常用求素数的方法

本文探讨了素数的基本性质,如六倍原理,并详细介绍了两种素数筛法:埃氏筛法与欧拉筛法。埃氏筛法通过去除不大于根号n的所有素数的倍数来获取素数,而欧拉筛法则优化了这一过程,确保每个合数仅由其最小质因数筛除一次,从而提高了效率。
* 题外:回文素数一定是奇数位abcba式的证明:

(跟求素数没啥关系,就是刚好看见顺便记下,怕又忘了……)

  1. 偶回文数的各个数位可以分解为 n * 100…001(两个1中间若干个0)的形式
    而这个 100…001 是能被11整除的,所以偶数位的回文数一定不是质数……

  2. 一个整数如果奇数位的数字和等于偶数位的数字和,则其能被11整除。如果一个回文数的长度为偶数,则显然有这个特征。由此完成证明.

嗯,说正事!

1.通过性质判断 :

  • <= sqrt(n)(常用 n/2 代替)

  • 六倍原理:(必要条件 : 如 ‘ 25 ’ 符合条件但不是素数)
    当 n >= 5时,若n是素数,则 n = 6k + 1 or n = 6k-1

    证明
    6k-3,6k+3显然能被 3 整除;6k-2,6k+2显然能被2整除,6k就不说了,所以显然就剩 6k-1,6k+1俩了,自然就在这个范围内找了(注意包括2,3)……

2.筛法判断:(数量较大,均围绕着“素数的倍数不是素数”进行筛选)

* 普通筛法—埃氏筛法

原理:

要得到自然数n以内的全部素数,必须把不大于根号n的所有素数的倍数剔除,剩下的就是素数。
给出要筛数值的范围n,找出n以内的素数:先用2去筛,即把2留下,把2的倍数剔除掉;再用下一个质数,也就是3筛,把3留下,把3的倍数剔除掉;接下去用下一个质数5筛,把5留下,把5的倍数剔除掉;不断重复下去…

注意:

素数是在删的过程中就能依次得到!而不是所有删除操作结束后才能得到!因为选取的数是依次递增的……

原理图如下,我就是个搬运工……
在这里插入图片描述

const int MAX = 9999; 
int b[MAX];
int a[MAX] = {0};
int k = 0;
for(int i = 2;i <= n;i++){  // n 为所求范围 
	if(a[i] == 0){ //未被筛去
	 
		for(int j = 2;i * j <= n;j++){
			    a[i*j] = 1;
		}
		b[k++] = i;  // 记录该素数 
	}
}

算法的时间复杂度为O(nloglogn),(额,不会证……)感觉还可以,but……在删除的过程中做了很多重复的工作,
比如 15 既是 3 的倍数又是 5 的倍数,会被筛两次。为了减少这种不必要的操作,因此我们将埃氏筛法进行改进,有了欧拉筛法:

* 线性筛法—欧拉函数筛法

改进:让每个合数只被其最小质因数筛一次,让算法复杂度从O(nloglogn)降到了 O(n)

先上代码吧

const int MAX = 9999; 
int b[MAX];
int a[MAX] = {0};
int k = 0;
for(int i = 2;i <= n;i++){  // n 为所求范围 
	if(a[i] == 0)//未被筛去
		b[k++] = i;  // 记录该素数 
		
		for(int j = 0;j < k && i * b[j] <= n;j++){
			     a[i * b[j]] = 1;
			     if(i % b[j] == 0) break; // 当 a[i] != 0 时 
		}
	}
对于欧拉筛法对埃氏筛法的优化,
举个栗子说话 ,比如删 以素数 3为因数的那些合数:

从上面代码有 b[1] = 3, 通过 i * b[j] 来筛去3的倍数:3* 3, 5 * 3 , 7*3……等i为大于等于b[1]的奇数的倍数,而对于i 为偶数的倍数(令m = i * b[1]),通过b[1]根本计算不到,因为在 i % b[0] == 0 这一步判断时便被排除了,m只能被2筛去,这符合欧拉筛法的优化思想,每个数只出现一次,证明在下面……

