有向图 两点间所有路径 及 所包含的环

本文介绍了一种遍历有向图寻找从起点到终点的所有路径及闭环的方法。通过递归算法,详细阐述了如何从起始节点出发,记录路径,识别闭环,并最终输出所有可能的路径。代码示例清晰地展示了这一过程。

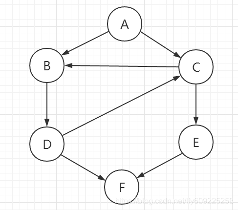
 有向图:   

:  

找出 途中 从 A  到  F  一共有多少中走法,  包含的闭环 有哪些   

构思:   

遍历前  先准备一个 list 用来存放当前路径,

从A开始  先找到B  ,B找到D, D 到F,   此时  F为所找目标节点,  此时算是找到一条路径,     此时路径为    A ,B,D,F

接下来  从 F 返回上一层   D   再找D 的另一个节点  C   ,C有两个子节点, 随便选一个  B,  此时 当前路径中存在一个B,重复了, 所以此处是一个环,  然后返回上一级C   再从C到 E   E到F ,   此时路径为   A ,B,D,C,E,F 

再依次返回, 每上一层 都遍历找没有被访问过的子节点,    直到访问结束.

(如果看不明白的童鞋还是多跑几次代码 ,然后找规律吧.这个确实不太好解释哈)

其中用到递归

上代码:     

 


/**
 * @Annotion:   节点实体,一个实体对应的是一条线,链接两个节点
 * @ClassName: Node
 * @Author:
 * @Date: 2019/9/29  10:11
 * @Version: 1.0
 */
public class Node {
    /**上游节点*/
    private String source;
    /**下游节点*/
    private String target;

    public Node(String source, String target) {
        this.source = source;
        this.target = target;
    }

    public String getSource() {
        return source;
    }

    public void setSource(String source) {
        this.source = source;
    }

    public String getTarget() {
        return target;
    }

    public void setTarget(String target) {
        this.target = target;
    }
}
/**
 * @Annotion: 从  一个点  到另一个点所有路径走法 ,并输出环
 * @ClassName: TwoPointsPath
 * @Author: 
 * @Date: 2019/9/29  9:54
 * @Version: 1.0
 */
public class PointsPath {
    /**当前路径*/
    private static List<String> nowPath = new ArrayList<>();

    /**
     *
     * @param nodeList
     * @param source 起始节点
     * @param target 目标节点
     */
    public static void findAllPath(List<Node> nodeList,String source,String target){
        if(nowPath.contains(source)){
            System.out.println("这是一个环:"+nowPath);
            nowPath.remove(nowPath.size()-1);
            return;
        }
        for(int i = 0 ;i<nodeList.size();i++){
            Node node = nodeList.get(i);
            if(node.getSource().equals(source)){
                nowPath.add(node.getSource());
                if(node.getTarget().equals(target)){
                    nowPath.add(node.getTarget());
                    System.out.println("这是一条路径:"+nowPath);
                    /*因为添加了终点路径,所以要返回两次*/
                    nowPath.remove(nowPath.size()-1);
                    nowPath.remove(nowPath.size()-1);
                    /*已经找到路径,返回上层找其他路径*/
                    continue;
                }
                findAllPath(nodeList,node.getTarget(),target );
            }
        }
        /*如果找不到下个节点,返回上层*/
        if(nowPath.size()>0){
            nowPath.remove(nowPath.size()-1);
        }

    }

    /**
     * 测试
     */
    public static void main(String[] args){
        List<Node> list = new ArrayList<>();
        list.add(new Node("A", "B"));
        list.add(new Node("A", "C"));
        list.add(new Node("B", "D"));
        list.add(new Node("D", "F"));
        list.add(new Node("D", "C"));
        list.add(new Node("C", "B"));
        list.add(new Node("C", "E"));
        list.add(new Node("E", "F"));

        findAllPath(list,"A","F");
    }

}

 

 

 

评论
添加红包

请填写红包祝福语或标题

红包个数最小为10个

红包金额最低5元

当前余额3.43前往充值 >
需支付:10.00
成就一亿技术人!
领取后你会自动成为博主和红包主的粉丝 规则
hope_wisdom
发出的红包
实付
使用余额支付
点击重新获取
扫码支付
钱包余额 0

抵扣说明:

1.余额是钱包充值的虚拟货币,按照1:1的比例进行支付金额的抵扣。
2.余额无法直接购买下载,可以购买VIP、付费专栏及课程。

余额充值