题目
n*m(2<=n,m<=1e6,n*m<=1e6)的矩阵,
第i行第j列元素a[i][j](0<=a[i][j]<=n*m)
对于值为0的元素,你可以将其赋值为任意正整数,
不同位置的0元素,可以被赋值成不同的正整数
然后,你可以执行以下操作若干次:
1. 选择行i和行j,对于k∈[1,m],交换a[i][k]和a[j][k]
2. 选择列i和列j,对于k∈[1,n],交换a[k][i]和a[k][j]
若干次操作后,问矩阵是否能满足以下条件:
- A1,1≤A1,2≤⋯≤A1,W≤A2,1≤A2,2≤⋯≤A2,W≤A3,1≤⋯≤AH,1≤AH,2≤⋯≤AH,W
即每一行行内非严格递增,且第i行的最大值不超过第i+1的最大值
思路来源
官方题解
题解
首先,0是可以被忽略的,假设在一个非严格递增序列中插入0,
则0总可以赋值成其相邻左侧,或相邻右侧的值,使得序列的非严格递增性质保持不变
然后,矩阵会有一个行限制和一个列限制
1. 行限制,记每一行的最小值和最大值(mn,mx),然后按mn排增序,
则排增序之后,第i项的mx需要小于等于第i+1项的mn
2. 列限制,行操作完之后,每次只能交换两列,若干次操作后,
相当于找到一个列号的排列,使得每一行内成非严格递增
对于同一行不同列内的两个值来说,若j1列的值v1<j2列的值v2,则列j1需要在列j2左侧
连一条边之后,相当于需要对m列确定一个拓扑序,
但如果对每一行暴力连边,一行内的边数最多是C(m,2)的,总数n*C(m,2),不能接受
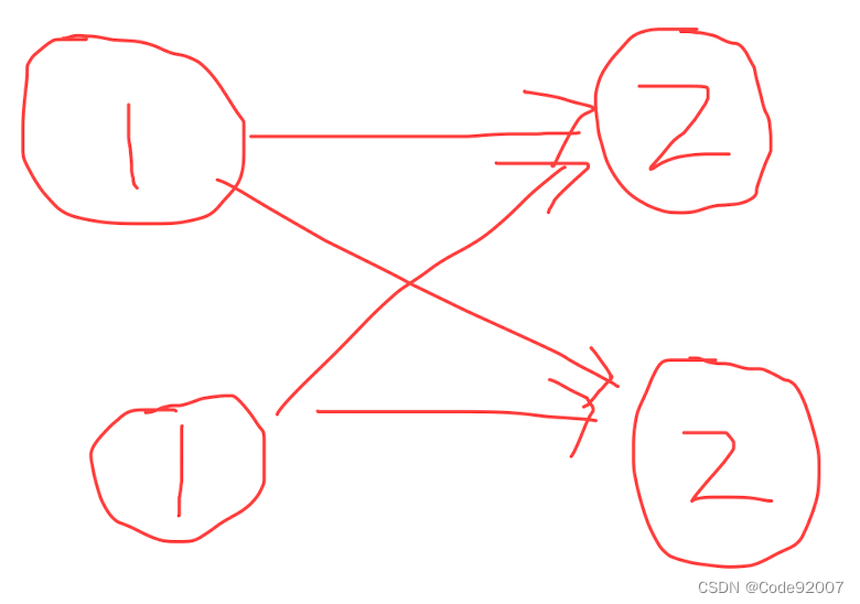
假设有两列的值是1,两列的值是2,考虑按如下图示,优化建边数
优化后,总的点数大致在2e6级别,而边数也大致在4e6级别,直接topo排序即可
图示
暴力连边
建虚点x连边

心得
虚点的做法,典中典,
之前只是在最短路中搞过虚点,实际这题说明,
需要连n*m条边的场合,都可以考虑尝试是不是能优化成n+m条边的
代码
#include<bits/stdc++.h>
using namespace std;
typedef long long ll;
typedef pair<int,int> P;
const int N=2e6+10,INF=0x3f3f3f3f;
int n,m,in[N],tot,id;
P b[N],x[N];
vector<int>e[N];
queue<int>q;
void add(int u,int v){
e[u].push_back(v);
in[v]++;
}
int main(){
scanf("%d%d",&n,&m);
vector<vector<int>>a(n+1,vector<int>(m+1,0));
id=m;
for(int i=0;i<n;++i){
int c=0,cnt=0,mn=N,mx=0;
for(int j=0;j<m;++j){
scanf("%d",&a[i][j]);
cnt+=(!a[i][j]);
if(a[i][j]){
x[c++]=P(a[i][j],j);
mn=min(mn,a[i][j]);
mx=max(mx,a[i][j]);
}
}
if(cnt==m)continue;
b[tot++]=P(mn,mx);
sort(x,x+c);// 列限制
int las=-1;
for(int j=0;j<c;){
int k=j;
while(k+1<c && x[k+1].first==x[k].first)k++;
if(~las)for(int l=j;l<=k;++l)add(las,x[l].second);
las=id++;
for(int l=j;l<=k;++l)add(x[l].second,las);
j=k+1;
}
}
sort(b,b+tot);// 行限制
for(int i=1;i<tot;++i){
if(b[i-1].second>b[i].first){
cout<<"No"<<endl;
return 0;
}
}
for(int i=0;i<id;++i){
if(!in[i])q.push(i);
}
while(!q.empty()){
int u=q.front();q.pop();
id--;
for(auto &v:e[u]){
if(!(--in[v])){
q.push(v);
}
}
}
cout<<(!id?"Yes":"No")<<endl;
return 0;
}
该博客探讨了一种矩阵操作问题,其中目标是通过有限次的行和列交换,使矩阵每一行内非严格递增且任意一行的最大值不超过下一行的最大值。作者提出忽略0元素并优化建边策略,将原本复杂度较高的问题转化为拓扑排序问题,最终实现解决方案。

277

被折叠的 条评论
为什么被折叠?



