目录
一. 树
1.1 树的结构与概念
树是⼀种⾮线性的数据结构,它是由 n(n>=0) 个有限结点组成⼀个具有层次关系的集合。把它叫做 树是因为它看起来像⼀棵倒挂的树,也就是说它是根朝上,⽽叶朝下的。
有⼀个特殊的结点,称为根结点,根结点没有前驱结点。
|
除根结点外,其余结点被分成
M(M>0)
个互不相交的集合
T1
、
T2
、
……
、
Tm
,其中每⼀个集合 Ti(1 <= i <= m) ⼜是⼀棵结构与树类似的⼦树。每棵⼦树的根结点有且只有⼀个前驱,可以 有 0
个或多个后继。因此,树是递归定义的。
|
⼦树是不相交的
|
除了根结点外,每个结点有且仅有⼀个⽗结点
|
⼀棵N个结点的树有N-1条边
|
1.2 树的相关用语

⽗结点/双亲结点:
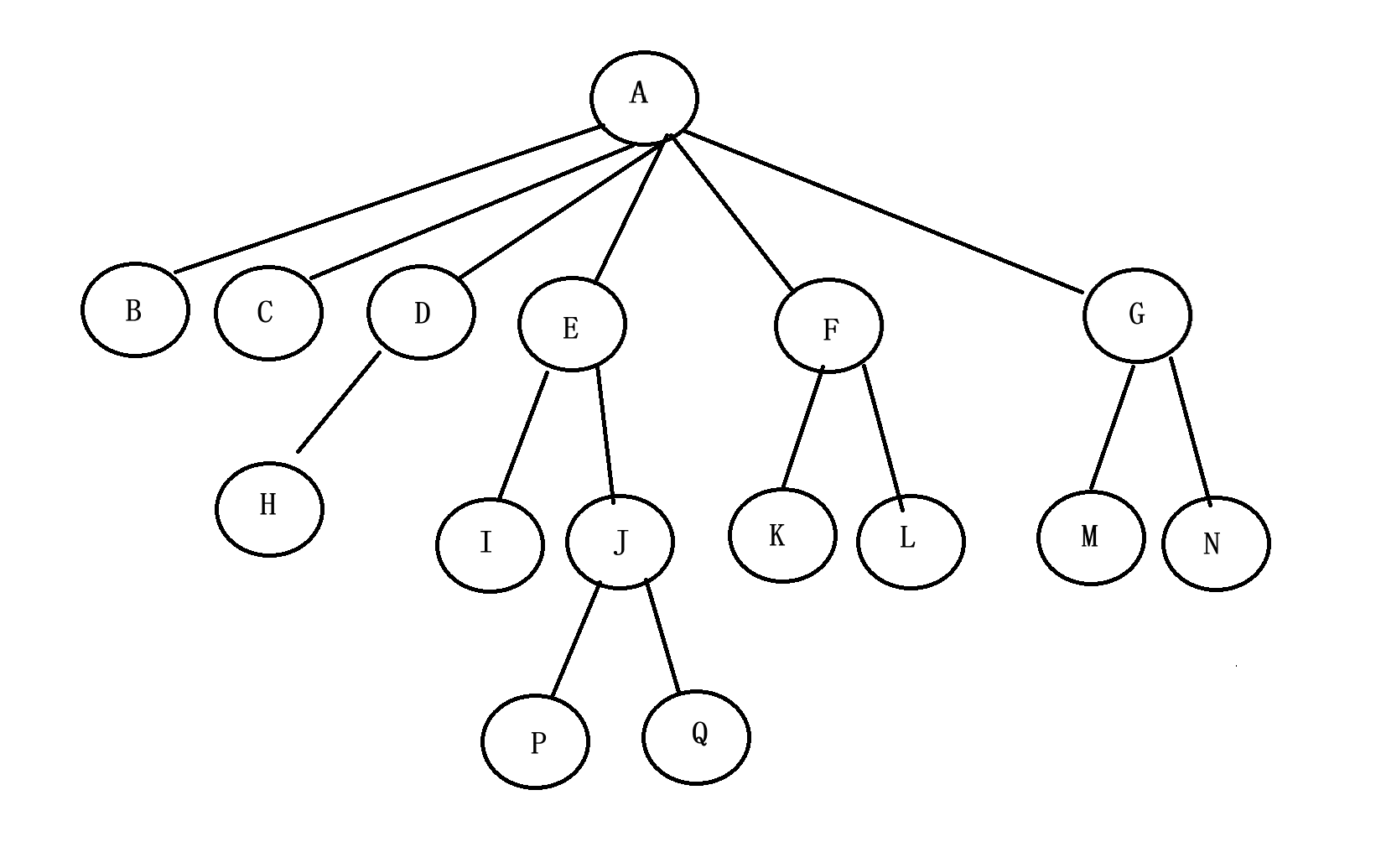
若⼀个结点含有⼦结点,则这个结点称为其⼦结点的⽗结点; 如上图:A是B的⽗结点
⼦结点/孩⼦结点:
⼀个结点含有的⼦树的根结点称为该结点的⼦结点; 如上图:B是A的孩⼦结点
结点的度:⼀个结点有⼏个孩⼦,他的度就是多少;⽐如A的度为6,F的度为2,K的度为0
树的度:⼀棵树中,最⼤的结点的度称为树的度; 如上图:树的度为
6
叶⼦结点/终端结点:
度为
0
的结点称为叶结点; 如上图:
B
、
C
、
H
、
I...
等结点为叶结点
分⽀结点/⾮终端结点:度不为
0
的结点; 如上图:
D
、
E
、
F
、
G...
等结点为分⽀结点
兄弟结点:具有相同⽗结点的结点互称为兄弟结点(亲兄弟); 如上图:
B
、
C
是兄弟结点
结点的层次:从根开始定义起,根为第
1
层,根的⼦结点为第
2
层,以此类推;
树的⾼度或深度:
树中结点的最⼤层次; 如上图:树的⾼度为
4(一般把第一层设为1)。
结点的祖先:从根到该结点所经分⽀上的所有结点;如上图:
A
是所有结点的祖先
路径:⼀条从树中任意节点出发,沿⽗节点-⼦节点连接,达到任意节点的序列;⽐如A到Q的路径为: A-E-J-Q;H到Q的路径H-D-A-E-J-Q
⼦孙:以某结点为根的⼦树中任⼀结点都称为该结点的⼦孙。如上图:所有结点都是A的⼦孙
森林:由
m
(
m>0
) 棵互不相交的树的集合称为森林;
1.3 树的表示
孩⼦兄弟表⽰法:(天才一样的想法)
树结构相对线性表就⽐较复杂了,要存储表⽰起来就⽐较⿇烦了,既然保存值域,也要保存结点和结点之间的关系,实际中树有很多种表⽰⽅式如:双亲表⽰法,孩⼦表⽰法、孩⼦双亲表⽰法以及孩⼦兄弟表⽰法等。我们这⾥就简单的了解其中最常⽤的孩⼦兄弟表⽰法。

