题目描述
给定一个整数 n,计算所有小于等于 n 的非负整数中数字 1 出现的个数。
示例1
输入:
13
输出:
6
解释:
数字 1 出现在以下数字中: 1, 10, 11, 12, 13 。
题解
这题是我搜数位 dp 题目搜出来的,于是我直接用数位 dp 方法把它过了,后来发现其实没必要这么麻烦,简单的计算就能算出来了,这里两个方法我都讲一下。
数学方法
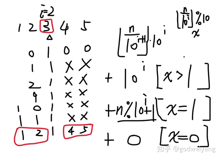
我们不妨用 n = 12345 来举个例子。要求小于等于 n 的数字里有多少个 1 ,我们不妨转换个角度,看某一位数字是 1 的话,有多少数字小于 n 。
例如从右向左数第 i = 2 位(数字 3 ),如果这一位取 1 ,那么左边 2 位如果取 0~11 ,那么右边 2 位就没有任何限制,从 0 取到 99 都行。如果左边 2 位如果取 12 ,那么就得考虑 n 中第 i 位是几了,如果大于 1 ,那么右边 2 位还是没有限制;如果等于 1 ,那么右边 2 位只能取 0~45 ;如果等于 0 ,那就没得取了。
下面这张图是我打的草稿,看的更清楚一点:
一般化描述就是,考虑从右往左数第 i 位是 1 的数字数量。那么 n 中第 i 位左边部分的数字是
,而右边可以取的数量是
,相乘就是总的数量
。如果左边直接取最大值,那么就要考虑第 i 位数字是几了,计算可以得到第 i 位数字为
,记为 x 。如果
,那么右边无限制,有
种取法;如果
,那么右边有
种取法;如果
,那么右边无法取,因为第 i 位都没法取 1 。
综上,令
,那么答案就是:

本文介绍了一种高效算法,用于计算小于等于给定整数的所有非负整数中数字1出现的总数。通过数学方法和数位动态规划两种途径解析问题,提供了C++和Python的实现代码。
最低0.47元/天 解锁文章
580

被折叠的 条评论
为什么被折叠?



