这一篇Blog是在A First course in FEM —— matlab代码实现求解传热问题(稳态) 基础上更进一步,求解瞬态传热问题。
两者的区别如下图所示:

1. 问题描述
求解下图图所示叶片的温度场在[0-1200s]时间段内的变化,初始条件:T(0)=25℃。

控制方程为:
2. 模型和网格
模型和网格设置详见A First course in FEM —— matlab代码实现求解传热问题(稳态)
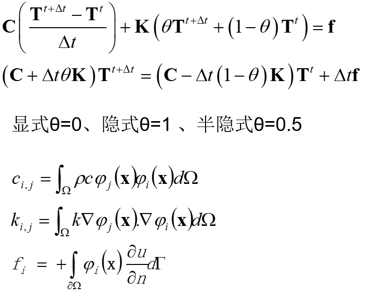
3. 系统矩阵

4. 代码实现
与稳态问题的代码框架一致。不同的代码如下:
bladeheat.m
% Clear variables
clear all;
% Set gas temperature and wall heat transfer coefficients at
% boundaries of the blade. Note: Tcool(i) and hwall(i) are the
% values of Tcool and hwall for the ith boundary which are numbered
% as follows:
%
% 1 = external boundary (airfoil surface)
% 2 = 1st internal cooling passage (from leading edge)
% 3 = 2nd internal cooling passage (from leading edge)
% 3 = 3rd internal cooling passage (from leading edge)
% 3 = 4th internal cooling passage (from leading edge)
Tcool = [1573, 473, 473, 473, 473];
hwall = [205.8*10^-6, 65.8*10^-6, 65.8*10^-6, 65.8*10^-6, 65.8*10^-6];
k=14.7*10^-3;
ro= 4.5*10^-6;
c=544;
% Load in the grid file
% NOTE: after loading a gridfile using the load(fname) command,
% three important grid variables and data arrays exist. These are:
%
% Nt: Number of triangles (i.e. elements) in mesh
%
% Nv: Number of nodes (i.e. vertices) in mesh
%
% Nbc: Number of edges which lie on a boundary of the computational
% domain.
%
% tri2nod(3,Nt): list of the 3 node numbers which form the current
% triangle. Thus, tri2nod(1,i) is the 1st node of
% the i'th triangle, tri2nod(2,i) is the 2nd node
% of the i'th triangle, etc.
%
% xy(2,Nv): list of the x and y locations of each node. Thus,
% xy(1,i) is the x-location of the i'th node, xy(2,i)
% is the y-location of the i'th node, etc.
%
% bedge(3,Nbc): For each boundary edge, bedge(1,i) and bedge(2,i)
% are the node numbers for the nodes at the end
% points of the i'th boundary edge. bedge(3,i) is an
% integer which identifies which boundary the edge is
% on. In this solver, the third value has the
% following meaning:
%
% bedge(3,i) = 0: edge is on the airfoil
% bedge(3,i) = 1: edge is on the first cooling passage
% bedge(3,i) = 2: edge is on the second cooling passage
% bedge(3,i) = 3: edge is on the third cooling passage
% bedge(3,i) = 4: edge is on the fourth cooling passage
%
bladeread;
% Start timer
Time0 = cputime;
% Zero stiffness matrix
K = zeros(Nv, Nv);
b = zeros(Nv, 1);
C= zeros(Nv, Nv);
% Zero maximum element size
hmax = 0;
% Loop over elements and calculate residual and stiffness matrix
for ii = 1:Nt,
kn(1) = tri2nod(1,ii);
kn(2) = tri2nod(2,ii);
kn(3) = tri2nod(3,ii);
xe(1) = xy(1,kn(1));
xe(2) = xy(1,kn(2));
xe(3) = xy(1,kn(3));
ye(1) = xy(2,kn(1));
ye(2) = xy(2,kn(2));
ye(3) = xy(2,kn(3));
% Calculate circumcircle radius for the element