如果不用这样表示,那么我们不知道应该创建几个节点对于每个父节点来说。虽然可以创建一个指针数组来存放,但是这样太浪费内存了。
1.4 树形结构实际运用场景
⽂件系统是计算机存储和管理⽂件的⼀种⽅式,它利⽤树形结构来组织和管理⽂件和⽂件夹。在⽂件系统中,树结构被⼴泛应⽤,它通过⽗结点和⼦结点之间的关系来表⽰不同层级的⽂件和⽂件夹之间的关联。就是我们每个盘里面创建的文件以及文件里面的文件。
二. 二叉树
2.1 概念与结构
在树形结构中,我们最常⽤的就是⼆叉树,⼀棵⼆叉树是结点的⼀个有限集合,该集合由⼀个根结点加上两棵别称为左⼦树和右⼦树的⼆叉树组成或者为空。
⼆叉树不存在度⼤于
2
的结点
|
⼆叉树的⼦树有左右之分,次序不能颠倒,因此⼆叉树是有序树
|
2.2 特殊的二叉树
2.2.1 满二叉树
⼀个⼆叉树,如果每⼀个层的结点数都达到最⼤值,则这个⼆叉树就是满⼆叉树。也就是说,如果⼀个⼆叉树的层数为 K
,且结点总数是
2 k
− 1
,则它就是满⼆叉树。

