文章目录
Author: CHEN, Yue
Organization: 浙江大学
Time Limit: 400 ms
Memory Limit: 64 MB
Code Size Limit: 16 KB
A1086 Tree Traversals Again (25point(s))
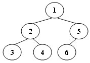
An inorder binary tree traversal can be implemented in a non-recursive way with a stack. For example, suppose that when a 6-node binary tree (with the keys numbered from 1 to 6) is traversed, the stack operations are: push(1); push(2); push(3); pop(); pop(); push(4); pop(); pop(); push(5); push(6); pop(); pop(). Then a unique binary tree (shown in Figure 1) can be generated from this sequence of operations. Your task is to give the postorder traversal sequence of this tree.

Figure 1
Input Specification:
Each input file contains one test case. For each case, the first line contains a positive integer N (≤30) which is the total number of nodes in a tree (and hence the nodes are numbered from 1 to N). Then 2N lines follow, each describes a stack operation in the format: “Push X” where X is the index of the node being pushed onto the stack; or “Pop” meaning to pop one node from the stack.
Output Specification:
For each test case, print the postorder traversal sequence of the corresponding tree in one line. A solution is guaranteed to exist. All the numbers must be separated by exactly one space, and there must be no extra space at the end of the line.
Sample Input:
6
Push 1
Push 2
Push 3
Pop
Pop
Push 4
Pop
Pop
Push 5
Push 6
Pop
Pop
Sample Output:
3 4 2 6 5 1
Code
#include <stdio.h>
#include <stdlib.h>
#include <string.h>
#include <stack>
using namespace std;
stack<int> st;
int n, temp, cnt = 0, cnt1 = 0, cnt2 = 0, inorder[31], preorder[31];
char ins[10];
typedef struct Node{
int data;
Node* lchild, *rchild;
}node, *nodep;
node num[31];
nodep build(int prel,int prer, int inl,int inr){
if (prel > prer) return NULL;
nodep root = (node*)malloc(sizeof(node));
root->data = preorder[prel];
int i = 0;
for (i = inl; i <= inr; i++)
if (inorder[i] == preorder[prel])
break;
root->lchild = build(prel + 1, prel + i - inl, inl, i - 1);
root->rchild = build(prel + i - inl + 1, prer, i + 1, inr);
return root;
}
void postorder(nodep root){
if (root == NULL) return;
postorder(root->lchild);
postorder(root->rchild);
printf("%d", root->data);
if (++cnt < n) printf(" ");
}
int main(){
scanf("%d", &n);
for (int i = 0; i < 2 * n; i++){
scanf("%s", ins);
if (strlen(ins) == 4){
scanf("%d", &temp);
preorder[cnt1++] = temp;
st.push(temp);
}
else{
inorder[cnt2++] = st.top();
st.pop();
}
}
nodep root = build(0, n - 1, 0, n - 1);
postorder(root);
printf("\n");
return 0;
}
Analysis
-用栈的形式给出一棵二叉树的建立的顺序,求这棵二叉树的后序遍历
本文介绍了一种通过栈操作实现二叉树构建的方法,并给出了相应的后序遍历序列。利用递归思想,文章详细解析了如何从给定的栈操作序列中恢复二叉树结构,最终输出树的后序遍历结果。
1354

被折叠的 条评论
为什么被折叠?