% First, find the center of the circle by intersecting the median
% segments from two of the triangle edges.
dx21 = xe(2) - xe(1);
dy21 = ye(2) - ye(1);
dx31 = xe(3) - xe(1);
dy31 = ye(3) - ye(1);
x21 = 0.5*(xe(2) + xe(1));
y21 = 0.5*(ye(2) + ye(1));
x31 = 0.5*(xe(3) + xe(1));
y31 = 0.5*(ye(3) + ye(1));
b21 = x21*dx21 + y21*dy21;
b31 = x31*dx31 + y31*dy31;
xydet = dx21*dy31 - dy21*dx31;
x0 = (dy31*b21 - dy21*b31)/xydet;
y0 = (dx21*b31 - dx31*b21)/xydet;
Rlocal = sqrt((xe(1)-x0)^2 + (ye(1)-y0)^2);
if (hmax < Rlocal),
hmax = Rlocal;
end
% Calculate all of the necessary shape function derivatives, the
% Jacobian of the element, etc.
% Derivatives of node 1's interpolant
dNdxi(1,1) = -1.0; % with respect to xi1
dNdxi(1,2) = -1.0; % with respect to xi2
% Derivatives of node 2's interpolant
dNdxi(2,1) = 1.0; % with respect to xi1
dNdxi(2,2) = 0.0; % with respect to xi2
% Derivatives of node 3's interpolant
dNdxi(3,1) = 0.0; % with respect to xi1
dNdxi(3,2) = 1.0; % with respect to xi2
% Sum these to find dxdxi (note: these are constant within an element)
dxdxi = zeros(2,2);
for nn = 1:3
dxdxi(1,:) = dxdxi(1,:) + xe(nn)*dNdxi(nn,:);
dxdxi(2,:) = dxdxi(2,:) + ye(nn)*dNdxi(nn,:);
end
% Calculate determinant for area weighting
J = dxdxi(1,1)*dxdxi(2,2) - dxdxi(1,2)*dxdxi(2,1);
A = 0.5*abs(J); % Area is half of the Jacobian
% Invert dxdxi to find dxidx using inversion rule for a 2x2 matrix
dxidx = [ dxdxi(2,2)/J, -dxdxi(1,2)/J; ...
-dxdxi(2,1)/J, dxdxi(1,1)/J];
% Calculate dNdx
dNdx = dNdxi*dxidx; %lian shi fa ze
% Add contributions to stiffness matrix for node 1 weighted residual
K(kn(1), kn(1)) = K(kn(1), kn(1)) + k*(dNdx(1,1)*dNdx(1,1) + dNdx(1,2)*dNdx(1,2))*A; %2*1/2A
K(kn(1), kn(2)) = K(kn(1), kn(2)) + k*(dNdx(1,1)*dNdx(2,1) + dNdx(1,2)*dNdx(2,2))*A;
K(kn(1), kn(3)) = K(kn(1), kn(3)) + k*(dNdx(1,1)*dNdx(3,1) + dNdx(1,2)*dNdx(3,2))*A;
% Add contributions to stiffness matrix for node 2 weighted residual
K(kn(2), kn(1)) = K(kn(2), kn(1)) + k*(dNdx(2,1)*dNdx(1,1) + dNdx(2,2)*dNdx(1,2))*A;
K(kn(2), kn(2)) = K(kn(2), kn(2)) + k*(dNdx(2,1)*dNdx(2,1) + dNdx(2,2)*dNdx(2,2))*A;
K(kn(2), kn(3)) = K(kn(2), kn(3)) + k*(dNdx(2,1)*dNdx(3,1) + dNdx(2,2)*dNdx(3,2))*A;
% Add contributions to stiffness matrix for node 3 weighted residual
K(kn(3), kn(1)) = K(kn(3), kn(1)) + k*(dNdx(3,1)*dNdx(1,1) + dNdx(3,2)*dNdx(1,2))*A;
K(kn(3), kn(2)) = K(kn(3), kn(2)) + k*(dNdx(3,1)*dNdx(2,1) + dNdx(3,2)*dNdx(2,2))*A;
K(kn(3), kn(3)) = K(kn(3), kn(3)) + k*(dNdx(3,1)*dNdx(3,1) + dNdx(3,2)*dNdx(3,2))*A;
%C矩阵
C(kn(1), kn(1)) = C(kn(1), kn(1)) + ro*c*A/6;
C(kn(1), kn(2)) = C(kn(1), kn(2)) + ro*c*A/12;
C(kn(1), kn(3)) = C(kn(1), kn(3)) + ro*c*A/12;
C(kn(2), kn(1)) = C(kn(2), kn(1)) + ro*c*A/12;
C(kn(2), kn(2)) = C(kn(2), kn(2)) + ro*c*A/6;