2.2.2 完全二叉树
完全⼆叉树是效率很⾼的数据结构,完全⼆叉树是由满⼆叉树⽽引出来的。对于深度为
K
的,有
n
个结点的⼆叉树,当且仅当其每⼀个结点都与深度为K的满⼆叉树中编号从 1
⾄
n
的结点⼀ 对应时称之为完全⼆叉树。要注意的是满⼆叉树是⼀种特殊的完全⼆叉树。

二叉树的性质:
若规定根结点的层数为
1
,则⼀棵⾮空⼆叉树的第i层上最多有
2
i
−1
个结点
|
若规定根结点的层数为
1
,则深度为
h
的⼆叉树的最⼤结点数是
2
h
− 1
|
若规定根结点的层数为 1 ,具有 n 个结点的满⼆叉树的深度 h = log2 (n + 1) ( log以2为底, n+1 为对数) |
2.3 二叉树存储结构
⼆叉树⼀般可以使⽤两种结构存储,⼀种顺序结构,⼀种链式结构。
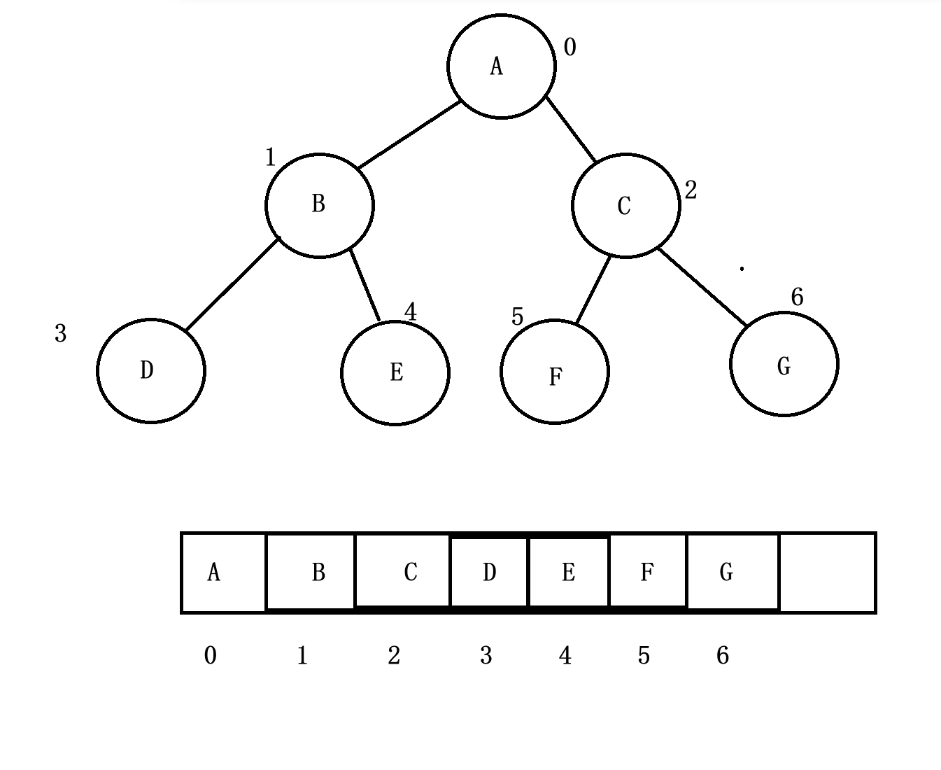
2.3.1顺序结构
顺序结构存储就是使⽤数组来存储,⼀般使⽤数组只适合表⽰完全⼆叉树,因为不是完全⼆叉树会有空间的浪费,完全⼆叉树更适合使⽤顺序结构存储。

现实中我们通常把堆(⼀种⼆叉树)使⽤顺序结构的数组来存储,需要注意的是这⾥的堆和操作系统虚拟进程地址空间中的堆是两回事,⼀个是数据结构,⼀个是操作系统中管理内存的⼀块区域分段。
2.3.2 链式结构
⼆叉树的链式存储结构是指,⽤链表来表⽰⼀棵⼆叉树,即⽤链来指⽰元素的逻辑关系。 通常的⽅法 是链表中每个结点由三个域组成,数据域和左右指针域,左右指针分别⽤来给出该结点左孩⼦和右孩 ⼦所在的链结点的存储地址 。链式结构⼜分为⼆叉链和三叉链,当前我们学习中⼀般都是⼆叉链。后 ⾯课程学到⾼阶数据结构如红⿊树等会⽤到三叉链。