游戏描述如下:

安全证明的本质是,如果敌手能够赢得这个游戏,那么敌手就能攻破这个方案。敌手攻破的这个方案,意味着敌手能够解决潜在的困难问题,这里的困难问题是DDH假设。但是同时,需要考虑另外的问题,解密预言机在回答敌手询问的时候,针对敌手发送的无效密文如何处理?如果预言机给敌手解密了无效的密文。敌手会不会获得相应的信息?那么敌手可能会计算无效的密文,发起主动的攻击。所以模拟者不能给与敌手无效密文回复。
这里,其实还有一个问题需要解决,就说敌手获得模拟者给与的挑战密文到底是不是正确的,如果不正确,那么意味着敌手不论有没有攻击能力都有二分之一的概率可以猜中,这是合理的。但是需要证明,敌手破解错误密文的概率与一次一密相同。才能支持上边的断言,即是是错误的挑战密文敌手也并不会具备多余的优势。
回到这个方案,敌手的成功概率描述如下:

![]()
断言3-5 意味着模拟者 模拟的协议是成功的,模拟成功是安全规约的第一步。
![]()
断言3-6 意味着如果是输出是随机的,那么敌手就会面临DDH困难问题,这要求敌手必须发起能够解决潜在困难问题的攻击。
![]()
断言3-6` 意味着当输出四元组是随机四元组时,模拟者以不可区分概率决绝无效密文,为什么呢?无效密文其实是敌手发起的无用的攻击方式,为了安全规约成功,我们必须将敌手逼迫到尽可能发起有用攻击的地步。所以需要尽可能的拒绝无效密文。
![]()
断言3-6`` 意味着如果能够拒绝敌手给出的无效密文,则敌手的优势是可以忽略的,主要使用了绝对困难问题隐藏了z1,z2信息。敌手依然不能从挑战密文中获取到私钥的信息,不能发起有效的攻击。
综上所述:

证明完毕。
断言的细节,在《密码学中的可证明安全性》有详细描述。
2112

被折叠的 条评论
为什么被折叠?



