给定一个不重复的整数数组 nums 。 最大二叉树 可以用下面的算法从 nums 递归地构建:
- 创建一个根节点,其值为
nums中的最大值。 - 递归地在最大值 左边 的 子数组前缀上 构建左子树。
- 递归地在最大值 右边 的 子数组后缀上 构建右子树。
返回 nums 构建的 _ ** 最大二叉树 _** 。
示例 1:

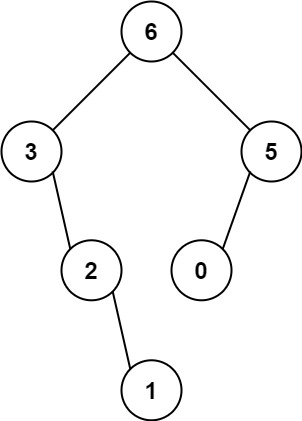
输入:nums = [3,2,1,6,0,5]
输出:[6,3,5,null,2,0,null,null,1]
解释:递归调用如下所示:
- [3,2,1,6,0,5] 中的最大值是 6 ,左边部分是 [3,2,1] ,右边部分是 [0,5] 。
- [3,2,1] 中的最大值是 3 ,左边部分是 [] ,右边部分是 [2,1] 。
- 空数组,无子节点。
- [2,1] 中的最大值是 2 ,左边部分是 [] ,右边部分是 [1] 。
- 空数组,无子节点。
- 只有一个元素,所以子节点是一个值为 1 的节点。
- [0,5] 中的最大值是 5 ,左边部分是 [0] ,右边部分是 [] 。
- 只有一个元素,所以子节点是一个值为 0 的节点。
- 空数组,无子节点。
示例 2:

输入:nums = [3,2,1]
输出:[3,null,2,null,1]
提示:
1 <= nums.length <= 10000 <= nums[i] <= 1000nums中的所有整数 互不相同
- updated in 2022-08-20 14:08
class Solution {
public:
TreeNode* help(vector<int>& nums, int l, int r){
if(l>r) return nullptr;
if(l==r) return new TreeNode(nums[l]);
int idx = max_element(nums.begin()+l, nums.begin()+r+1) - nums.begin();
TreeNode* node = new TreeNode(nums[idx]);
node->left = help(nums, l, idx-1);
node->right = help(nums, idx+1, r);
return node;
}
TreeNode* constructMaximumBinaryTree(vector<int>& nums) {
return help(nums, 0, nums.size()-1);
}
};
本文解析了LeetCode题目654的最大二叉树构建算法,通过递归方式构造最大值节点及其左右子树,提供了C++代码示例。适合理解二叉树构建和递归的应用实践。
4434

被折叠的 条评论
为什么被折叠?



