镜像二叉树和求二叉树最大深度
镜像二叉树。有些题目叫翻转二叉树。是同一个题。
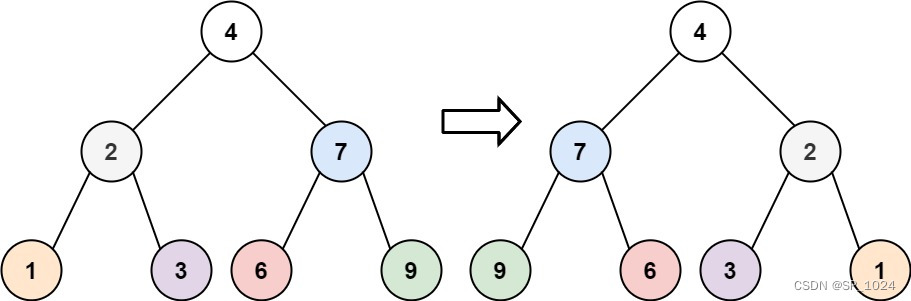
题目描述:给你一棵二叉树的根节点 root ,翻转这棵二叉树,并返回其根节点。
示例:
思路:
这题用递归就很简单,递归左树和右树时,将左右交换下,直接代码演示
* Definition for a binary tree node.
* public class TreeNode {
* int val;
* TreeNode left;
* TreeNode right;
* TreeNode() {}
* TreeNode(int val) { this.val = val; }
* TreeNode(int val, TreeNode left, TreeNode right) {
* this.val = val;
* this.left = left;
* this.right = right;
* }
* }
*/
class Solution {
public TreeNode invertTree(TreeNode root) {
if(root == null){
return null;
}
process(root);
return root;
}
public TreeNode process(TreeNode root){
if(root == null){
return null;
}
TreeNode left = process(root.left);
TreeNode right = process(root.right);
root.left = right;
root.right = left;
return root;
}
}
二叉树的最大深度
题目描述:
给定一个二叉树,找出其最大深度。
二叉树的深度为根节点到最远叶子节点的最长路径上的节点数。
说明: 叶子节点是指没有子节点的节点。
示例:

返回它的最大深度 3 。
思路:
使用递归去获取左树和右树的高度,取最大的加顶点1,就是最大高度。
代码如下:
/**
* Definition for a binary tree node.
* public class TreeNode {
* int val;
* TreeNode left;
* TreeNode right;
* TreeNode() {}
* TreeNode(int val) { this.val = val; }
* TreeNode(int val, TreeNode left, TreeNode right) {
* this.val = val;
* this.left = left;
* this.right = right;
* }
* }
*/
class Solution {
public int maxDepth(TreeNode root) {
if(root == null){
return 0;
}
int left = maxDepth(root.left);
int right = maxDepth(root.right);
return Math.max(left,right)+1;
}
}

文章介绍了如何使用递归方法解决两个二叉树问题:一是翻转(镜像)二叉树,二是计算二叉树的最大深度。对于翻转二叉树,通过交换节点的左右子树实现;对于最大深度,递归计算左右子树的高度并取最大值加1。

778

被折叠的 条评论
为什么被折叠?



