一、简介
1、介绍
Docker跨主机容器间网络通信实现的工具有Pipework、Flannel、Weave、Open vSwitch(虚拟交换机)、Calico
Flannel是CoreOS团队针对Kubernetes设计的一个网络规划服务,简单来说,它的功能是让集群中的不同节点主机创建的Docker容器都具有全集群唯一的虚拟IP地址。但在默认的Docker配置中,每个节点上的Docker服务会分别负责所在节点容器的IP分配。这样导致的一个问题是,不同节点上容器可能获得相同的内外IP地址。并使这些容器之间能够之间通过IP地址相互找到,也就是相互ping通
Flannel的设计目的就是为集群中的所有节点重新规划IP地址的使用规则,从而使得不同节点上的容器能够获得"同属一个内网"且"不重复的"IP地址,并让属于不同节点上的容器能够直接通过内网IP通信
Flannel实质上是一种"覆盖网络(overlay network)",即表示运行在一个网上的网(应用层网络),并不依靠ip地址来传递消息,而是采用一种映射机制,把ip地址和identifiers做映射来资源定位。也就是将TCP数据包装在另一种网络包里面进行路由转发和通信,目前已经支持UDP、VxLAN、AWS VPC和GCE路由等数据转发方式
2、Flannel工作原理
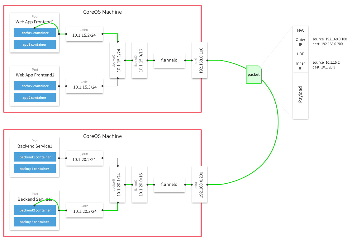
每个主机配置一个ip段和子网个数。例如,可以配置一个覆盖网络使用 10.100.0.0/16段,每个主机/24个子网。因此主机a可以接受10.100.5.0/24,主机B可以接受10.100.18.0/24的包。flannel使用etcd来维护分配的子网到实际的ip地址之间的映射。对于数据路径,flannel 使用udp来封装ip数据报,转发到远程主机。选择UDP作为转发协议是因为他能穿透防火墙。例如,AWS Classic无法转发IPoIP or GRE 网络包,是因为它的安全组仅仅支持TCP/UDP/ICMP。 Flannel工作原理流程图如下 (默认的节点间数据通信方式是UDP转发; flannel默认使用8285端口作为UDP封装报文的端口,VxLan使用8472端口)

Flannel的工作原理解释如下
1、数据从源容器中发出后,经由所在主机的docker0虚拟网卡转发到flannel0虚拟网卡,这是个P2P的虚拟网卡,flanneld服务监听在网卡的另外一端
2、Flannel通过Etcd服务维护了一张节点间的路由表,该张表里保存了各个节点主机的子网网段信息
3、源主机的flanneld服务将原本的数据内容UDP封装后根据自己的路由表投递给目的节点的flanneld服务,数据到达以后被解包,然后直接进入目的节点的flannel0虚拟网卡,然后被转发到目的主机的docker0虚拟网卡,最后就像本机容器通信一样的由docker0路由到达目标容器
这样整个数据包的传递就完成了,这里需要说明三个问题:
1、UDP封装是怎么回事?
在UDP的数据内容部分其实是另一个ICMP(也就是ping命令)的数据包。原始数据是在起始节点的Flannel服务上进行UDP封装的,投递到目的节点后就被另一端的Flannel服务
还原成了原始的数据包,两边的Docker服务都感觉不到这个过程的存在
2、为什么每个节点上的Docker会使用不同的IP地址段?
这个事情看起来很诡异,但真相十分简单。其实只是单纯的因为Flannel通过Etcd分配了每个节点可用的IP地址段后,偷偷的修改了Docker的启动参数。
在运行了Flannel服务的节点上可以查看到Docker服务进程运行参数(ps aux|grep docker|grep "bip"),例如“--bip=182.48.25.1/24”这个参数,它限制了所在节
点容器获得的IP范围。这个IP范围是由Flannel自动分配的,由Flannel通过保存在Etcd服务中的记录确保它们不会重复
3、为什么在发送节点上的数据会从docker0路由到flannel0虚拟网卡,在目的节点会从flannel0路由到docker0虚拟网卡?
例如现在有一个数据包要从IP为172.17.18.2的容器发到IP为172.17.46.2的容器。根据数据发送节点的路由表,它只与172.17.0.0/16匹配这条记录匹配,因此数据从docker0出来以后就被投递到了flannel0。同理在目标节点,由于投递的地址是一个容器,因此目的地址一定会落在docker0对于的172.17.46.0/24这个记录上,自然的被投递到了docker0网卡
二、部署环境
| 系统 |

本文详细介绍了Docker的Flannel网络配置,包括Flannel的简介、工作原理、部署环境,以及如何验证容器互通和配置backend为host-gw。Flannel通过Etcd分配IP地址段,使用UDP或host-gw模式实现跨主机容器网络通信。
最低0.47元/天 解锁文章
1182

被折叠的 条评论
为什么被折叠?