C(kn(2), kn(3)) = C(kn(2), kn(3)) + ro*c*A/12;
C(kn(3), kn(1)) = C(kn(3), kn(1)) + ro*c*A/12;
C(kn(3), kn(2)) = C(kn(3), kn(2)) + ro*c*A/12;
C(kn(3), kn(3)) = C(kn(3), kn(3)) + ro*c*A/6;
end
% Loop over boundary edges and account for bc's
% Note: the bc's are all convective heat transfer coefficient bc's
% so the are of 'Robin' form. This requires modification of the
% stiffness matrix as well as impacting the right-hand side, b.
%
for ii = 1:Nbc,
% Get node numbers on edge
kn(1) = bedge(1,ii);
kn(2) = bedge(2,ii);
% Get node coordinates
xe(1) = xy(1,kn(1));
xe(2) = xy(1,kn(2));
ye(1) = xy(2,kn(1));
ye(2) = xy(2,kn(2));
% Calculate edge length
ds = sqrt((xe(1)-xe(2))^2 + (ye(1)-ye(2))^2);
% Determine the boundary number
bnum = bedge(3,ii) + 1;
% Based on boundary number, set heat transfer bc
K(kn(1), kn(1)) = K(kn(1), kn(1)) + hwall(bnum)*ds*(1/3);
K(kn(1), kn(2)) = K(kn(1), kn(2)) + hwall(bnum)*ds*(1/6);
b(kn(1)) = b(kn(1)) + hwall(bnum)*ds*0.5*Tcool(bnum);
K(kn(2), kn(1)) = K(kn(2), kn(1)) + hwall(bnum)*ds*(1/6);
K(kn(2), kn(2)) = K(kn(2), kn(2)) + hwall(bnum)*ds*(1/3);
b(kn(2)) = b(kn(2)) + hwall(bnum)*ds*0.5*Tcool(bnum);
end
%确定Tsol维度
timetot=1200;
dt=10;
n=fix(timetot/dt);
Tsol=298*ones(Nv,n+1);
%methode to run
theta=0.5;
% Solve for temperature
for i=1:n
Tsol(:,i+1)=inv(C+dt.*theta.*K)*((C-dt.*(1-theta).*K)*Tsol(:,i)+dt.*b);
end
Tmax = max(max(Tsol));
Tmin = min(min(Tsol));
Tmaxx = max(max(Tsol(:,n+1)));
Tminn = min(min(Tsol(:,n+1)));
% Finish timer
Time1 = cputime;
% Plot solution
bladeplot;
% Report outputs
fprintf('Number of nodes = %i\n',Nv);
fprintf('Number of elements = %i\n',Nt);
fprintf('Maximum element size = %5.3f\n',hmax);
fprintf('Minimum temperature = %6.1f\n',Tmin);
fprintf('Maximum temperature = %6.1f\n',Tmax);
fprintf('Minimum temperature at last = %6.1f\n',Tminn);
fprintf('Maximum temperature at last = %6.1f\n',Tmaxx);
fprintf('CPU Time (secs) = %f\n',Time1 - Time0);
bladeplot.m
% Plot T in triangles
v=VideoWriter('transientblade.avi');
open(v);
f=10;num=fix(n/f);
for i=0:num-1
for ii = 1:Nt
for nn = 1:3
xtri(nn,ii) = xy(1,tri2nod(nn,ii));
ytri(nn,ii) = xy(2,tri2nod(nn,ii));
Ttri(nn,ii) = Tsol(tri2nod(nn,ii),1+f*i);
end
end
figure;
HT = patch(xtri,ytri,Ttri);
axis('equal');
set(HT,'LineStyle','none');
title('Temperature(K)');
caxis([298,1573]);
HC = colorbar;
colormap(jet);
hold on; bladeplotgrid; hold off;
frame(i+1)=getframe;
end
writeVideo(v,frame);
close(v);
5. 计算结果
全过程最低温度= 282.1 K
全过程最高温度 = 1572.1 K
1200s时最低温度 = 1013.0 K
1200s时最高温度 = 1572.1 K
1200S时温度分布如下图,与稳态时的温度分布相近。

该博客文章介绍了如何使用Matlab解决叶片在0-1200秒内温度场随时间变化的瞬态传热问题。通过建立控制方程,设定边界条件,利用有限元方法进行网格划分和矩阵构建,最终得到温度变化的解。计算结果显示了全过程和1200s时的温度范围,并对比了稳态情况下的温度分布。
607

被折叠的 条评论
为什么被折叠?