而对于 i倍数比3本身小的数,如6,没有2 * 3,只能通过 3 * 2 被筛去,这恰是埃氏筛法的薄弱之处了(对于6,既会被2筛一次,又会被3筛一次,即6会多次出现,此后再筛都是 做的重复工作)事实上对于任一合数,欧拉筛法能做到,一个合数一定是被其最小质因数筛去的,且该合数只出现一次,这样便减少了很多不必要的计算。

个人理解证明如下:

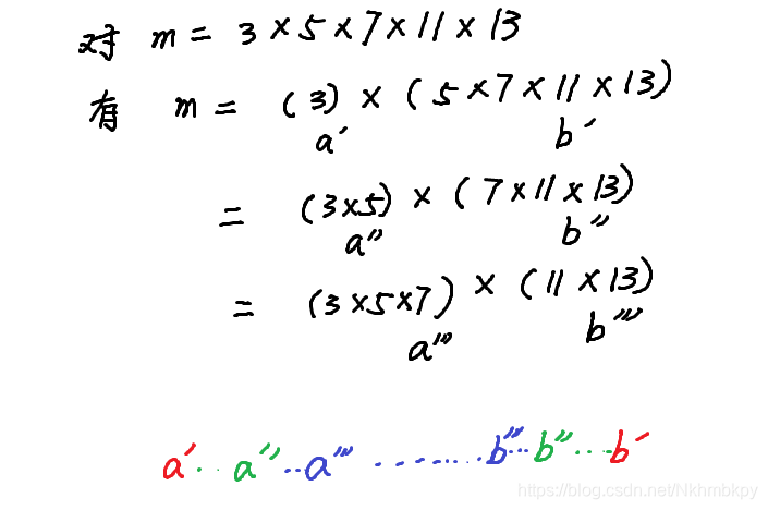
对于任意合数m = a * b;(a < b,符合 b[j] * i )

1.a,b均为奇数

若a 可分解,则只能分解为多个奇数相乘,对b同样如此,此时 m = (a1 * a2……an) * (b1 * b2……bn),将ai 与 bi 进行随机组合得 m = a’ * b’,所有组合在数轴上的分布如下:
(注:由于自由组合个数还是挺多的,懒得全部列出,但道理是一样的)在这里插入图片描述
易得,将 a * b 对应为 b[j] * i,可知除了第一种情况外,其他情况都是不成立的,因为b[j]只能为素数,即意味着对于i =(7 * 11 * 13)不存在 b[j] =(3 * 5),也就不会出现m,其他的情况如此类推

2.其他情况

在这里插入图片描述
将所有 ai分成两堆后能得到上面三种情况,
对于 m = 2n,易得循环中只有 m = i * b[0] 这一种情况能出现,

对于第一种,若a’ 是可分解的,分解方式同第一种,那b[j]中一定只存在那个最小的 a’,使得 a’ * b’ = m,(不然作为一个可分解的合数,是没有资格出现在b[j]中的,下面的理由相同

对于第二种情况,a”除非是2,否则不存在于b[j]中,因此同样只会有一个 a” * b” = m;

对于第三种情况,依然是除非 a’” 是2,否则不会出现,事实上2)、3)可归为一种,因为 i 的取值只要 >= 2即可

综上我们可以得出结论,对于任意一个合数,a[ i*b[j] ] = 1 的计算都只会出现一次!即优化可行。
评论 1
添加红包

请填写红包祝福语或标题

红包个数最小为10个

红包金额最低5元

当前余额3.43前往充值 >
需支付:10.00
成就一亿技术人!
领取后你会自动成为博主和红包主的粉丝 规则
hope_wisdom
发出的红包
实付
使用余额支付
点击重新获取
扫码支付
钱包余额 0

抵扣说明:

1.余额是钱包充值的虚拟货币,按照1:1的比例进行支付金额的抵扣。
2.余额无法直接购买下载,可以购买VIP、付费专栏及课程。

余额充值